>
Quantitative visualisation of the top most abundant microbial functions identified in the analysed samples.
Click here to open full-sized image in new window.
Click here to open full-sized image in new window.
Click here to open full-sized image in new window.
Click here to open full-sized image in new window.
Click here to open full-sized image in new window.
Click here to open full-sized image in new window.
Click here to open full-sized image in new window.
Click here to open full-sized image in new window.
Click here to open full-sized image in new window.
This page provides an overview of the functional alpha diversity of the analysed sample. Alpha diversity was measured using the Shannon index and functional richnes. Richness measures the total number of gene functions present in each sample. Shannon index combines richness and evenness.
| Index | rarefiedTo | P lmer condition effect | Mean Pos | Mean Abundance | Median Abundance | Mean Treatmentpost_treatment | Median Treatmentpost_treatment | SD Treatmentpost_treatment | Mean Treatmentpre_treatment | Median Treatmentpre_treatment | SD Treatmentpre_treatment | Fold Change Log2(Treatmentpre_treatment/Treatmentpost_treatment) | Positive samples | Positive Treatmentpost_treatment | Positive Treatmentpre_treatment | Positive_Treatmentpost_treatment_percent | Positive_Treatmentpre_treatment_percent |
|---|---|---|---|---|---|---|---|---|---|---|---|---|---|---|---|---|---|
| Shannon | 74 | 0.044 | 3.1 | 3.1 | 3 | 3.1 | 3 | 0.44 | 3.2 | 3 | 0.57 | 0.046 | 38 / 38 (100%) | 19 / 19 (100%) | 19 / 19 (100%) | 1 | 1 |
| Richness | 74 | 0.023 | 34 | 34 | 28 | 31 | 26 | 13 | 36 | 31 | 16 | 0.22 | 38 / 38 (100%) | 19 / 19 (100%) | 19 / 19 (100%) | 1 | 1 |
Microbial functions were analyzed using supervised and unsupervised multivariate techniques. Functional profiles were ordinated using the unsupervised methods Principal Coordinates Analysis (PCoA), Non-Metric Multidimensional Scaling (NMDS) and Principal Component Analysis (PCA). The supervised methods Adonis and Redundancy analysis (RDA) were used to assess if variance in the functional profiles was significantly associated with the study condition. A guide explaining these methods can be found here. Sparse Partial Least Square Discriminant Analysis (sPLS-DA) from the MixMc package was additionaly used to extract features associated with the condition of interest.
Differentially abundant microbial functions were identified using the univariate methods ANOVA or LMER (linear mixed effect regression) on clr transformed relative abundance data, Fisher's exact test, and Aldex2 (ANOVA-like Differential Expression). Aldex2 was run on read count data. Fisher's exact test was used to test for diffrerences in the presence and absence (detection rate) of microbial functions across study groups.
LMER is used for repeated measures data, using random effects to control for correlation between samples from the same subject. Fixed effects are included for treatment groups, time, and treatment over time, where appropriate. The LMER P values correspond to a nested model test of the significance of including the corresponding fixed effect.
ALDEx2 uses subsampling (Bayesian sampling) to estimate the underlying technical variation. For each subsample instance, center log-ratio transformed data is statistically compared across study groups and computed P values are corrected for multiple testing using the Benjamini–Hochberg procedure. The expected P value (mean P value) is reported, which are those that would likely have been observed if the same samples had been run multiple times. The expected values are reported for both the distribution of P values and for the distribution of Benjamini–Hochberg corrected values.
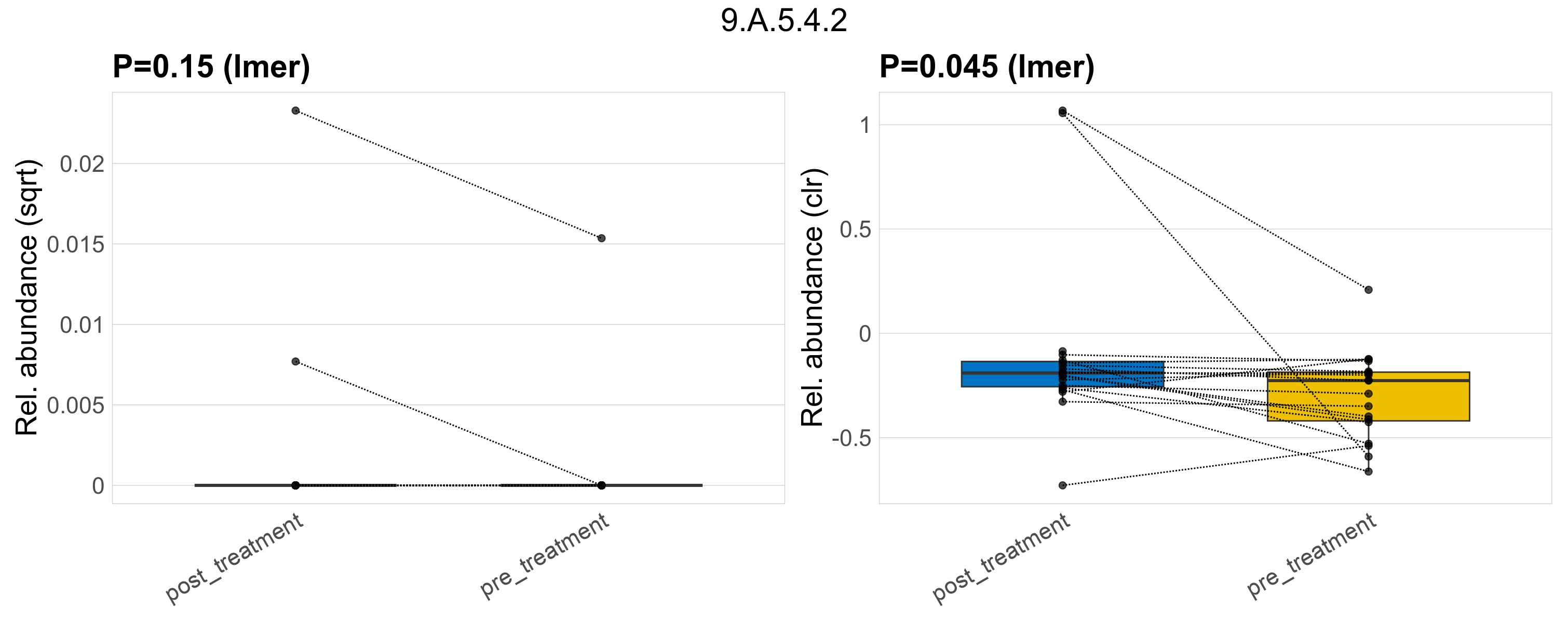
| Function | Annotation | P lmer condition effect (sqrt) | FDR lmer condition effect (sqrt) | Pbonf lmer condition effect (sqrt) | P lmer condition effect (clr) | FDR lmer condition effect (clr) | Pbonf lmer condition effect (clr) | Mean Pos | Mean Abundance | Median Abundance | Mean Treatmentpost_treatment | Median Treatmentpost_treatment | SD Treatmentpost_treatment | Mean Treatmentpre_treatment | Median Treatmentpre_treatment | SD Treatmentpre_treatment | Fold Change Log2(Treatmentpre_treatment/Treatmentpost_treatment) | Positive samples | Positive Treatmentpost_treatment | Positive Treatmentpre_treatment | Positive_Treatmentpost_treatment_percent | Positive_Treatmentpre_treatment_percent |
|---|---|---|---|---|---|---|---|---|---|---|---|---|---|---|---|---|---|---|---|---|---|---|
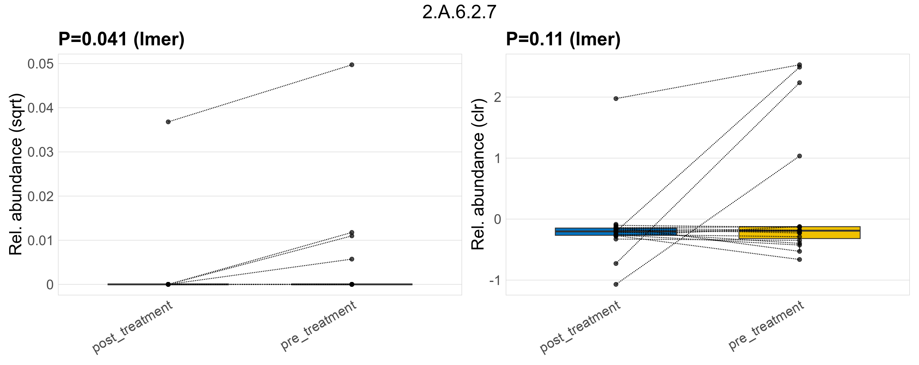
| 3.A.1.140.6 | The ATP-binding Cassette (ABC) Superfamily | 0.81 | 0.96 | 1 | 0.98 | 1 | 1 | 0.00022 | 3.4e-05 | 0 | 2.8e-05 | 0 | 8.2e-05 | 4.1e-05 | 0 | 0.00012 | 0.55 | 6 / 38 (16%) | 3 / 19 (16%) | 3 / 19 (16%) | 0.158 | 0.158 |
| 2.A.1.1.92 | The Major Facilitator Superfamily (MFS) | 0.29 | 0.83 | 1 | 0.49 | 0.87 | 1 | 0.00049 | 6.4e-05 | 0 | 5e-05 | 0 | 2e-04 | 7.8e-05 | 0 | 0.00027 | 0.64 | 5 / 38 (13%) | 2 / 19 (11%) | 3 / 19 (16%) | 0.105 | 0.158 |
| 5.A.1.1.1 | The Disulfide Bond Oxidoreductase D (DsbD) Family | 0.091 | 0.79 | 1 | 0.18 | 0.85 | 1 | 0.00042 | 7.8e-05 | 0 | 4e-05 | 0 | 0.00016 | 0.00012 | 0 | 0.00038 | 1.6 | 7 / 38 (18%) | 2 / 19 (11%) | 5 / 19 (26%) | 0.105 | 0.263 |
| 3.A.1.2.1 | The ATP-binding Cassette (ABC) Superfamily | 0.89 | 0.98 | 1 | 0.88 | 0.98 | 1 | 0.00036 | 6.7e-05 | 0 | 7.3e-05 | 0 | 0.00026 | 6.1e-05 | 0 | 0.00019 | -0.26 | 7 / 38 (18%) | 3 / 19 (16%) | 4 / 19 (21%) | 0.158 | 0.211 |
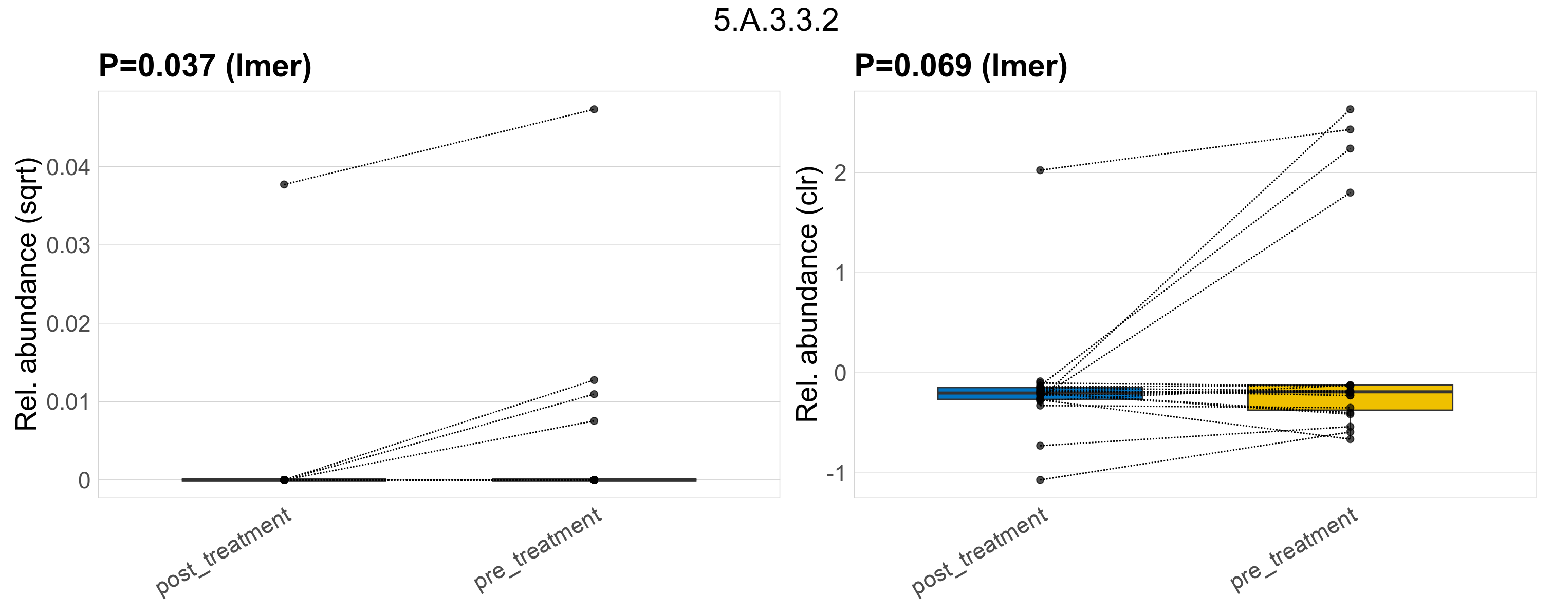
| 3.A.1.1.46 | The ATP-binding Cassette (ABC) Superfamily | 0.037 | 0.79 | 1 | 0.076 | 0.85 | 1 | 0.00062 | 9.8e-05 | 0 | 8.2e-05 | 0 | 0.00036 | 0.00011 | 0 | 4e-04 | 0.42 | 6 / 38 (16%) | 1 / 19 (5.3%) | 5 / 19 (26%) | 0.0526 | 0.263 |
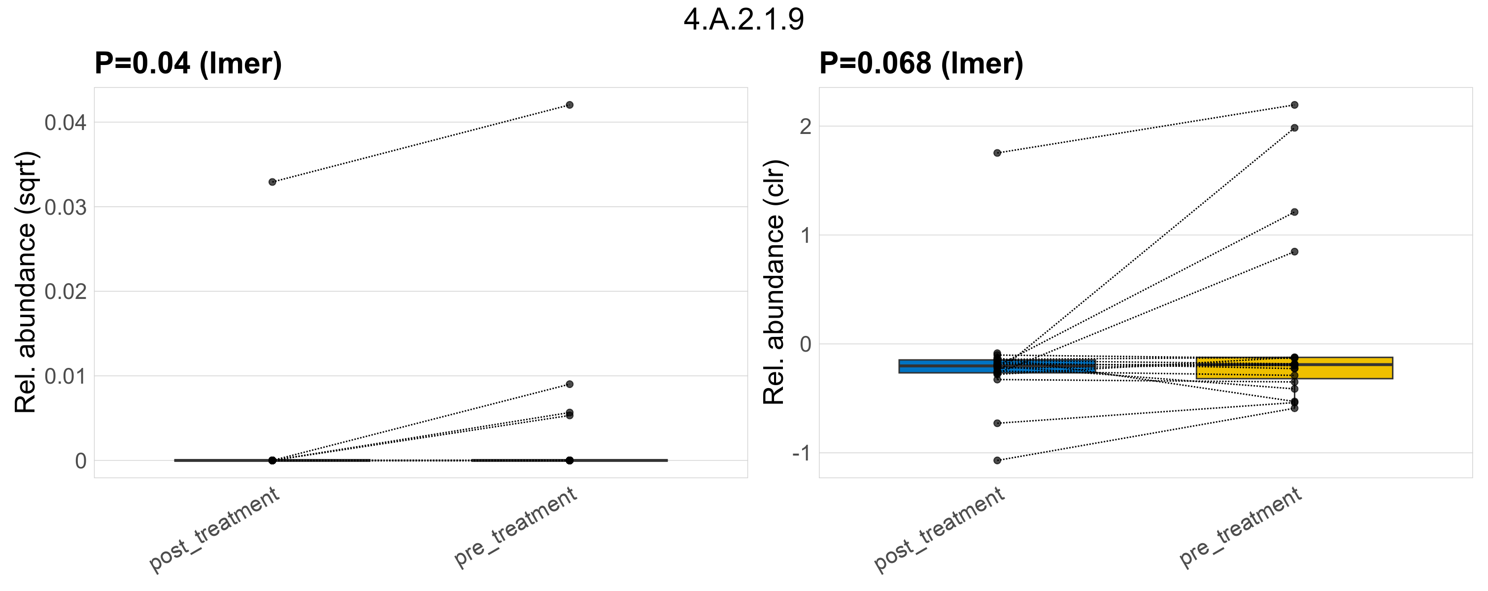
| 4.A.6.1.11 | The PTS Mannose-Fructose-Sorbose (Man) Family | 0.058 | 0.79 | 1 | 0.086 | 0.85 | 1 | 0.00011 | 1.7e-05 | 0 | 2.8e-06 | 0 | 1.2e-05 | 3.1e-05 | 0 | 6.5e-05 | 3.5 | 6 / 38 (16%) | 1 / 19 (5.3%) | 5 / 19 (26%) | 0.0526 | 0.263 |
| 1.B.23.1.22 | The Cyanobacterial Porin (CBP) Family | 0.26 | 0.82 | 1 | 0.4 | 0.87 | 1 | 7e-04 | 0.00015 | 0 | 9.3e-05 | 0 | 0.00029 | 2e-04 | 0 | 0.00056 | 1.1 | 8 / 38 (21%) | 3 / 19 (16%) | 5 / 19 (26%) | 0.158 | 0.263 |
| 1.A.23.2.1 | The Small Conductance Mechanosensitive Ion Channel (MscS) Family | 0.32 | 0.83 | 1 | 0.093 | 0.85 | 1 | 0.00041 | 4.3e-05 | 0 | 4.4e-05 | 0 | 0.00013 | 4.3e-05 | 0 | 0.00019 | -0.033 | 4 / 38 (11%) | 3 / 19 (16%) | 1 / 19 (5.3%) | 0.158 | 0.0526 |
| 1.E.34.2.1 | The Putative Actinobacterial Holin-X (Hol-X) Family | 0.43 | 0.86 | 1 | 0.33 | 0.87 | 1 | 0.00013 | 1.4e-05 | 0 | 2e-05 | 0 | 6.6e-05 | 7.9e-06 | 0 | 2.8e-05 | -1.3 | 4 / 38 (11%) | 2 / 19 (11%) | 2 / 19 (11%) | 0.105 | 0.105 |
| 3.B.1.1.2 | The Na+-transporting Carboxylic Acid Decarboxylase (NaT-DC) Family | 0.9 | 0.98 | 1 | 0.87 | 0.98 | 1 | 0.00016 | 3.5e-05 | 0 | 3.9e-05 | 0 | 0.00012 | 3e-05 | 0 | 7.8e-05 | -0.38 | 8 / 38 (21%) | 4 / 19 (21%) | 4 / 19 (21%) | 0.211 | 0.211 |
| 1.E.24.1.5 | The Bacterophage Dp-1 Holin (Dp-1 Holin) Family | 0.72 | 0.92 | 1 | 0.84 | 0.97 | 1 | 0.00014 | 1.1e-05 | 0 | 9.2e-06 | 0 | 4e-05 | 1.3e-05 | 0 | 5.2e-05 | 0.5 | 3 / 38 (7.9%) | 1 / 19 (5.3%) | 2 / 19 (11%) | 0.0526 | 0.105 |
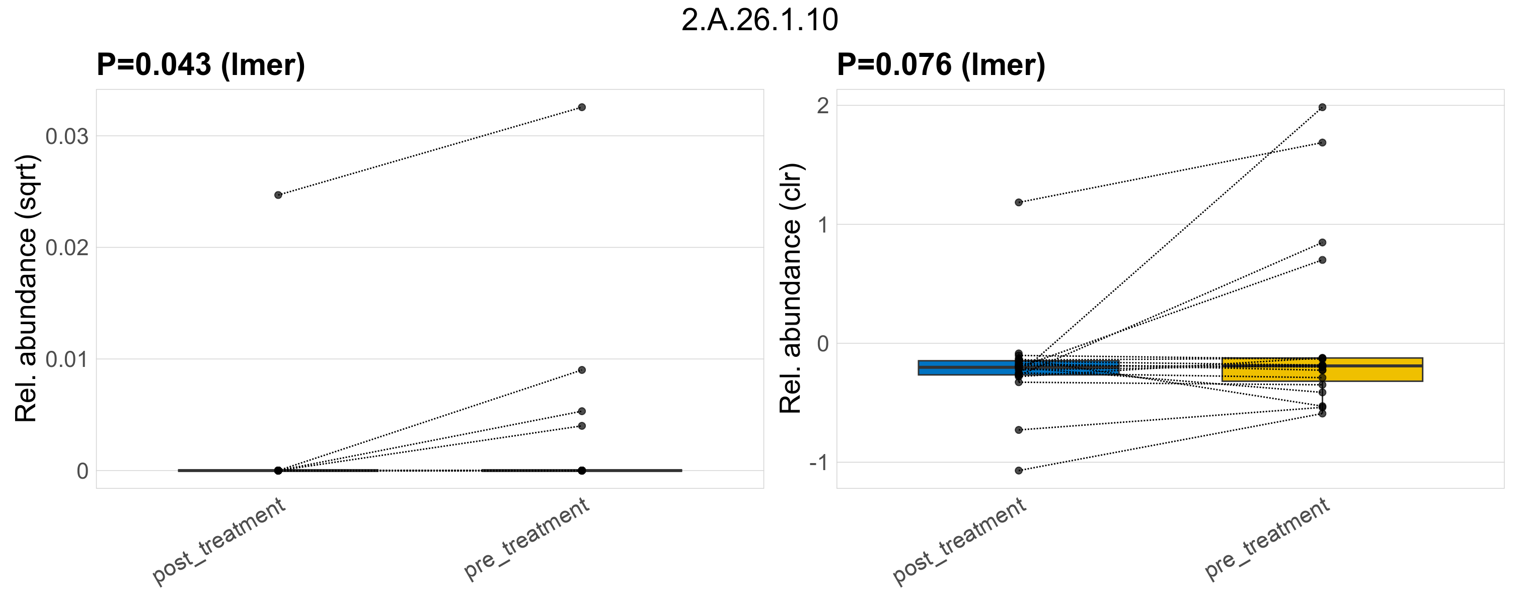
| 4.A.2.1.10 | The PTS Fructose-Mannitol (Fru) Family | 0.51 | 0.88 | 1 | 0.11 | 0.85 | 1 | 0.00075 | 5.9e-05 | 0 | 5.7e-05 | 0 | 0.00023 | 6.2e-05 | 0 | 0.00027 | 0.12 | 3 / 38 (7.9%) | 2 / 19 (11%) | 1 / 19 (5.3%) | 0.105 | 0.0526 |
| 1.A.23.4.3 | The Small Conductance Mechanosensitive Ion Channel (MscS) Family | 0.043 | 0.79 | 1 | 0.068 | 0.85 | 1 | 0.00016 | 2.1e-05 | 0 | 1.1e-05 | 0 | 4.7e-05 | 3.1e-05 | 0 | 0.00011 | 1.5 | 5 / 38 (13%) | 1 / 19 (5.3%) | 4 / 19 (21%) | 0.0526 | 0.211 |
| 9.B.102.1.1 | The YedE/YeeE (YedE/YeeE) Family | 0.39 | 0.84 | 1 | 0.77 | 0.95 | 1 | 2e-04 | 2.1e-05 | 0 | 1.2e-05 | 0 | 4.7e-05 | 2.9e-05 | 0 | 0.00011 | 1.3 | 4 / 38 (11%) | 2 / 19 (11%) | 2 / 19 (11%) | 0.105 | 0.105 |
| 2.A.8.1.2 | The Gluconate:H+ Symporter (GntP) Family | 0.3 | 0.83 | 1 | 0.94 | 0.99 | 1 | 0.00049 | 5.2e-05 | 0 | 3.4e-05 | 0 | 0.00014 | 7e-05 | 0 | 3e-04 | 1 | 4 / 38 (11%) | 2 / 19 (11%) | 2 / 19 (11%) | 0.105 | 0.105 |
| 2.A.98.1.3 | The Putative Sulfate Exporter (PSE) Family | 0.66 | 0.92 | 1 | 0.24 | 0.85 | 1 | 0.00049 | 3.9e-05 | 0 | 3.5e-05 | 0 | 0.00013 | 4.3e-05 | 0 | 0.00019 | 0.3 | 3 / 38 (7.9%) | 2 / 19 (11%) | 1 / 19 (5.3%) | 0.105 | 0.0526 |
| 2.A.85.1.3 | The Aromatic Acid Exporter (ArAE) Family | 0.46 | 0.86 | 1 | 0.96 | 1 | 1 | 0.00097 | 1e-04 | 0 | 6.9e-05 | 0 | 0.00028 | 0.00013 | 0 | 0.00057 | 0.91 | 4 / 38 (11%) | 2 / 19 (11%) | 2 / 19 (11%) | 0.105 | 0.105 |
| 9.B.14.1.3 | The Putative Heme Handling Protein (HHP) Family | 0.12 | 0.79 | 1 | 0.22 | 0.85 | 1 | 0.00036 | 5.6e-05 | 0 | 3.9e-05 | 0 | 0.00016 | 7.4e-05 | 0 | 0.00027 | 0.92 | 6 / 38 (16%) | 2 / 19 (11%) | 4 / 19 (21%) | 0.105 | 0.211 |
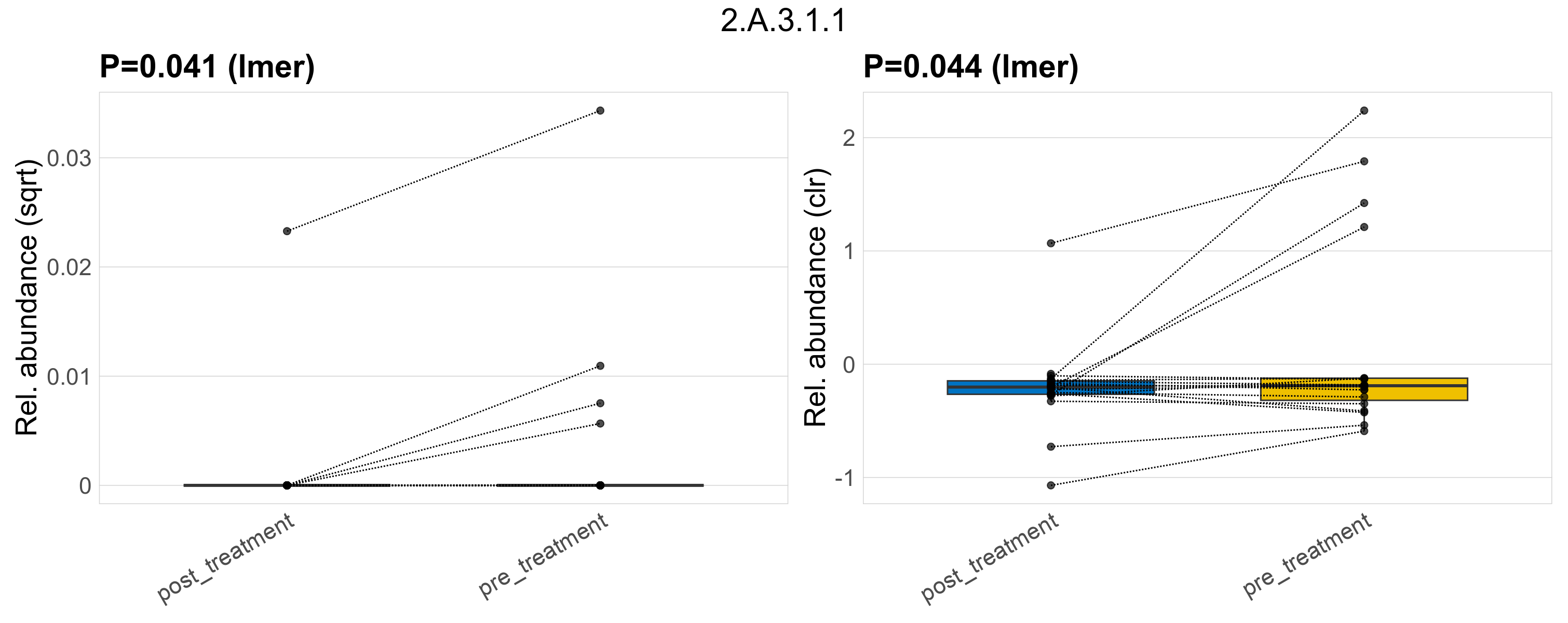
| 2.A.3.1.14 | The Amino Acid-Polyamine-Organocation (APC) Family | 0.22 | 0.79 | 1 | 0.21 | 0.85 | 1 | 0.00037 | 5.8e-05 | 0 | 5.5e-05 | 0 | 0.00023 | 6.1e-05 | 0 | 0.00017 | 0.15 | 6 / 38 (16%) | 2 / 19 (11%) | 4 / 19 (21%) | 0.105 | 0.211 |
| 2.A.1.46.6 | The Major Facilitator Superfamily (MFS) | 0.57 | 0.9 | 1 | 0.87 | 0.98 | 1 | 0.00034 | 2.7e-05 | 0 | 2.9e-05 | 0 | 0.00012 | 2.6e-05 | 0 | 0.00011 | -0.16 | 3 / 38 (7.9%) | 1 / 19 (5.3%) | 2 / 19 (11%) | 0.0526 | 0.105 |
| 3.A.1.106.3 | The ATP-binding Cassette (ABC) Superfamily | 0.22 | 0.79 | 1 | 0.65 | 0.91 | 1 | 0.0013 | 0.001 | 0.00044 | 0.001 | 0.00043 | 0.001 | 0.0011 | 0.00045 | 0.0018 | 0.14 | 31 / 38 (82%) | 15 / 19 (79%) | 16 / 19 (84%) | 0.789 | 0.842 |
| 3.A.1.135.1 | The ATP-binding Cassette (ABC) Superfamily | 0.24 | 0.81 | 1 | 0.23 | 0.85 | 1 | 0.00017 | 1.8e-05 | 0 | 2.8e-05 | 0 | 6.8e-05 | 6.8e-06 | 0 | 3e-05 | -2 | 4 / 38 (11%) | 3 / 19 (16%) | 1 / 19 (5.3%) | 0.158 | 0.0526 |
| 2.A.103.1.1 | The Bacterial Murein Precursor Exporter (MPE) Family | 0.36 | 0.84 | 1 | 0.27 | 0.85 | 1 | 0.00042 | 3.3e-05 | 0 | 3.5e-05 | 0 | 0.00013 | 3.1e-05 | 0 | 0.00014 | -0.18 | 3 / 38 (7.9%) | 2 / 19 (11%) | 1 / 19 (5.3%) | 0.105 | 0.0526 |
| 1.S.2.1.1 | The Bacterial Microcompartment Shell/Pore-forming Protein-2 (BMC-SP2) Family | 0.27 | 0.83 | 1 | 0.5 | 0.87 | 1 | 0.00031 | 4.1e-05 | 0 | 3.7e-05 | 0 | 0.00016 | 4.5e-05 | 0 | 0.00016 | 0.28 | 5 / 38 (13%) | 2 / 19 (11%) | 3 / 19 (16%) | 0.105 | 0.158 |
| 1.A.35.4.1 | The CorA Metal Ion Transporter (MIT) Family | 0.39 | 0.84 | 1 | 0.75 | 0.94 | 1 | 0.00034 | 6.3e-05 | 0 | 3.6e-05 | 0 | 0.00013 | 8.9e-05 | 0 | 0.00035 | 1.3 | 7 / 38 (18%) | 3 / 19 (16%) | 4 / 19 (21%) | 0.158 | 0.211 |
| 3.A.1.107.3 | The ATP-binding Cassette (ABC) Superfamily | 0.8 | 0.95 | 1 | 0.58 | 0.89 | 1 | 0.00056 | 5.9e-05 | 0 | 4.7e-05 | 0 | 0.00019 | 7e-05 | 0 | 3e-04 | 0.57 | 4 / 38 (11%) | 2 / 19 (11%) | 2 / 19 (11%) | 0.105 | 0.105 |
| 2.A.55.3.1 | The Metal Ion (Mn2+-iron) Transporter (Nramp) Family | 0.42 | 0.85 | 1 | 0.44 | 0.87 | 1 | 0.00016 | 2.9e-05 | 0 | 4.1e-05 | 0 | 0.00014 | 1.6e-05 | 0 | 5.4e-05 | -1.4 | 7 / 38 (18%) | 3 / 19 (16%) | 4 / 19 (21%) | 0.158 | 0.211 |
| 9.B.143.4.2 | The 6 TMS DUF1275/Pf06912 (DUF1275) Family | 0.48 | 0.86 | 1 | 0.43 | 0.87 | 1 | 0.00013 | 1e-05 | 0 | 1.7e-05 | 0 | 6.5e-05 | 4.2e-06 | 0 | 1.8e-05 | -2 | 3 / 38 (7.9%) | 2 / 19 (11%) | 1 / 19 (5.3%) | 0.105 | 0.0526 |
| 9.B.154.1.1 | The Putative Holin-2 (PH-2) Family | 0.28 | 0.83 | 1 | 0.096 | 0.85 | 1 | 0.0013 | 0.00027 | 0 | 0.00037 | 0 | 0.0011 | 0.00016 | 0 | 6e-04 | -1.2 | 8 / 38 (21%) | 5 / 19 (26%) | 3 / 19 (16%) | 0.263 | 0.158 |
| 2.A.6.2.13 | The Resistance-Nodulation-Cell Division (RND) Superfamily | 0.091 | 0.79 | 1 | 0.18 | 0.85 | 1 | 0.00094 | 0.00015 | 0 | 0.00012 | 0 | 0.00051 | 0.00018 | 0 | 0.00067 | 0.58 | 6 / 38 (16%) | 2 / 19 (11%) | 4 / 19 (21%) | 0.105 | 0.211 |
| 3.A.3.6.2 | The P-type ATPase (P-ATPase) Superfamily | 0.66 | 0.92 | 1 | 0.87 | 0.98 | 1 | 0.00075 | 7.9e-05 | 0 | 7.6e-05 | 0 | 0.00033 | 8.1e-05 | 0 | 0.00032 | 0.092 | 4 / 38 (11%) | 2 / 19 (11%) | 2 / 19 (11%) | 0.105 | 0.105 |
| 2.A.76.1.3 | The Resistance to Homoserine/Threonine (RhtB) Family | 0.25 | 0.81 | 1 | 0.23 | 0.85 | 1 | 0.00014 | 2.2e-05 | 0 | 3.5e-05 | 0 | 9.9e-05 | 8.8e-06 | 0 | 2.8e-05 | -2 | 6 / 38 (16%) | 3 / 19 (16%) | 3 / 19 (16%) | 0.158 | 0.158 |
| 1.B.14.2.14 | The Outer Membrane Receptor (OMR) Family | 0.84 | 0.97 | 1 | 0.92 | 0.99 | 1 | 0.00058 | 6.1e-05 | 0 | 5.8e-05 | 0 | 0.00023 | 6.3e-05 | 0 | 0.00024 | 0.12 | 4 / 38 (11%) | 2 / 19 (11%) | 2 / 19 (11%) | 0.105 | 0.105 |
| 1.A.12.3.1 | The Intracellular Chloride Channel (CLIC) Family | 0.63 | 0.92 | 1 | 0.99 | 1 | 1 | 0.00028 | 3e-05 | 0 | 2.3e-05 | 0 | 7.9e-05 | 3.7e-05 | 0 | 0.00014 | 0.69 | 4 / 38 (11%) | 2 / 19 (11%) | 2 / 19 (11%) | 0.105 | 0.105 |
| 1.B.38.4.1 | The Treponema Porin Major Surface Protein (TP-MSP) Family | 0.55 | 0.89 | 1 | 0.69 | 0.92 | 1 | 1e-04 | 1.4e-05 | 0 | 1e-05 | 0 | 3.3e-05 | 1.7e-05 | 0 | 4.1e-05 | 0.77 | 5 / 38 (13%) | 2 / 19 (11%) | 3 / 19 (16%) | 0.105 | 0.158 |
| 2.A.2.3.1 | The Glycoside-Pentoside-Hexuronide (GPH):Cation Symporter Family | 0.39 | 0.84 | 1 | 0.18 | 0.85 | 1 | 2e-04 | 2.7e-05 | 0 | 2.7e-05 | 0 | 9.4e-05 | 2.6e-05 | 0 | 0.00011 | -0.054 | 5 / 38 (13%) | 3 / 19 (16%) | 2 / 19 (11%) | 0.158 | 0.105 |
| 1.A.34.1.2 | The Bacillus Gap Junction-like Channel-forming Complex (GJ-CC) Family | 0.46 | 0.86 | 1 | 0.65 | 0.91 | 1 | 0.00053 | 4.2e-05 | 0 | 4.3e-05 | 0 | 0.00019 | 4.1e-05 | 0 | 0.00016 | -0.069 | 3 / 38 (7.9%) | 1 / 19 (5.3%) | 2 / 19 (11%) | 0.0526 | 0.105 |
| 2.A.1.17.3 | The Major Facilitator Superfamily (MFS) | 0.47 | 0.86 | 1 | 0.2 | 0.85 | 1 | 0.00054 | 4.3e-05 | 0 | 4.2e-05 | 0 | 0.00016 | 4.3e-05 | 0 | 0.00019 | 0.034 | 3 / 38 (7.9%) | 2 / 19 (11%) | 1 / 19 (5.3%) | 0.105 | 0.0526 |
| 2.C.1.1.1 | The TonB-ExbB-ExbD/TolA-TolQ-TolR Outer Membrane Receptor Energizers and Stabilizers (TonB/TolA) Family | 0.45 | 0.86 | 1 | 0.27 | 0.85 | 1 | 0.00017 | 1.8e-05 | 0 | 2.3e-05 | 0 | 9.3e-05 | 1.3e-05 | 0 | 5.4e-05 | -0.82 | 4 / 38 (11%) | 2 / 19 (11%) | 2 / 19 (11%) | 0.105 | 0.105 |
| 3.A.1.2.4 | The ATP-binding Cassette (ABC) Superfamily | 0.032 | 0.79 | 1 | 0.051 | 0.85 | 1 | 0.00068 | 0.00016 | 0 | 0.00012 | 0 | 0.00048 | 0.00021 | 0 | 0.00072 | 0.81 | 9 / 38 (24%) | 2 / 19 (11%) | 7 / 19 (37%) | 0.105 | 0.368 |
| 2.A.7.3.6 | The Drug/Metabolite Transporter (DMT) Superfamily | 0.52 | 0.88 | 1 | 0.65 | 0.91 | 1 | 0.00043 | 3.4e-05 | 0 | 3.6e-05 | 0 | 0.00016 | 3.2e-05 | 0 | 0.00013 | -0.17 | 3 / 38 (7.9%) | 1 / 19 (5.3%) | 2 / 19 (11%) | 0.0526 | 0.105 |
| 1.B.21.1.1 | The OmpG Porin (OmpG) Family | 0.21 | 0.79 | 1 | 0.68 | 0.92 | 1 | 3e-04 | 2.4e-05 | 0 | 2.1e-05 | 0 | 9.3e-05 | 2.7e-05 | 0 | 0.00011 | 0.36 | 3 / 38 (7.9%) | 1 / 19 (5.3%) | 2 / 19 (11%) | 0.0526 | 0.105 |
| 2.A.49.5.3 | The Chloride Carrier/Channel (ClC) Family | 0.35 | 0.84 | 1 | 0.29 | 0.85 | 1 | 0.00024 | 3.9e-05 | 0 | 3.7e-05 | 0 | 0.00016 | 4e-05 | 0 | 0.00012 | 0.11 | 6 / 38 (16%) | 2 / 19 (11%) | 4 / 19 (21%) | 0.105 | 0.211 |
| 3.A.1.122.15 | The ATP-binding Cassette (ABC) Superfamily | 0.12 | 0.79 | 1 | 0.19 | 0.85 | 1 | 0.00049 | 7.8e-05 | 0 | 6.9e-05 | 0 | 0.00029 | 8.6e-05 | 0 | 0.00032 | 0.32 | 6 / 38 (16%) | 2 / 19 (11%) | 4 / 19 (21%) | 0.105 | 0.211 |
| 9.B.146.1.7 | The Putative Undecaprenyl-phosphate N-Acetylglucosaminyl Transferase (MurG) Family | 0.57 | 0.9 | 1 | 0.72 | 0.93 | 1 | 6e-04 | 6.4e-05 | 0 | 5.9e-05 | 0 | 0.00025 | 6.9e-05 | 0 | 0.00023 | 0.23 | 4 / 38 (11%) | 2 / 19 (11%) | 2 / 19 (11%) | 0.105 | 0.105 |
| 4.A.1.1.2 | The PTS Glucose-Glucoside (Glc) Family | 0.5 | 0.87 | 1 | 0.23 | 0.85 | 1 | 0.00035 | 6.4e-05 | 0 | 5.8e-05 | 0 | 0.00017 | 7.1e-05 | 0 | 3e-04 | 0.29 | 7 / 38 (18%) | 4 / 19 (21%) | 3 / 19 (16%) | 0.211 | 0.158 |
| 2.A.1.20.2 | The Major Facilitator Superfamily (MFS) | 0.75 | 0.93 | 1 | 0.19 | 0.85 | 1 | 0.00034 | 2.7e-05 | 0 | 2.3e-05 | 0 | 7.9e-05 | 3.1e-05 | 0 | 0.00014 | 0.43 | 3 / 38 (7.9%) | 2 / 19 (11%) | 1 / 19 (5.3%) | 0.105 | 0.0526 |
| 3.A.1.4.1 | The ATP-binding Cassette (ABC) Superfamily | 0.99 | 1 | 1 | 0.63 | 0.9 | 1 | 0.0011 | 0.00024 | 0 | 2e-04 | 0 | 0.00074 | 0.00028 | 0 | 0.0012 | 0.49 | 8 / 38 (21%) | 4 / 19 (21%) | 4 / 19 (21%) | 0.211 | 0.211 |
| 9.B.126.1.1 | The Putative Lipid IV Exporter (YhjD) Family | 0.068 | 0.79 | 1 | 0.15 | 0.85 | 1 | 0.00025 | 4e-05 | 0 | 3e-05 | 0 | 0.00012 | 4.9e-05 | 0 | 0.00019 | 0.71 | 6 / 38 (16%) | 2 / 19 (11%) | 4 / 19 (21%) | 0.105 | 0.211 |
| 8.A.46.1.1 | The Glycan-binding Protein (SusD) Family | 0.88 | 0.97 | 1 | 0.88 | 0.98 | 1 | 7.5e-05 | 9.9e-06 | 0 | 6.5e-06 | 0 | 1.7e-05 | 1.3e-05 | 0 | 4.6e-05 | 1 | 5 / 38 (13%) | 3 / 19 (16%) | 2 / 19 (11%) | 0.158 | 0.105 |
| 1.B.46.1.1 | The Outer Membrane LolAB Lipoprotein Insertion Apparatus (LolAB) Family | 0.24 | 0.81 | 1 | 0.43 | 0.87 | 1 | 0.00026 | 2.1e-05 | 0 | 1.4e-05 | 0 | 6.2e-05 | 2.7e-05 | 0 | 8.7e-05 | 0.95 | 3 / 38 (7.9%) | 1 / 19 (5.3%) | 2 / 19 (11%) | 0.0526 | 0.105 |
| 1.B.14.1.9 | The Outer Membrane Receptor (OMR) Family | 0.41 | 0.85 | 1 | 0.29 | 0.85 | 1 | 0.00054 | 7.1e-05 | 0 | 7.7e-05 | 0 | 0.00029 | 6.5e-05 | 0 | 0.00027 | -0.24 | 5 / 38 (13%) | 3 / 19 (16%) | 2 / 19 (11%) | 0.158 | 0.105 |
| 4.A.1.2.7 | The PTS Glucose-Glucoside (Glc) Family | 0.62 | 0.92 | 1 | 0.78 | 0.95 | 1 | 0.00042 | 4.4e-05 | 0 | 5.9e-05 | 0 | 0.00025 | 2.9e-05 | 0 | 0.00011 | -1 | 4 / 38 (11%) | 2 / 19 (11%) | 2 / 19 (11%) | 0.105 | 0.105 |
| 3.A.1.139.2 | The ATP-binding Cassette (ABC) Superfamily | 1 | 1 | 1 | 0.9 | 0.99 | 1 | 0.00027 | 3.6e-05 | 0 | 4.3e-05 | 0 | 0.00016 | 2.8e-05 | 0 | 8.4e-05 | -0.62 | 5 / 38 (13%) | 2 / 19 (11%) | 3 / 19 (16%) | 0.105 | 0.158 |
| 2.A.1.21.22 | The Major Facilitator Superfamily (MFS) | 0.11 | 0.79 | 1 | 0.055 | 0.85 | 1 | 0.00019 | 7.4e-05 | 0 | 9.9e-05 | 0 | 0.00021 | 4.9e-05 | 0 | 9.6e-05 | -1 | 15 / 38 (39%) | 9 / 19 (47%) | 6 / 19 (32%) | 0.474 | 0.316 |
| 2.A.17.1.5 | The Proton-dependent Oligopeptide Transporter (POT/PTR) Family | 0.6 | 0.91 | 1 | 0.55 | 0.89 | 1 | 0.00021 | 3.4e-05 | 0 | 3.8e-05 | 0 | 0.00013 | 3e-05 | 0 | 0.00011 | -0.34 | 6 / 38 (16%) | 3 / 19 (16%) | 3 / 19 (16%) | 0.158 | 0.158 |
| 2.A.1.25.2 | The Major Facilitator Superfamily (MFS) | 0.93 | 0.99 | 1 | 0.92 | 0.99 | 1 | 0.00046 | 6.1e-05 | 0 | 6.7e-05 | 0 | 0.00028 | 5.5e-05 | 0 | 0.00022 | -0.28 | 5 / 38 (13%) | 2 / 19 (11%) | 3 / 19 (16%) | 0.105 | 0.158 |
| 2.A.6.4.1 | The Resistance-Nodulation-Cell Division (RND) Superfamily | 0.86 | 0.97 | 1 | 0.56 | 0.89 | 1 | 4e-04 | 1e-04 | 0 | 0.00011 | 0 | 0.00038 | 9.8e-05 | 0 | 3e-04 | -0.17 | 10 / 38 (26%) | 4 / 19 (21%) | 6 / 19 (32%) | 0.211 | 0.316 |
| 9.B.1.1.6 | The Integral Membrane CAAX Protease (CAAX Protease) Family | 0.45 | 0.86 | 1 | 0.78 | 0.96 | 1 | 0.00026 | 3.5e-05 | 0 | 2e-05 | 0 | 6.6e-05 | 4.9e-05 | 0 | 0.00019 | 1.3 | 5 / 38 (13%) | 2 / 19 (11%) | 3 / 19 (16%) | 0.105 | 0.158 |
| 2.A.1.14.33 | The Major Facilitator Superfamily (MFS) | 0.98 | 0.99 | 1 | 0.13 | 0.85 | 1 | 0.00061 | 4.8e-05 | 0 | 4.1e-05 | 0 | 0.00017 | 5.6e-05 | 0 | 0.00024 | 0.45 | 3 / 38 (7.9%) | 2 / 19 (11%) | 1 / 19 (5.3%) | 0.105 | 0.0526 |
| 1.A.35.1.1 | The CorA Metal Ion Transporter (MIT) Family | 0.67 | 0.92 | 1 | 0.49 | 0.87 | 1 | 2e-04 | 3.2e-05 | 0 | 3.7e-05 | 0 | 0.00016 | 2.7e-05 | 0 | 7.5e-05 | -0.45 | 6 / 38 (16%) | 2 / 19 (11%) | 4 / 19 (21%) | 0.105 | 0.211 |
| 2.A.21.3.19 | The Solute:Sodium Symporter (SSS) Family | 0.2 | 0.79 | 1 | 0.29 | 0.86 | 1 | 0.00076 | 0.00036 | 0 | 0.00046 | 7.1e-05 | 0.00074 | 0.00027 | 0 | 0.00061 | -0.77 | 18 / 38 (47%) | 10 / 19 (53%) | 8 / 19 (42%) | 0.526 | 0.421 |
| 2.A.1.1.42 | The Major Facilitator Superfamily (MFS) | 0.13 | 0.79 | 1 | 0.061 | 0.85 | 1 | 0.0012 | 0.00089 | 0.00068 | 0.00098 | 0.00072 | 0.00092 | 0.00081 | 0.00042 | 0.0012 | -0.27 | 29 / 38 (76%) | 15 / 19 (79%) | 14 / 19 (74%) | 0.789 | 0.737 |
| 3.A.1.11.7 | The ATP-binding Cassette (ABC) Superfamily | 0.32 | 0.83 | 1 | 0.17 | 0.85 | 1 | 0.00027 | 5.7e-05 | 0 | 6.3e-05 | 0 | 0.00012 | 5.1e-05 | 0 | 0.00021 | -0.3 | 8 / 38 (21%) | 6 / 19 (32%) | 2 / 19 (11%) | 0.316 | 0.105 |
| 3.A.10.1.5 | The H+. Na+-translocating Pyrophosphatase (M+-PPase) Family | 0.15 | 0.79 | 1 | 0.35 | 0.87 | 1 | 0.00019 | 1.5e-05 | 0 | 7.1e-06 | 0 | 3.1e-05 | 2.2e-05 | 0 | 8.2e-05 | 1.6 | 3 / 38 (7.9%) | 1 / 19 (5.3%) | 2 / 19 (11%) | 0.0526 | 0.105 |
| 1.A.12.3.2 | The Intracellular Chloride Channel (CLIC) Family | 0.29 | 0.83 | 1 | 0.83 | 0.97 | 1 | 0.00043 | 3.4e-05 | 0 | 2.5e-05 | 0 | 0.00011 | 4.3e-05 | 0 | 0.00016 | 0.78 | 3 / 38 (7.9%) | 1 / 19 (5.3%) | 2 / 19 (11%) | 0.0526 | 0.105 |
| 2.A.23.1.8 | The Dicarboxylate/Amino Acid:Cation (Na+ or H+) Symporter (DAACS) Family | 0.26 | 0.81 | 1 | 0.23 | 0.85 | 1 | 0.00056 | 5.9e-05 | 0 | 5e-05 | 0 | 0.00022 | 6.9e-05 | 0 | 0.00017 | 0.46 | 4 / 38 (11%) | 1 / 19 (5.3%) | 3 / 19 (16%) | 0.0526 | 0.158 |
| 8.A.1.1.3 | The Membrane Fusion Protein (MFP) Family | 0.76 | 0.93 | 1 | 0.5 | 0.88 | 1 | 0.00021 | 3.3e-05 | 0 | 3.2e-05 | 0 | 9.6e-05 | 3.4e-05 | 0 | 0.00013 | 0.087 | 6 / 38 (16%) | 3 / 19 (16%) | 3 / 19 (16%) | 0.158 | 0.158 |
| 2.A.53.3.11 | The Sulfate Permease (SulP) Family | 0.68 | 0.92 | 1 | 0.53 | 0.89 | 1 | 0.00027 | 2.9e-05 | 0 | 3.1e-05 | 0 | 0.00011 | 2.7e-05 | 0 | 0.00011 | -0.2 | 4 / 38 (11%) | 2 / 19 (11%) | 2 / 19 (11%) | 0.105 | 0.105 |
| 8.A.42.1.6 | The small hydrophilic YodL domain/protein (YodL) Family | 0.54 | 0.89 | 1 | 0.47 | 0.87 | 1 | 0.00057 | 0.00031 | 0.00019 | 0.00034 | 0.00012 | 0.00047 | 0.00029 | 0.00026 | 0.00042 | -0.23 | 21 / 38 (55%) | 11 / 19 (58%) | 10 / 19 (53%) | 0.579 | 0.526 |
| 9.B.307.1.2 | The FtsH AAA(+) Zinc Metaloprotease (FtsH) Family | 0.27 | 0.83 | 1 | 0.14 | 0.85 | 1 | 0.00052 | 6.8e-05 | 0 | 7.3e-05 | 0 | 0.00028 | 6.3e-05 | 0 | 0.00027 | -0.21 | 5 / 38 (13%) | 3 / 19 (16%) | 2 / 19 (11%) | 0.158 | 0.105 |
| 2.A.1.15.13 | The Major Facilitator Superfamily (MFS) | 0.22 | 0.79 | 1 | 0.34 | 0.87 | 1 | 0.00022 | 3.4e-05 | 0 | 2.5e-05 | 0 | 9.3e-05 | 4.3e-05 | 0 | 0.00014 | 0.78 | 6 / 38 (16%) | 2 / 19 (11%) | 4 / 19 (21%) | 0.105 | 0.211 |
| 3.A.1.3.25 | The ATP-binding Cassette (ABC) Superfamily | 0.63 | 0.92 | 1 | 0.76 | 0.95 | 1 | 0.00011 | 2.1e-05 | 0 | 1.4e-05 | 0 | 3.8e-05 | 2.8e-05 | 0 | 9e-05 | 1 | 7 / 38 (18%) | 3 / 19 (16%) | 4 / 19 (21%) | 0.158 | 0.211 |
| 3.A.1.2.27 | The ATP-binding Cassette (ABC) Superfamily | 0.21 | 0.79 | 1 | 0.28 | 0.85 | 1 | 0.00047 | 0.00011 | 0 | 8.6e-05 | 0 | 0.00031 | 0.00014 | 0 | 0.00041 | 0.7 | 9 / 38 (24%) | 3 / 19 (16%) | 6 / 19 (32%) | 0.158 | 0.316 |
| 2.A.33.1.5 | The NhaA Na+:H+ Antiporter (NhaA) Family | 0.56 | 0.9 | 1 | 0.93 | 0.99 | 1 | 7e-04 | 0.00052 | 0.00042 | 0.00049 | 0.00043 | 0.00053 | 0.00055 | 0.00042 | 0.00083 | 0.17 | 28 / 38 (74%) | 13 / 19 (68%) | 15 / 19 (79%) | 0.684 | 0.789 |
| 2.C.1.1.3 | The TonB-ExbB-ExbD/TolA-TolQ-TolR Outer Membrane Receptor Energizers and Stabilizers (TonB/TolA) Family | 0.92 | 0.99 | 1 | 0.91 | 0.99 | 1 | 4e-04 | 5.2e-05 | 0 | 5.2e-05 | 0 | 2e-04 | 5.3e-05 | 0 | 0.00022 | 0.027 | 5 / 38 (13%) | 2 / 19 (11%) | 3 / 19 (16%) | 0.105 | 0.158 |
| 2.A.3.1.4 | The Amino Acid-Polyamine-Organocation (APC) Family | 0.029 | 0.79 | 1 | 0.025 | 0.85 | 1 | 0.00021 | 3.9e-05 | 0 | 5.9e-05 | 0 | 0.00019 | 1.9e-05 | 0 | 8.1e-05 | -1.6 | 7 / 38 (18%) | 5 / 19 (26%) | 2 / 19 (11%) | 0.263 | 0.105 |
| 3.A.1.13.1 | The ATP-binding Cassette (ABC) Superfamily | 0.18 | 0.79 | 1 | 0.43 | 0.87 | 1 | 0.00065 | 5.1e-05 | 0 | 4.3e-05 | 0 | 0.00019 | 6e-05 | 0 | 0.00024 | 0.48 | 3 / 38 (7.9%) | 1 / 19 (5.3%) | 2 / 19 (11%) | 0.0526 | 0.105 |
| 3.A.1.5.1 | The ATP-binding Cassette (ABC) Superfamily | 0.15 | 0.79 | 1 | 0.2 | 0.85 | 1 | 0.00033 | 6.9e-05 | 0 | 6.3e-05 | 0 | 0.00023 | 7.5e-05 | 0 | 0.00022 | 0.25 | 8 / 38 (21%) | 3 / 19 (16%) | 5 / 19 (26%) | 0.158 | 0.263 |
| 2.A.85.7.1 | The Aromatic Acid Exporter (ArAE) Family | 0.081 | 0.79 | 1 | 0.18 | 0.85 | 1 | 0.00056 | 5.9e-05 | 0 | 4.3e-05 | 0 | 0.00019 | 7.5e-05 | 0 | 0.00027 | 0.8 | 4 / 38 (11%) | 1 / 19 (5.3%) | 3 / 19 (16%) | 0.0526 | 0.158 |
| 2.A.40.1.1 | The Nucleobase/Ascorbate Transporter (NAT) or Nucleobase:Cation Symporter-2 (NCS2) Family | 0.25 | 0.81 | 1 | 0.38 | 0.87 | 1 | 0.00031 | 6.6e-05 | 0 | 4.5e-05 | 0 | 0.00016 | 8.8e-05 | 0 | 3e-04 | 0.97 | 8 / 38 (21%) | 3 / 19 (16%) | 5 / 19 (26%) | 0.158 | 0.263 |
| 1.A.30.2.2 | The H+- or Na+-translocating Bacterial Flagellar Motor/ExbBD Outer Membrane Transport Energizer (Mot/Exb) Superfamily | 0.39 | 0.84 | 1 | 0.31 | 0.87 | 1 | 0.00042 | 4.4e-05 | 0 | 4.6e-05 | 0 | 2e-04 | 4.1e-05 | 0 | 0.00014 | -0.17 | 4 / 38 (11%) | 1 / 19 (5.3%) | 3 / 19 (16%) | 0.0526 | 0.158 |
| 2.A.4.1.4 | The Cation Diffusion Facilitator (CDF) Family | 0.12 | 0.79 | 1 | 0.15 | 0.85 | 1 | 0.00024 | 3.1e-05 | 0 | 2.9e-05 | 0 | 0.00012 | 3.4e-05 | 0 | 0.00011 | 0.23 | 5 / 38 (13%) | 1 / 19 (5.3%) | 4 / 19 (21%) | 0.0526 | 0.211 |
| 9.B.62.1.4 | The Copper Resistance (CopD) Family | 0.79 | 0.95 | 1 | 0.9 | 0.99 | 1 | 0.00019 | 2e-05 | 0 | 1.9e-05 | 0 | 7.8e-05 | 2.2e-05 | 0 | 8.1e-05 | 0.21 | 4 / 38 (11%) | 2 / 19 (11%) | 2 / 19 (11%) | 0.105 | 0.105 |
| 1.B.11.2.1 | The Outer Membrane Fimbrial Usher Porin (FUP) Family | 0.25 | 0.81 | 1 | 0.41 | 0.87 | 1 | 0.001 | 8.2e-05 | 0 | 7.1e-05 | 0 | 0.00031 | 9.3e-05 | 0 | 0.00035 | 0.39 | 3 / 38 (7.9%) | 1 / 19 (5.3%) | 2 / 19 (11%) | 0.0526 | 0.105 |
| 2.A.28.3.4 | The Bile Acid:Na+ Symporter (BASS) Family | 0.82 | 0.96 | 1 | 0.76 | 0.95 | 1 | 0.00033 | 3.5e-05 | 0 | 3e-05 | 0 | 0.00011 | 4e-05 | 0 | 0.00016 | 0.42 | 4 / 38 (11%) | 2 / 19 (11%) | 2 / 19 (11%) | 0.105 | 0.105 |
| 2.A.3.13.1 | The Amino Acid-Polyamine-Organocation (APC) Family | 0.72 | 0.92 | 1 | 0.99 | 1 | 1 | 0.00033 | 3.5e-05 | 0 | 3.2e-05 | 0 | 0.00012 | 3.8e-05 | 0 | 0.00014 | 0.25 | 4 / 38 (11%) | 2 / 19 (11%) | 2 / 19 (11%) | 0.105 | 0.105 |
| 2.A.42.2.3 | The Hydroxy/Aromatic Amino Acid Permease (HAAAP) Family | 0.42 | 0.85 | 1 | 0.11 | 0.85 | 1 | 0.00054 | 4.3e-05 | 0 | 4.2e-05 | 0 | 0.00017 | 4.3e-05 | 0 | 0.00019 | 0.034 | 3 / 38 (7.9%) | 2 / 19 (11%) | 1 / 19 (5.3%) | 0.105 | 0.0526 |
| 2.A.66.2.3 | The Multidrug/Oligosaccharidyl-lipid/Polysaccharide (MOP) Flippase Superfamily | 0.7 | 0.92 | 1 | 0.75 | 0.94 | 1 | 0.00029 | 2.3e-05 | 0 | 2.5e-05 | 0 | 0.00011 | 2e-05 | 0 | 8.1e-05 | -0.32 | 3 / 38 (7.9%) | 1 / 19 (5.3%) | 2 / 19 (11%) | 0.0526 | 0.105 |
| 1.B.48.2.5 | The Curli Fiber Subunit Porin. CgsA. CsgG (CsgG) Family | 0.086 | 0.79 | 1 | 0.07 | 0.85 | 1 | 0.00018 | 3.8e-05 | 0 | 6.4e-05 | 0 | 0.00016 | 1.1e-05 | 0 | 2.7e-05 | -2.5 | 8 / 38 (21%) | 5 / 19 (26%) | 3 / 19 (16%) | 0.263 | 0.158 |
| 8.A.1.6.1 | The Membrane Fusion Protein (MFP) Family | 0.71 | 0.92 | 1 | 0.58 | 0.89 | 1 | 0.00085 | 6.7e-05 | 0 | 7.5e-05 | 0 | 0.00033 | 6e-05 | 0 | 0.00024 | -0.32 | 3 / 38 (7.9%) | 1 / 19 (5.3%) | 2 / 19 (11%) | 0.0526 | 0.105 |
| 9.B.65.1.1 | The Putative Transporter (YhgE) Family | 0.1 | 0.79 | 1 | 0.21 | 0.85 | 1 | 0.00056 | 8.9e-05 | 0 | 5.5e-05 | 0 | 0.00023 | 0.00012 | 0 | 0.00048 | 1.1 | 6 / 38 (16%) | 2 / 19 (11%) | 4 / 19 (21%) | 0.105 | 0.211 |
| 1.A.62.2.3 | The Homotrimeric Cation Channel (TRIC) Family | 0.69 | 0.92 | 1 | 0.47 | 0.87 | 1 | 0.00021 | 1.7e-05 | 0 | 8.7e-06 | 0 | 3.1e-05 | 2.5e-05 | 0 | 0.00011 | 1.5 | 3 / 38 (7.9%) | 2 / 19 (11%) | 1 / 19 (5.3%) | 0.105 | 0.0526 |
| 2.A.1.2.9 | The Major Facilitator Superfamily (MFS) | 0.58 | 0.9 | 1 | 0.38 | 0.87 | 1 | 0.00021 | 2.2e-05 | 0 | 2.4e-05 | 0 | 8.1e-05 | 1.9e-05 | 0 | 8.1e-05 | -0.34 | 4 / 38 (11%) | 2 / 19 (11%) | 2 / 19 (11%) | 0.105 | 0.105 |
| 9.B.227.2.4 | The Uncharacterized 9 or 10 TMS Protein (UTMP) Family | 0.4 | 0.84 | 1 | 0.7 | 0.92 | 1 | 0.00042 | 3.3e-05 | 0 | 2e-05 | 0 | 6e-05 | 4.7e-05 | 0 | 0.00021 | 1.2 | 3 / 38 (7.9%) | 2 / 19 (11%) | 1 / 19 (5.3%) | 0.105 | 0.0526 |
| 9.A.47.2.2 | The Tight Adherence (Pilus) Biogenesis Apparatus (TABA) Family | 0.4 | 0.84 | 1 | 0.94 | 0.99 | 1 | 0.0023 | 0.0018 | 0.0013 | 0.0018 | 0.0013 | 0.0016 | 0.0019 | 0.0013 | 0.0027 | 0.078 | 31 / 38 (82%) | 15 / 19 (79%) | 16 / 19 (84%) | 0.789 | 0.842 |
| 3.A.10.1.10 | The H+. Na+-translocating Pyrophosphatase (M+-PPase) Family | 0.95 | 0.99 | 1 | 0.66 | 0.91 | 1 | 0.00084 | 0.00049 | 8.5e-05 | 0.00058 | 2.9e-05 | 0.0013 | 4e-04 | 9.7e-05 | 0.00067 | -0.54 | 22 / 38 (58%) | 10 / 19 (53%) | 12 / 19 (63%) | 0.526 | 0.632 |
| 2.A.13.1.1 | The C4-Dicarboxylate Uptake (Dcu) Family | 0.17 | 0.79 | 1 | 0.3 | 0.87 | 1 | 0.00029 | 6.2e-05 | 0 | 3.4e-05 | 0 | 0.00012 | 8.9e-05 | 0 | 3e-04 | 1.4 | 8 / 38 (21%) | 3 / 19 (16%) | 5 / 19 (26%) | 0.158 | 0.263 |
| 2.A.37.1.1 | The Monovalent Cation:Proton Antiporter-2 (CPA2) Family | 0.35 | 0.84 | 1 | 0.73 | 0.93 | 1 | 0.00047 | 9.8e-05 | 0 | 6.4e-05 | 0 | 0.00023 | 0.00013 | 0 | 0.00046 | 1 | 8 / 38 (21%) | 4 / 19 (21%) | 4 / 19 (21%) | 0.211 | 0.211 |
| 3.A.1.7.1 | The ATP-binding Cassette (ABC) Superfamily | 0.49 | 0.86 | 1 | 0.63 | 0.9 | 1 | 0.00055 | 0.00013 | 0 | 0.00013 | 0 | 0.00051 | 0.00013 | 0 | 0.00051 | 0 | 9 / 38 (24%) | 4 / 19 (21%) | 5 / 19 (26%) | 0.211 | 0.263 |
| 1.A.14.2.2 | The Calcium Transporter A (CaTA) (formerly the Testis-Enhanced Gene Transfer (TEGT) Family | 0.33 | 0.84 | 1 | 0.53 | 0.89 | 1 | 0.00044 | 3.5e-05 | 0 | 3.2e-05 | 0 | 0.00014 | 3.7e-05 | 0 | 0.00014 | 0.21 | 3 / 38 (7.9%) | 1 / 19 (5.3%) | 2 / 19 (11%) | 0.0526 | 0.105 |
| 1.A.43.3.3 | The Camphor Resistance or Fluoride Exporter (Fluc) Family | 0.51 | 0.87 | 1 | 0.35 | 0.87 | 1 | 0.00047 | 0.00032 | 0.00018 | 0.00029 | 0.00015 | 0.00034 | 0.00035 | 0.00028 | 0.00042 | 0.27 | 26 / 38 (68%) | 11 / 19 (58%) | 15 / 19 (79%) | 0.579 | 0.789 |
| 2.A.3.1.7 | The Amino Acid-Polyamine-Organocation (APC) Family | 0.21 | 0.79 | 1 | 0.47 | 0.87 | 1 | 0.00044 | 8.2e-05 | 0 | 5.2e-05 | 0 | 0.00019 | 0.00011 | 0 | 0.00038 | 1.1 | 7 / 38 (18%) | 3 / 19 (16%) | 4 / 19 (21%) | 0.158 | 0.211 |
| 3.A.1.147.4 | The ATP-binding Cassette (ABC) Superfamily | 0.92 | 0.99 | 1 | 0.72 | 0.93 | 1 | 0.00018 | 6.2e-05 | 0 | 7.4e-05 | 0 | 2e-04 | 5e-05 | 0 | 8.6e-05 | -0.57 | 13 / 38 (34%) | 6 / 19 (32%) | 7 / 19 (37%) | 0.316 | 0.368 |
| 4.A.2.1.24 | The PTS Fructose-Mannitol (Fru) Family | 0.65 | 0.92 | 1 | 0.58 | 0.89 | 1 | 0.00053 | 5.6e-05 | 0 | 3.7e-05 | 0 | 0.00014 | 7.5e-05 | 0 | 0.00032 | 1 | 4 / 38 (11%) | 2 / 19 (11%) | 2 / 19 (11%) | 0.105 | 0.105 |
| 2.A.45.2.5 | The Arsenite-Antimonite (ArsB) Efflux Family | 0.21 | 0.79 | 1 | 0.34 | 0.87 | 1 | 0.00021 | 3.3e-05 | 0 | 2.7e-05 | 0 | 0.00011 | 4e-05 | 0 | 0.00014 | 0.57 | 6 / 38 (16%) | 2 / 19 (11%) | 4 / 19 (21%) | 0.105 | 0.211 |
| 2.A.3.7.4 | The Amino Acid-Polyamine-Organocation (APC) Family | 0.72 | 0.92 | 1 | 0.48 | 0.87 | 1 | 0.00045 | 4.7e-05 | 0 | 4.9e-05 | 0 | 2e-04 | 4.5e-05 | 0 | 0.00019 | -0.12 | 4 / 38 (11%) | 2 / 19 (11%) | 2 / 19 (11%) | 0.105 | 0.105 |
| 3.A.1.122.30 | The ATP-binding Cassette (ABC) Superfamily | 0.41 | 0.85 | 1 | 0.26 | 0.85 | 1 | 0.0023 | 0.0018 | 0.0013 | 0.0018 | 0.0014 | 0.0017 | 0.0019 | 0.0013 | 0.0025 | 0.078 | 30 / 38 (79%) | 15 / 19 (79%) | 15 / 19 (79%) | 0.789 | 0.789 |
| 2.A.47.4.8 | The Divalent Anion:Na+ Symporter (DASS) Family | 0.24 | 0.81 | 1 | 0.36 | 0.87 | 1 | 0.00044 | 7e-05 | 0 | 6e-05 | 0 | 0.00025 | 8e-05 | 0 | 3e-04 | 0.42 | 6 / 38 (16%) | 2 / 19 (11%) | 4 / 19 (21%) | 0.105 | 0.211 |
| 2.A.66.2.16 | The Multidrug/Oligosaccharidyl-lipid/Polysaccharide (MOP) Flippase Superfamily | 0.64 | 0.92 | 1 | 0.63 | 0.9 | 1 | 3e-04 | 4e-05 | 0 | 3.4e-05 | 0 | 0.00014 | 4.6e-05 | 0 | 0.00015 | 0.44 | 5 / 38 (13%) | 2 / 19 (11%) | 3 / 19 (16%) | 0.105 | 0.158 |
| 3.A.1.6.1 | The ATP-binding Cassette (ABC) Superfamily | 0.14 | 0.79 | 1 | 0.079 | 0.85 | 1 | 0.0011 | 0.00011 | 0 | 0.00012 | 0 | 0.00046 | 0.00011 | 0 | 0.00046 | -0.13 | 4 / 38 (11%) | 3 / 19 (16%) | 1 / 19 (5.3%) | 0.158 | 0.0526 |
| 1.A.43.3.1 | The Camphor Resistance or Fluoride Exporter (Fluc) Family | 0.81 | 0.96 | 1 | 0.71 | 0.93 | 1 | 0.00069 | 0.00051 | 0.00041 | 0.00041 | 4e-04 | 0.00036 | 0.00061 | 0.00042 | 0.00079 | 0.57 | 28 / 38 (74%) | 14 / 19 (74%) | 14 / 19 (74%) | 0.737 | 0.737 |
| 2.A.2.3.4 | The Glycoside-Pentoside-Hexuronide (GPH):Cation Symporter Family | 0.85 | 0.97 | 1 | 0.89 | 0.99 | 1 | 0.00034 | 7.1e-05 | 0 | 5.8e-05 | 0 | 2e-04 | 8.5e-05 | 0 | 3e-04 | 0.55 | 8 / 38 (21%) | 4 / 19 (21%) | 4 / 19 (21%) | 0.211 | 0.211 |
| 2.A.23.1.7 | The Dicarboxylate/Amino Acid:Cation (Na+ or H+) Symporter (DAACS) Family | 0.82 | 0.96 | 1 | 0.91 | 0.99 | 1 | 0.00039 | 5.2e-05 | 0 | 6.3e-05 | 0 | 0.00025 | 4e-05 | 0 | 0.00014 | -0.66 | 5 / 38 (13%) | 2 / 19 (11%) | 3 / 19 (16%) | 0.105 | 0.158 |
| 3.D.4.3.2 | The Proton-translocating Cytochrome Oxidase (COX) Superfamily | 0.72 | 0.92 | 1 | 0.95 | 0.99 | 1 | 0.00062 | 8.2e-05 | 0 | 7.6e-05 | 0 | 3e-04 | 8.8e-05 | 0 | 0.00035 | 0.21 | 5 / 38 (13%) | 2 / 19 (11%) | 3 / 19 (16%) | 0.105 | 0.158 |
| 2.A.17.1.6 | The Proton-dependent Oligopeptide Transporter (POT/PTR) Family | 0.82 | 0.96 | 1 | 0.27 | 0.85 | 1 | 3e-04 | 1e-04 | 0 | 6.8e-05 | 0 | 0.00012 | 0.00013 | 0 | 0.00045 | 0.93 | 13 / 38 (34%) | 9 / 19 (47%) | 4 / 19 (21%) | 0.474 | 0.211 |
| 3.D.4.5.1 | The Proton-translocating Cytochrome Oxidase (COX) Superfamily | 0.12 | 0.79 | 1 | 0.2 | 0.85 | 1 | 0.00056 | 0.00015 | 0 | 1e-04 | 0 | 0.00039 | 0.00019 | 0 | 0.00073 | 0.93 | 10 / 38 (26%) | 4 / 19 (21%) | 6 / 19 (32%) | 0.211 | 0.316 |
| 2.A.1.7.17 | The Major Facilitator Superfamily (MFS) | 0.32 | 0.83 | 1 | 0.31 | 0.87 | 1 | 0.00028 | 9.5e-05 | 0 | 8.3e-05 | 0 | 0.00024 | 0.00011 | 0 | 0.00017 | 0.41 | 13 / 38 (34%) | 5 / 19 (26%) | 8 / 19 (42%) | 0.263 | 0.421 |
| 9.B.211.1.2 | The 10 TMS Putative Permease (10PP) Family | 0.038 | 0.79 | 1 | 0.039 | 0.85 | 1 | 0.00024 | 0.00019 | 0.00018 | 0.00016 | 7.5e-05 | 0.00018 | 0.00022 | 0.00021 | 0.00015 | 0.46 | 30 / 38 (79%) | 13 / 19 (68%) | 17 / 19 (89%) | 0.684 | 0.895 |
| 2.A.42.2.5 | The Hydroxy/Aromatic Amino Acid Permease (HAAAP) Family | 0.32 | 0.83 | 1 | 0.5 | 0.87 | 1 | 0.00066 | 5.2e-05 | 0 | 5e-05 | 0 | 0.00022 | 5.4e-05 | 0 | 0.00022 | 0.11 | 3 / 38 (7.9%) | 1 / 19 (5.3%) | 2 / 19 (11%) | 0.0526 | 0.105 |
| 9.B.209.1.1 | The DUF2633 (DUF2633) Family | 0.94 | 0.99 | 1 | 0.94 | 0.99 | 1 | 3e-04 | 2.4e-05 | 0 | 2.9e-05 | 0 | 0.00012 | 1.9e-05 | 0 | 8.1e-05 | -0.61 | 3 / 38 (7.9%) | 1 / 19 (5.3%) | 2 / 19 (11%) | 0.0526 | 0.105 |
| 9.B.160.1.16 | The Colicin V Production (CvpA) Family | 0.88 | 0.97 | 1 | 0.43 | 0.87 | 1 | 0.00018 | 1.9e-05 | 0 | 1.9e-05 | 0 | 7.8e-05 | 1.9e-05 | 0 | 8.1e-05 | 0 | 4 / 38 (11%) | 2 / 19 (11%) | 2 / 19 (11%) | 0.105 | 0.105 |
| 5.A.3.4.1 | The Prokaryotic Molybdopterin-containing Oxidoreductase (PMO) Family | 0.93 | 0.99 | 1 | 0.76 | 0.95 | 1 | 0.00059 | 0.00012 | 0 | 0.00012 | 0 | 0.00043 | 0.00013 | 0 | 0.00048 | 0.12 | 8 / 38 (21%) | 4 / 19 (21%) | 4 / 19 (21%) | 0.211 | 0.211 |
| 5.A.3.4.3 | The Prokaryotic Molybdopterin-containing Oxidoreductase (PMO) Family | 0.3 | 0.83 | 1 | 0.33 | 0.87 | 1 | 0.00026 | 5.6e-05 | 0 | 8.4e-05 | 0 | 0.00031 | 2.7e-05 | 0 | 8.2e-05 | -1.6 | 8 / 38 (21%) | 4 / 19 (21%) | 4 / 19 (21%) | 0.211 | 0.211 |
| 4.A.6.1.4 | The PTS Mannose-Fructose-Sorbose (Man) Family | 0.35 | 0.84 | 1 | 0.14 | 0.85 | 1 | 0.00026 | 3.5e-05 | 0 | 3.7e-05 | 0 | 0.00011 | 3.2e-05 | 0 | 0.00011 | -0.21 | 5 / 38 (13%) | 3 / 19 (16%) | 2 / 19 (11%) | 0.158 | 0.105 |
| 8.A.3.3.2 | The Cytoplasmic Membrane-Periplasmic Auxiliary-1 (MPA1) Protein with Cytoplasmic (C) Domain (MPA1-C or MPA1+C) Family | 0.11 | 0.79 | 1 | 0.19 | 0.85 | 1 | 0.00083 | 8.7e-05 | 0 | 5.7e-05 | 0 | 0.00025 | 0.00012 | 0 | 0.00039 | 1.1 | 4 / 38 (11%) | 1 / 19 (5.3%) | 3 / 19 (16%) | 0.0526 | 0.158 |
| 2.A.3.1.1 | The Amino Acid-Polyamine-Organocation (APC) Family | 0.041 | 0.79 | 1 | 0.044 | 0.85 | 1 | 0.00039 | 5.1e-05 | 0 | 2.9e-05 | 0 | 0.00012 | 7.3e-05 | 0 | 0.00027 | 1.3 | 5 / 38 (13%) | 1 / 19 (5.3%) | 4 / 19 (21%) | 0.0526 | 0.211 |
| 3.D.1.9.1 | The H+ or Na+-translocating NADH Dehydrogenase (NDH) Family | 0.89 | 0.98 | 1 | 0.9 | 0.99 | 1 | 0.00013 | 2.4e-05 | 0 | 2.5e-05 | 0 | 7.1e-05 | 2.3e-05 | 0 | 5.9e-05 | -0.12 | 7 / 38 (18%) | 3 / 19 (16%) | 4 / 19 (21%) | 0.158 | 0.211 |
| 8.A.5.1.5 | The Voltage-gated K+ Channel β-subunit (Kvβ) Family | 0.88 | 0.97 | 1 | 1 | 1 | 1 | 0.00034 | 5.4e-05 | 0 | 5.4e-05 | 0 | 2e-04 | 5.4e-05 | 0 | 0.00019 | 0 | 6 / 38 (16%) | 3 / 19 (16%) | 3 / 19 (16%) | 0.158 | 0.158 |
| 2.A.121.1.1 | The Sulfate Transporter (CysZ) Family | 0.42 | 0.86 | 1 | 0.38 | 0.87 | 1 | 0.00032 | 4.2e-05 | 0 | 5.3e-05 | 0 | 0.00019 | 3.1e-05 | 0 | 0.00011 | -0.77 | 5 / 38 (13%) | 3 / 19 (16%) | 2 / 19 (11%) | 0.158 | 0.105 |
| 8.A.2.1.3 | The Secretin Auxiliary Lipoprotein (SAL) Family | 0.15 | 0.79 | 1 | 0.39 | 0.87 | 1 | 0.00017 | 1.4e-05 | 0 | 7.1e-06 | 0 | 3.1e-05 | 2e-05 | 0 | 8.1e-05 | 1.5 | 3 / 38 (7.9%) | 1 / 19 (5.3%) | 2 / 19 (11%) | 0.0526 | 0.105 |
| 1.B.33.2.4 | The Outer Membrane Protein Insertion Porin (Bam Complex) (OmpIP) Family | 0.51 | 0.88 | 1 | 0.92 | 0.99 | 1 | 0.00034 | 3.6e-05 | 0 | 2e-05 | 0 | 6.6e-05 | 5.1e-05 | 0 | 0.00019 | 1.4 | 4 / 38 (11%) | 2 / 19 (11%) | 2 / 19 (11%) | 0.105 | 0.105 |
| 2.A.3.1.24 | The Amino Acid-Polyamine-Organocation (APC) Family | 0.71 | 0.92 | 1 | 0.77 | 0.95 | 1 | 0.00021 | 3.3e-05 | 0 | 2.7e-05 | 0 | 8.1e-05 | 3.9e-05 | 0 | 0.00014 | 0.53 | 6 / 38 (16%) | 3 / 19 (16%) | 3 / 19 (16%) | 0.158 | 0.158 |
| 3.A.1.120.6 | The ATP-binding Cassette (ABC) Superfamily | 0.74 | 0.93 | 1 | 0.55 | 0.89 | 1 | 0.00034 | 5.3e-05 | 0 | 5.4e-05 | 0 | 2e-04 | 5.3e-05 | 0 | 0.00022 | -0.027 | 6 / 38 (16%) | 3 / 19 (16%) | 3 / 19 (16%) | 0.158 | 0.158 |
| 9.B.34.1.2 | The Kinase/Phosphatase/Cyclic-GMP Synthase/Cyclic di-GMP Hydrolase (KPSH) Family | 0.097 | 0.79 | 1 | 0.034 | 0.85 | 1 | 4e-04 | 4.2e-05 | 0 | 6.6e-05 | 0 | 0.00026 | 1.9e-05 | 0 | 8.1e-05 | -1.8 | 4 / 38 (11%) | 3 / 19 (16%) | 1 / 19 (5.3%) | 0.158 | 0.0526 |
| 2.A.19.1.1 | The Ca2+:Cation Antiporter (CaCA) Family | 0.95 | 0.99 | 1 | 0.94 | 0.99 | 1 | 0.00023 | 3e-05 | 0 | 3.5e-05 | 0 | 0.00013 | 2.6e-05 | 0 | 8.4e-05 | -0.43 | 5 / 38 (13%) | 2 / 19 (11%) | 3 / 19 (16%) | 0.105 | 0.158 |
| 8.A.46.2.1 | The Glycan-binding Protein (SusD) Family | 0.55 | 0.89 | 1 | 0.49 | 0.87 | 1 | 6.5e-05 | 5.1e-06 | 0 | 6.7e-06 | 0 | 2e-05 | 3.4e-06 | 0 | 1.5e-05 | -0.98 | 3 / 38 (7.9%) | 2 / 19 (11%) | 1 / 19 (5.3%) | 0.105 | 0.0526 |
| 1.B.17.3.10 | The Outer Membrane Factor (OMF) Family | 0.92 | 0.99 | 1 | 0.61 | 0.9 | 1 | 0.00036 | 4.7e-05 | 0 | 4.3e-05 | 0 | 0.00016 | 5.1e-05 | 0 | 0.00019 | 0.25 | 5 / 38 (13%) | 3 / 19 (16%) | 2 / 19 (11%) | 0.158 | 0.105 |
| 2.A.1.2.65 | The Major Facilitator Superfamily (MFS) | 0.61 | 0.91 | 1 | 0.49 | 0.87 | 1 | 0.00023 | 4.2e-05 | 0 | 3.3e-05 | 0 | 9.5e-05 | 5.1e-05 | 0 | 0.00019 | 0.63 | 7 / 38 (18%) | 4 / 19 (21%) | 3 / 19 (16%) | 0.211 | 0.158 |
| 2.A.1.2.15 | The Major Facilitator Superfamily (MFS) | 0.29 | 0.83 | 1 | 0.97 | 1 | 1 | 0.00028 | 2.9e-05 | 0 | 1.9e-05 | 0 | 7.8e-05 | 3.9e-05 | 0 | 0.00016 | 1 | 4 / 38 (11%) | 2 / 19 (11%) | 2 / 19 (11%) | 0.105 | 0.105 |
| 2.A.1.1.2 | The Major Facilitator Superfamily (MFS) | 0.15 | 0.79 | 1 | 0.28 | 0.85 | 1 | 0.00078 | 6.1e-05 | 0 | 2.9e-05 | 0 | 0.00012 | 9.4e-05 | 0 | 0.00038 | 1.7 | 3 / 38 (7.9%) | 1 / 19 (5.3%) | 2 / 19 (11%) | 0.0526 | 0.105 |
| 1.E.14.1.4 | The CidA/LrgA Holin (CidA/LrgA Holin) Family | 0.59 | 0.9 | 1 | 0.32 | 0.87 | 1 | 0.00015 | 1.9e-05 | 0 | 2.5e-05 | 0 | 0.00011 | 1.3e-05 | 0 | 3.1e-05 | -0.94 | 5 / 38 (13%) | 1 / 19 (5.3%) | 4 / 19 (21%) | 0.0526 | 0.211 |
| 3.A.1.105.15 | The ATP-binding Cassette (ABC) Superfamily | 0.045 | 0.79 | 1 | 0.11 | 0.85 | 1 | 0.00034 | 8e-05 | 0 | 5.3e-05 | 0 | 0.00019 | 0.00011 | 0 | 0.00038 | 1.1 | 9 / 38 (24%) | 3 / 19 (16%) | 6 / 19 (32%) | 0.158 | 0.316 |
| 1.B.6.2.1 | The OmpA-OmpF Porin (OOP) Family | 0.38 | 0.84 | 1 | 0.55 | 0.89 | 1 | 2e-04 | 1.5e-05 | 0 | 1.4e-05 | 0 | 6.2e-05 | 1.7e-05 | 0 | 5.6e-05 | 0.28 | 3 / 38 (7.9%) | 1 / 19 (5.3%) | 2 / 19 (11%) | 0.0526 | 0.105 |
| 4.A.6.1.3 | The PTS Mannose-Fructose-Sorbose (Man) Family | 0.65 | 0.92 | 1 | 0.59 | 0.89 | 1 | 0.00037 | 2.9e-05 | 0 | 3.2e-05 | 0 | 0.00014 | 2.6e-05 | 0 | 8.5e-05 | -0.3 | 3 / 38 (7.9%) | 1 / 19 (5.3%) | 2 / 19 (11%) | 0.0526 | 0.105 |
| 2.A.40.7.7 | The Nucleobase/Ascorbate Transporter (NAT) or Nucleobase:Cation Symporter-2 (NCS2) Family | 0.63 | 0.92 | 1 | 0.86 | 0.97 | 1 | 0.00043 | 5.6e-05 | 0 | 7.3e-05 | 0 | 0.00031 | 4e-05 | 0 | 0.00016 | -0.87 | 5 / 38 (13%) | 2 / 19 (11%) | 3 / 19 (16%) | 0.105 | 0.158 |
| 1.A.30.2.1 | The H+- or Na+-translocating Bacterial Flagellar Motor/ExbBD Outer Membrane Transport Energizer (Mot/Exb) Superfamily | 0.22 | 0.79 | 1 | 0.43 | 0.87 | 1 | 0.00035 | 4.6e-05 | 0 | 2.7e-05 | 0 | 0.00011 | 6.5e-05 | 0 | 0.00022 | 1.3 | 5 / 38 (13%) | 2 / 19 (11%) | 3 / 19 (16%) | 0.105 | 0.158 |
| 2.A.86.1.4 | The Autoinducer-2 Exporter (AI-2E) Family (Formerly the PerM Family. TC #9.B.22) | 0.32 | 0.83 | 1 | 0.59 | 0.89 | 1 | 0.00032 | 2.6e-05 | 0 | 2.5e-05 | 0 | 0.00011 | 2.6e-05 | 0 | 0.00011 | 0.057 | 3 / 38 (7.9%) | 1 / 19 (5.3%) | 2 / 19 (11%) | 0.0526 | 0.105 |
| 1.B.17.3.5 | The Outer Membrane Factor (OMF) Family | 0.2 | 0.79 | 1 | 0.12 | 0.85 | 1 | 0.00028 | 3.7e-05 | 0 | 3.2e-05 | 0 | 0.00014 | 4.1e-05 | 0 | 1e-04 | 0.36 | 5 / 38 (13%) | 1 / 19 (5.3%) | 4 / 19 (21%) | 0.0526 | 0.211 |
| 5.A.3.4.2 | The Prokaryotic Molybdopterin-containing Oxidoreductase (PMO) Family | 0.86 | 0.97 | 1 | 0.62 | 0.9 | 1 | 0.00059 | 9.3e-05 | 0 | 9.1e-05 | 0 | 0.00034 | 9.5e-05 | 0 | 0.00038 | 0.062 | 6 / 38 (16%) | 3 / 19 (16%) | 3 / 19 (16%) | 0.158 | 0.158 |
| 4.A.1.1.3 | The PTS Glucose-Glucoside (Glc) Family | 0.98 | 0.99 | 1 | 0.82 | 0.97 | 1 | 0.00026 | 4.8e-05 | 0 | 5e-05 | 0 | 0.00014 | 4.6e-05 | 0 | 0.00014 | -0.12 | 7 / 38 (18%) | 3 / 19 (16%) | 4 / 19 (21%) | 0.158 | 0.211 |
| 3.A.1.21.1 | The ATP-binding Cassette (ABC) Superfamily | 0.17 | 0.79 | 1 | 0.13 | 0.85 | 1 | 5e-04 | 6.6e-05 | 0 | 8.2e-05 | 0 | 0.00033 | 5e-05 | 0 | 0.00022 | -0.71 | 5 / 38 (13%) | 3 / 19 (16%) | 2 / 19 (11%) | 0.158 | 0.105 |
| 9.B.55.1.1 | The 4 TMS DUF307/YccF (DUF307) Family | 0.18 | 0.79 | 1 | 0.28 | 0.85 | 1 | 0.00031 | 2.5e-05 | 0 | 1.1e-05 | 0 | 4.7e-05 | 3.9e-05 | 0 | 0.00016 | 1.8 | 3 / 38 (7.9%) | 1 / 19 (5.3%) | 2 / 19 (11%) | 0.0526 | 0.105 |
| 2.A.1.1.1 | The Major Facilitator Superfamily (MFS) | 0.67 | 0.92 | 1 | 0.68 | 0.92 | 1 | 0.00093 | 9.7e-05 | 0 | 0.00011 | 0 | 0.00042 | 8.7e-05 | 0 | 0.00035 | -0.34 | 4 / 38 (11%) | 2 / 19 (11%) | 2 / 19 (11%) | 0.105 | 0.105 |
| 2.A.1.3.17 | The Major Facilitator Superfamily (MFS) | 0.98 | 0.99 | 1 | 0.79 | 0.96 | 1 | 0.00031 | 4.9e-05 | 0 | 4.8e-05 | 0 | 0.00017 | 5.1e-05 | 0 | 0.00019 | 0.087 | 6 / 38 (16%) | 3 / 19 (16%) | 3 / 19 (16%) | 0.158 | 0.158 |
| 2.A.7.22.1 | The Drug/Metabolite Transporter (DMT) Superfamily | 0.92 | 0.99 | 1 | 0.48 | 0.87 | 1 | 0.00046 | 4.9e-05 | 0 | 4e-05 | 0 | 0.00013 | 5.7e-05 | 0 | 0.00024 | 0.51 | 4 / 38 (11%) | 2 / 19 (11%) | 2 / 19 (11%) | 0.105 | 0.105 |
| 8.A.1.6.2 | The Membrane Fusion Protein (MFP) Family | 0.94 | 0.99 | 1 | 0.87 | 0.98 | 1 | 0.00023 | 3.1e-05 | 0 | 3.5e-05 | 0 | 0.00013 | 2.7e-05 | 0 | 8.6e-05 | -0.37 | 5 / 38 (13%) | 2 / 19 (11%) | 3 / 19 (16%) | 0.105 | 0.158 |
| 1.A.16.3.1 | The Formate-Nitrite Transporter (FNT) Family | 0.65 | 0.92 | 1 | 0.11 | 0.85 | 1 | 0.00044 | 4.6e-05 | 0 | 3.6e-05 | 0 | 0.00013 | 5.6e-05 | 0 | 0.00024 | 0.64 | 4 / 38 (11%) | 3 / 19 (16%) | 1 / 19 (5.3%) | 0.158 | 0.0526 |
| 2.A.20.1.1 | The Inorganic Phosphate Transporter (PiT) Family | 0.54 | 0.89 | 1 | 1 | 1 | 1 | 6e-04 | 6.3e-05 | 0 | 5.5e-05 | 0 | 0.00023 | 7.1e-05 | 0 | 3e-04 | 0.37 | 4 / 38 (11%) | 2 / 19 (11%) | 2 / 19 (11%) | 0.105 | 0.105 |
| 1.B.1.1.1 | The General Bacterial Porin (GBP) Family | 0.67 | 0.92 | 1 | 0.24 | 0.85 | 1 | 3e-04 | 3.9e-05 | 0 | 3.4e-05 | 0 | 9.7e-05 | 4.5e-05 | 0 | 0.00019 | 0.4 | 5 / 38 (13%) | 3 / 19 (16%) | 2 / 19 (11%) | 0.158 | 0.105 |
| 1.A.77.3.11 | The Mg2+/Ca2+ Uniporter (MCU) Family | 0.52 | 0.88 | 1 | 0.12 | 0.85 | 1 | 0.00037 | 3e-05 | 0 | 2.8e-05 | 0 | 0.00011 | 3.1e-05 | 0 | 0.00014 | 0.15 | 3 / 38 (7.9%) | 2 / 19 (11%) | 1 / 19 (5.3%) | 0.105 | 0.0526 |
| 3.A.1.2.2 | The ATP-binding Cassette (ABC) Superfamily | 0.69 | 0.92 | 1 | 0.29 | 0.85 | 1 | 0.00081 | 0.00011 | 0 | 9.2e-05 | 0 | 0.00033 | 0.00012 | 0 | 0.00051 | 0.38 | 5 / 38 (13%) | 3 / 19 (16%) | 2 / 19 (11%) | 0.158 | 0.105 |
| 3.A.2.1.1 | The H+- or Na+-translocating F-type. V-type and A-type ATPase (F-ATPase) Superfamily | 0.36 | 0.84 | 1 | 0.24 | 0.85 | 1 | 6e-04 | 0.00022 | 0 | 0.00023 | 0 | 9e-04 | 0.00021 | 0 | 0.00075 | -0.13 | 14 / 38 (37%) | 5 / 19 (26%) | 9 / 19 (47%) | 0.263 | 0.474 |
| 3.A.1.3.26 | The ATP-binding Cassette (ABC) Superfamily | 0.61 | 0.91 | 1 | 0.98 | 1 | 1 | 0.00076 | 0.00014 | 0 | 0.00012 | 0 | 0.00048 | 0.00016 | 0 | 0.00065 | 0.42 | 7 / 38 (18%) | 3 / 19 (16%) | 4 / 19 (21%) | 0.158 | 0.211 |
| 1.B.14.1.1 | The Outer Membrane Receptor (OMR) Family | 0.46 | 0.86 | 1 | 0.22 | 0.85 | 1 | 0.00057 | 7.5e-05 | 0 | 8.9e-05 | 0 | 0.00039 | 6.1e-05 | 0 | 0.00022 | -0.54 | 5 / 38 (13%) | 1 / 19 (5.3%) | 4 / 19 (21%) | 0.0526 | 0.211 |
| 2.A.7.26.1 | The Drug/Metabolite Transporter (DMT) Superfamily | 0.95 | 0.99 | 1 | 0.59 | 0.89 | 1 | 0.00017 | 1.8e-05 | 0 | 1.7e-05 | 0 | 5.2e-05 | 2e-05 | 0 | 8.1e-05 | 0.23 | 4 / 38 (11%) | 2 / 19 (11%) | 2 / 19 (11%) | 0.105 | 0.105 |
| 2.A.1.33.2 | The Major Facilitator Superfamily (MFS) | 0.38 | 0.84 | 1 | 0.4 | 0.87 | 1 | 0.00032 | 8.5e-05 | 0 | 0.00011 | 0 | 0.00027 | 5.9e-05 | 0 | 0.00014 | -0.9 | 10 / 38 (26%) | 6 / 19 (32%) | 4 / 19 (21%) | 0.316 | 0.211 |
| 1.A.23.4.5 | The Small Conductance Mechanosensitive Ion Channel (MscS) Family | 0.53 | 0.88 | 1 | 0.73 | 0.94 | 1 | 0.00023 | 5.5e-05 | 0 | 4.4e-05 | 0 | 0.00014 | 6.6e-05 | 0 | 0.00022 | 0.58 | 9 / 38 (24%) | 4 / 19 (21%) | 5 / 19 (26%) | 0.211 | 0.263 |
| 1.B.25.1.5 | The Outer Membrane Porin (Opr) Family | 0.24 | 0.81 | 1 | 0.22 | 0.85 | 1 | 0.00031 | 3.3e-05 | 0 | 3.2e-05 | 0 | 0.00014 | 3.4e-05 | 0 | 0.00011 | 0.087 | 4 / 38 (11%) | 1 / 19 (5.3%) | 3 / 19 (16%) | 0.0526 | 0.158 |
| 3.A.1.25.6 | The ATP-binding Cassette (ABC) Superfamily | 0.52 | 0.88 | 1 | 0.78 | 0.95 | 1 | 0.00064 | 0.00042 | 0.00015 | 3e-04 | 0.00022 | 0.00051 | 0.00054 | 0.00011 | 0.0012 | 0.85 | 25 / 38 (66%) | 12 / 19 (63%) | 13 / 19 (68%) | 0.632 | 0.684 |
| 3.A.1.129.1 | The ATP-binding Cassette (ABC) Superfamily | 0.55 | 0.89 | 1 | 0.14 | 0.85 | 1 | 0.00056 | 0.00012 | 0 | 0.00011 | 0 | 0.00042 | 0.00013 | 0 | 0.00049 | 0.24 | 8 / 38 (21%) | 5 / 19 (26%) | 3 / 19 (16%) | 0.263 | 0.158 |
| 2.A.1.2.60 | The Major Facilitator Superfamily (MFS) | 0.11 | 0.79 | 1 | 0.18 | 0.85 | 1 | 0.00021 | 4.5e-05 | 0 | 3.2e-05 | 0 | 0.00011 | 5.8e-05 | 0 | 0.00022 | 0.86 | 8 / 38 (21%) | 3 / 19 (16%) | 5 / 19 (26%) | 0.158 | 0.263 |
| 1.B.14.14.1 | The Outer Membrane Receptor (OMR) Family | 0.18 | 0.79 | 1 | 0.31 | 0.87 | 1 | 0.00013 | 1.4e-05 | 0 | 1.7e-06 | 0 | 7.6e-06 | 2.5e-05 | 0 | 8.4e-05 | 3.9 | 4 / 38 (11%) | 1 / 19 (5.3%) | 3 / 19 (16%) | 0.0526 | 0.158 |
| 9.B.226.1.8 | The Uncharacterized 9 or 10 TMS Protein (U-TMP) Family | 0.61 | 0.91 | 1 | 0.75 | 0.94 | 1 | 0.00097 | 0.00079 | 0.00044 | 0.00073 | 0.00044 | 0.00072 | 0.00085 | 0.00045 | 0.0014 | 0.22 | 31 / 38 (82%) | 15 / 19 (79%) | 16 / 19 (84%) | 0.789 | 0.842 |
| 9.B.22.1.8 | The Leukotoxin Secretion Morphogenesis Protein C (MorC) Family | 0.98 | 0.99 | 1 | 0.56 | 0.89 | 1 | 0.0013 | 0.00031 | 0 | 0.00029 | 0 | 0.00067 | 0.00033 | 0 | 0.00076 | 0.19 | 9 / 38 (24%) | 5 / 19 (26%) | 4 / 19 (21%) | 0.263 | 0.211 |
| 1.B.75.1.3 | The DUF481 Putative Beta Barrel Porin (DUF481) Family | 0.45 | 0.86 | 1 | 0.29 | 0.85 | 1 | 0.00026 | 3.4e-05 | 0 | 3.6e-05 | 0 | 0.00013 | 3.2e-05 | 0 | 0.00013 | -0.17 | 5 / 38 (13%) | 3 / 19 (16%) | 2 / 19 (11%) | 0.158 | 0.105 |
| 2.A.40.4.3 | The Nucleobase/Ascorbate Transporter (NAT) or Nucleobase:Cation Symporter-2 (NCS2) Family | 0.37 | 0.84 | 1 | 0.26 | 0.85 | 1 | 0.00028 | 3.7e-05 | 0 | 4.2e-05 | 0 | 0.00012 | 3.3e-05 | 0 | 0.00013 | -0.35 | 5 / 38 (13%) | 3 / 19 (16%) | 2 / 19 (11%) | 0.158 | 0.105 |
| 2.A.1.4.3 | The Major Facilitator Superfamily (MFS) | 0.27 | 0.83 | 1 | 0.23 | 0.85 | 1 | 0.00027 | 4.3e-05 | 0 | 5.3e-05 | 0 | 2e-04 | 3.4e-05 | 0 | 0.00013 | -0.64 | 6 / 38 (16%) | 3 / 19 (16%) | 3 / 19 (16%) | 0.158 | 0.158 |
| 5.A.3.1.1 | The Prokaryotic Molybdopterin-containing Oxidoreductase (PMO) Family | 0.71 | 0.92 | 1 | 0.57 | 0.89 | 1 | 0.00036 | 7.5e-05 | 0 | 8.7e-05 | 0 | 0.00034 | 6.4e-05 | 0 | 0.00022 | -0.44 | 8 / 38 (21%) | 3 / 19 (16%) | 5 / 19 (26%) | 0.158 | 0.263 |
| 9.B.174.1.2 | The Two Tunnel Gated C-terminal Processing Protease (CTP) Family | 0.36 | 0.84 | 1 | 0.38 | 0.87 | 1 | 5e-04 | 5.3e-05 | 0 | 6.7e-05 | 0 | 0.00026 | 3.9e-05 | 0 | 0.00016 | -0.78 | 4 / 38 (11%) | 2 / 19 (11%) | 2 / 19 (11%) | 0.105 | 0.105 |
| 2.A.17.1.2 | The Proton-dependent Oligopeptide Transporter (POT/PTR) Family | 0.49 | 0.86 | 1 | 0.093 | 0.85 | 1 | 0.00026 | 2.7e-05 | 0 | 2.3e-05 | 0 | 6.6e-05 | 3.1e-05 | 0 | 0.00014 | 0.43 | 4 / 38 (11%) | 3 / 19 (16%) | 1 / 19 (5.3%) | 0.158 | 0.0526 |
| 3.A.1.125.1 | The ATP-binding Cassette (ABC) Superfamily | 0.073 | 0.79 | 1 | 0.12 | 0.85 | 1 | 0.00043 | 0.00011 | 0 | 6e-05 | 0 | 0.00022 | 0.00017 | 0 | 0.00056 | 1.5 | 10 / 38 (26%) | 3 / 19 (16%) | 7 / 19 (37%) | 0.158 | 0.368 |
| 3.A.1.5.42 | The ATP-binding Cassette (ABC) Superfamily | 0.49 | 0.86 | 1 | 0.5 | 0.87 | 1 | 0.00033 | 7e-05 | 0 | 7.2e-05 | 0 | 0.00028 | 6.8e-05 | 0 | 0.00024 | -0.082 | 8 / 38 (21%) | 3 / 19 (16%) | 5 / 19 (26%) | 0.158 | 0.263 |
| 9.B.186.1.1 | The Putative Lipoprotein Supressor of a ts bamD mutant. YiaD (YiaD) Family | 0.13 | 0.79 | 1 | 0.076 | 0.85 | 1 | 0.00018 | 1.9e-05 | 0 | 2.6e-05 | 0 | 6.9e-05 | 1.2e-05 | 0 | 5.4e-05 | -1.1 | 4 / 38 (11%) | 3 / 19 (16%) | 1 / 19 (5.3%) | 0.158 | 0.0526 |
| 2.A.109.1.7 | The Tellurium Ion Resistance (TerC) Family | 0.89 | 0.98 | 1 | 0.43 | 0.87 | 1 | 0.00062 | 6.5e-05 | 0 | 8.6e-05 | 0 | 0.00037 | 4.5e-05 | 0 | 0.00016 | -0.93 | 4 / 38 (11%) | 1 / 19 (5.3%) | 3 / 19 (16%) | 0.0526 | 0.158 |
| 1.B.11.2.2 | The Outer Membrane Fimbrial Usher Porin (FUP) Family | 0.86 | 0.97 | 1 | 0.66 | 0.91 | 1 | 7.4e-05 | 7.8e-06 | 0 | 8.4e-06 | 0 | 2.5e-05 | 7.2e-06 | 0 | 2.8e-05 | -0.22 | 4 / 38 (11%) | 2 / 19 (11%) | 2 / 19 (11%) | 0.105 | 0.105 |
| 2.A.1.52.2 | The Major Facilitator Superfamily (MFS) | 0.079 | 0.79 | 1 | 0.23 | 0.85 | 1 | 0.00037 | 3.9e-05 | 0 | 2.5e-05 | 0 | 0.00011 | 5.3e-05 | 0 | 0.00022 | 1.1 | 4 / 38 (11%) | 1 / 19 (5.3%) | 3 / 19 (16%) | 0.0526 | 0.158 |
| 9.B.168.1.2 | The DUF3078 Putative Porin (DUF3078) Family | 0.99 | 1 | 1 | 0.89 | 0.98 | 1 | 7.5e-05 | 9.9e-06 | 0 | 8.3e-06 | 0 | 2.3e-05 | 1.1e-05 | 0 | 3.5e-05 | 0.41 | 5 / 38 (13%) | 3 / 19 (16%) | 2 / 19 (11%) | 0.158 | 0.105 |
| 2.A.8.1.3 | The Gluconate:H+ Symporter (GntP) Family | 0.64 | 0.92 | 1 | 0.57 | 0.89 | 1 | 0.00037 | 4.8e-05 | 0 | 5.1e-05 | 0 | 0.00022 | 4.5e-05 | 0 | 0.00016 | -0.18 | 5 / 38 (13%) | 2 / 19 (11%) | 3 / 19 (16%) | 0.105 | 0.158 |
| 2.C.1.4.3 | The TonB-ExbB-ExbD/TolA-TolQ-TolR Outer Membrane Receptor Energizers and Stabilizers (TonB/TolA) Family | 0.45 | 0.86 | 1 | 0.47 | 0.87 | 1 | 0.00019 | 2.5e-05 | 0 | 3.8e-05 | 0 | 0.00011 | 1.2e-05 | 0 | 3.7e-05 | -1.7 | 5 / 38 (13%) | 3 / 19 (16%) | 2 / 19 (11%) | 0.158 | 0.105 |
| 2.A.14.1.2 | The Lactate Permease (LctP) Family | 0.6 | 0.91 | 1 | 0.15 | 0.85 | 1 | 0.00065 | 5.2e-05 | 0 | 4.7e-05 | 0 | 0.00019 | 5.6e-05 | 0 | 0.00024 | 0.25 | 3 / 38 (7.9%) | 2 / 19 (11%) | 1 / 19 (5.3%) | 0.105 | 0.0526 |
| 2.A.21.3.21 | The Solute:Sodium Symporter (SSS) Family | 0.12 | 0.79 | 1 | 0.21 | 0.85 | 1 | 0.00085 | 8.9e-05 | 0 | 7.8e-05 | 0 | 0.00034 | 1e-04 | 0 | 4e-04 | 0.36 | 4 / 38 (11%) | 1 / 19 (5.3%) | 3 / 19 (16%) | 0.0526 | 0.158 |
| 8.A.1.7.1 | The Membrane Fusion Protein (MFP) Family | 0.081 | 0.79 | 1 | 0.31 | 0.87 | 1 | 0.00043 | 4.5e-05 | 0 | 3.2e-05 | 0 | 0.00014 | 5.8e-05 | 0 | 0.00024 | 0.86 | 4 / 38 (11%) | 1 / 19 (5.3%) | 3 / 19 (16%) | 0.0526 | 0.158 |
| 1.A.1.5.25 | The Voltage-gated Ion Channel (VIC) Superfamily | 0.12 | 0.79 | 1 | 0.044 | 0.85 | 1 | 0.00068 | 5e-04 | 0.00039 | 0.00051 | 0.00044 | 0.00045 | 0.00049 | 0.00038 | 0.00068 | -0.058 | 28 / 38 (74%) | 15 / 19 (79%) | 13 / 19 (68%) | 0.789 | 0.684 |
| 1.B.6.1.21 | The OmpA-OmpF Porin (OOP) Family | 0.17 | 0.79 | 1 | 0.41 | 0.87 | 1 | 0.00036 | 2.8e-05 | 0 | 2.1e-05 | 0 | 9.3e-05 | 3.5e-05 | 0 | 0.00014 | 0.74 | 3 / 38 (7.9%) | 1 / 19 (5.3%) | 2 / 19 (11%) | 0.0526 | 0.105 |
| 3.A.1.1.3 | The ATP-binding Cassette (ABC) Superfamily | 0.63 | 0.92 | 1 | 0.94 | 0.99 | 1 | 0.00029 | 3.8e-05 | 0 | 5.3e-05 | 0 | 0.00022 | 2.4e-05 | 0 | 8.1e-05 | -1.1 | 5 / 38 (13%) | 2 / 19 (11%) | 3 / 19 (16%) | 0.105 | 0.158 |
| 1.B.76.1.8 | The Copper Resistance Putative Porin (CopB) Family | 0.096 | 0.79 | 1 | 0.18 | 0.85 | 1 | 6e-04 | 6.4e-05 | 0 | 3.6e-05 | 0 | 0.00016 | 9.2e-05 | 0 | 0.00038 | 1.4 | 4 / 38 (11%) | 1 / 19 (5.3%) | 3 / 19 (16%) | 0.0526 | 0.158 |
| 2.A.8.1.7 | The Gluconate:H+ Symporter (GntP) Family | 0.32 | 0.83 | 1 | 0.46 | 0.87 | 1 | 0.00047 | 6.2e-05 | 0 | 5.5e-05 | 0 | 0.00023 | 7e-05 | 0 | 0.00027 | 0.35 | 5 / 38 (13%) | 2 / 19 (11%) | 3 / 19 (16%) | 0.105 | 0.158 |
| 2.A.64.1.1 | The Twin Arginine Targeting (Tat) Family | 0.74 | 0.93 | 1 | 0.71 | 0.93 | 1 | 0.00062 | 8.2e-05 | 0 | 8.7e-05 | 0 | 0.00033 | 7.7e-05 | 0 | 0.00032 | -0.18 | 5 / 38 (13%) | 2 / 19 (11%) | 3 / 19 (16%) | 0.105 | 0.158 |
| 3.A.1.27.3 | The ATP-binding Cassette (ABC) Superfamily | 0.35 | 0.84 | 1 | 0.27 | 0.85 | 1 | 0.00077 | 2e-04 | 0 | 0.00017 | 0 | 0.00065 | 0.00023 | 0 | 0.00083 | 0.44 | 10 / 38 (26%) | 3 / 19 (16%) | 7 / 19 (37%) | 0.158 | 0.368 |
| 2.A.47.3.2 | The Divalent Anion:Na+ Symporter (DASS) Family | 0.49 | 0.86 | 1 | 0.8 | 0.96 | 1 | 0.00036 | 6.6e-05 | 0 | 4.2e-05 | 0 | 0.00013 | 8.9e-05 | 0 | 0.00033 | 1.1 | 7 / 38 (18%) | 3 / 19 (16%) | 4 / 19 (21%) | 0.158 | 0.211 |
| 9.B.118.1.1 | The 11 or 12 TMS YhfT (YhfT) Family | 0.4 | 0.84 | 1 | 0.63 | 0.9 | 1 | 0.00036 | 6.5e-05 | 0 | 4.8e-05 | 0 | 0.00017 | 8.3e-05 | 0 | 0.00027 | 0.79 | 7 / 38 (18%) | 3 / 19 (16%) | 4 / 19 (21%) | 0.158 | 0.211 |
| 4.A.6.1.7 | The PTS Mannose-Fructose-Sorbose (Man) Family | 1 | 1 | 1 | 0.42 | 0.87 | 1 | 0.00038 | 0.00026 | 0.00011 | 2e-04 | 0.00011 | 0.00023 | 0.00031 | 8.5e-05 | 0.00065 | 0.63 | 26 / 38 (68%) | 15 / 19 (79%) | 11 / 19 (58%) | 0.789 | 0.579 |
| 2.A.1.7.18 | The Major Facilitator Superfamily (MFS) | 0.38 | 0.84 | 1 | 0.4 | 0.87 | 1 | 0.00022 | 1e-04 | 0 | 0.00013 | 2.7e-05 | 0.00025 | 7.4e-05 | 0 | 0.00012 | -0.81 | 17 / 38 (45%) | 10 / 19 (53%) | 7 / 19 (37%) | 0.526 | 0.368 |
| 2.A.8.1.4 | The Gluconate:H+ Symporter (GntP) Family | 0.097 | 0.79 | 1 | 0.043 | 0.85 | 1 | 3e-04 | 5.5e-05 | 0 | 6.6e-05 | 0 | 0.00019 | 4.5e-05 | 0 | 0.00019 | -0.55 | 7 / 38 (18%) | 5 / 19 (26%) | 2 / 19 (11%) | 0.263 | 0.105 |
| 2.A.69.4.6 | The Auxin Efflux Carrier (AEC) Family | 0.68 | 0.92 | 1 | 0.8 | 0.96 | 1 | 0.00098 | 8e-04 | 0.00057 | 0.00077 | 0.00066 | 0.00074 | 0.00083 | 0.00052 | 0.0011 | 0.11 | 31 / 38 (82%) | 15 / 19 (79%) | 16 / 19 (84%) | 0.789 | 0.842 |
| 2.A.102.3.1 | The 4-Toluene Sulfonate Uptake Permease (TSUP) Family | 0.73 | 0.92 | 1 | 0.86 | 0.97 | 1 | 8.2e-05 | 1.1e-05 | 0 | 1.2e-05 | 0 | 4.7e-05 | 9.4e-06 | 0 | 2.8e-05 | -0.35 | 5 / 38 (13%) | 2 / 19 (11%) | 3 / 19 (16%) | 0.105 | 0.158 |
| 2.A.8.1.8 | The Gluconate:H+ Symporter (GntP) Family | 0.15 | 0.79 | 1 | 0.55 | 0.89 | 1 | 0.00044 | 3.5e-05 | 0 | 2.5e-05 | 0 | 0.00011 | 4.5e-05 | 0 | 0.00019 | 0.85 | 3 / 38 (7.9%) | 1 / 19 (5.3%) | 2 / 19 (11%) | 0.0526 | 0.105 |
| 9.B.121.1.1 | The AsmA (AsmA) Family | 0.2 | 0.79 | 1 | 0.28 | 0.85 | 1 | 0.00043 | 8e-05 | 0 | 6.5e-05 | 0 | 0.00026 | 9.4e-05 | 0 | 3e-04 | 0.53 | 7 / 38 (18%) | 2 / 19 (11%) | 5 / 19 (26%) | 0.105 | 0.263 |
| 3.A.1.23.1 | The ATP-binding Cassette (ABC) Superfamily | 0.21 | 0.79 | 1 | 0.35 | 0.87 | 1 | 0.00049 | 0.00027 | 3.1e-05 | 0.00015 | 2.9e-05 | 0.00022 | 4e-04 | 0.00011 | 0.00083 | 1.4 | 21 / 38 (55%) | 10 / 19 (53%) | 11 / 19 (58%) | 0.526 | 0.579 |
| 4.B.1.1.1 | The Nicotinamide Ribonucleoside (NR) Uptake Permease (PnuC) Family | 0.44 | 0.86 | 1 | 0.91 | 0.99 | 1 | 0.00054 | 7.1e-05 | 0 | 4.5e-05 | 0 | 0.00017 | 9.6e-05 | 0 | 4e-04 | 1.1 | 5 / 38 (13%) | 2 / 19 (11%) | 3 / 19 (16%) | 0.105 | 0.158 |
| 9.B.157.1.3 | The Cell Shape-determining MreBCD (MreBCD) Family | 0.47 | 0.86 | 1 | 0.7 | 0.92 | 1 | 0.00048 | 8.9e-05 | 0 | 7.3e-05 | 0 | 0.00028 | 0.00011 | 0 | 4e-04 | 0.59 | 7 / 38 (18%) | 3 / 19 (16%) | 4 / 19 (21%) | 0.158 | 0.211 |
| 1.B.35.2.1 | The Oligogalacturonate-specific Porin (KdgM) Family | 0.22 | 0.79 | 1 | 0.36 | 0.87 | 1 | 0.00051 | 4e-05 | 0 | 1.8e-05 | 0 | 7.8e-05 | 6.3e-05 | 0 | 0.00027 | 1.8 | 3 / 38 (7.9%) | 1 / 19 (5.3%) | 2 / 19 (11%) | 0.0526 | 0.105 |
| 2.A.1.57.3 | The Major Facilitator Superfamily (MFS) | 0.44 | 0.86 | 1 | 0.8 | 0.96 | 1 | 0.00059 | 6.2e-05 | 0 | 4.3e-05 | 0 | 0.00017 | 8.1e-05 | 0 | 0.00026 | 0.91 | 4 / 38 (11%) | 2 / 19 (11%) | 2 / 19 (11%) | 0.105 | 0.105 |
| 3.D.11.1.1 | The Periplasmic Nitrate Reductase Complex (NAP) Complex Family | 0.11 | 0.79 | 1 | 0.21 | 0.85 | 1 | 0.00094 | 0.00017 | 0 | 0.00014 | 0 | 0.00059 | 0.00021 | 0 | 0.00078 | 0.58 | 7 / 38 (18%) | 2 / 19 (11%) | 5 / 19 (26%) | 0.105 | 0.263 |
| 2.A.40.3.3 | The Nucleobase/Ascorbate Transporter (NAT) or Nucleobase:Cation Symporter-2 (NCS2) Family | 0.49 | 0.86 | 1 | 0.42 | 0.87 | 1 | 0.00053 | 6.9e-05 | 0 | 7.6e-05 | 0 | 0.00028 | 6.2e-05 | 0 | 0.00024 | -0.29 | 5 / 38 (13%) | 3 / 19 (16%) | 2 / 19 (11%) | 0.158 | 0.105 |
| 1.B.33.1.3 | The Outer Membrane Protein Insertion Porin (Bam Complex) (OmpIP) Family | 0.8 | 0.95 | 1 | 0.66 | 0.91 | 1 | 0.00064 | 0.00023 | 0 | 0.00024 | 0 | 9e-04 | 0.00023 | 0 | 0.00091 | -0.061 | 14 / 38 (37%) | 7 / 19 (37%) | 7 / 19 (37%) | 0.368 | 0.368 |
| 3.A.1.17.1 | The ATP-binding Cassette (ABC) Superfamily | 0.45 | 0.86 | 1 | 0.98 | 1 | 1 | 0.00052 | 6.8e-05 | 0 | 2.9e-05 | 0 | 9.5e-05 | 0.00011 | 0 | 0.00041 | 1.9 | 5 / 38 (13%) | 3 / 19 (16%) | 2 / 19 (11%) | 0.158 | 0.105 |
| 2.A.21.1.1 | The Solute:Sodium Symporter (SSS) Family | 0.95 | 0.99 | 1 | 0.73 | 0.93 | 1 | 6.6e-05 | 6.9e-06 | 0 | 6.7e-06 | 0 | 2e-05 | 7.2e-06 | 0 | 2.8e-05 | 0.1 | 4 / 38 (11%) | 2 / 19 (11%) | 2 / 19 (11%) | 0.105 | 0.105 |
| 4.A.6.1.5 | The PTS Mannose-Fructose-Sorbose (Man) Family | 0.83 | 0.96 | 1 | 0.96 | 1 | 1 | 0.00058 | 7.7e-05 | 0 | 8.9e-05 | 0 | 0.00037 | 6.5e-05 | 0 | 0.00027 | -0.45 | 5 / 38 (13%) | 2 / 19 (11%) | 3 / 19 (16%) | 0.105 | 0.158 |
| 2.A.7.3.22 | The Drug/Metabolite Transporter (DMT) Superfamily | 0.79 | 0.95 | 1 | 0.98 | 1 | 1 | 0.00038 | 3e-05 | 0 | 3.9e-05 | 0 | 0.00017 | 2e-05 | 0 | 8.1e-05 | -0.96 | 3 / 38 (7.9%) | 1 / 19 (5.3%) | 2 / 19 (11%) | 0.0526 | 0.105 |
| 2.A.42.2.1 | The Hydroxy/Aromatic Amino Acid Permease (HAAAP) Family | 0.49 | 0.86 | 1 | 0.85 | 0.97 | 1 | 0.00079 | 8.4e-05 | 0 | 4.2e-05 | 0 | 0.00016 | 0.00013 | 0 | 0.00054 | 1.6 | 4 / 38 (11%) | 2 / 19 (11%) | 2 / 19 (11%) | 0.105 | 0.105 |
| 2.A.6.2.1 | The Resistance-Nodulation-Cell Division (RND) Superfamily | 0.057 | 0.79 | 1 | 0.07 | 0.85 | 1 | 0.00056 | 0.00015 | 0 | 0.00013 | 0 | 0.00053 | 0.00016 | 0 | 0.00056 | 0.3 | 10 / 38 (26%) | 3 / 19 (16%) | 7 / 19 (37%) | 0.158 | 0.368 |
| 1.B.55.3.1 | The Poly Acetyl Glucosamine Porin (PgaA) Family | 0.35 | 0.84 | 1 | 0.61 | 0.9 | 1 | 0.00071 | 0.00013 | 0 | 0.00011 | 0 | 0.00042 | 0.00015 | 0 | 0.00059 | 0.45 | 7 / 38 (18%) | 3 / 19 (16%) | 4 / 19 (21%) | 0.158 | 0.211 |
| 2.A.58.2.1 | The Phosphate:Na+ Symporter (PNaS) Family | 0.59 | 0.9 | 1 | 0.55 | 0.89 | 1 | 0.00038 | 6e-05 | 0 | 6.4e-05 | 0 | 0.00026 | 5.6e-05 | 0 | 0.00022 | -0.19 | 6 / 38 (16%) | 2 / 19 (11%) | 4 / 19 (21%) | 0.105 | 0.211 |
| 9.B.124.2.2 | The DUF805 or PF05656 (DUF805) Family | 0.85 | 0.97 | 1 | 0.13 | 0.85 | 1 | 0.00034 | 2.7e-05 | 0 | 2.3e-05 | 0 | 9.3e-05 | 3.1e-05 | 0 | 0.00014 | 0.43 | 3 / 38 (7.9%) | 2 / 19 (11%) | 1 / 19 (5.3%) | 0.105 | 0.0526 |
| 1.B.14.1.4 | The Outer Membrane Receptor (OMR) Family | 0.66 | 0.92 | 1 | 0.96 | 1 | 1 | 0.00047 | 7.5e-05 | 0 | 5.9e-05 | 0 | 0.00022 | 9.1e-05 | 0 | 0.00035 | 0.63 | 6 / 38 (16%) | 3 / 19 (16%) | 3 / 19 (16%) | 0.158 | 0.158 |
| 2.A.27.1.1 | The Glutamate:Na+ Symporter (ESS) Family | 0.26 | 0.82 | 1 | 0.26 | 0.85 | 1 | 0.00035 | 5.5e-05 | 0 | 7.7e-05 | 0 | 0.00029 | 3.3e-05 | 0 | 0.00013 | -1.2 | 6 / 38 (16%) | 3 / 19 (16%) | 3 / 19 (16%) | 0.158 | 0.158 |
| 2.A.1.2.62 | The Major Facilitator Superfamily (MFS) | 0.18 | 0.79 | 1 | 0.47 | 0.87 | 1 | 0.00074 | 5.8e-05 | 0 | 5e-05 | 0 | 0.00022 | 6.6e-05 | 0 | 0.00027 | 0.4 | 3 / 38 (7.9%) | 1 / 19 (5.3%) | 2 / 19 (11%) | 0.0526 | 0.105 |
| 9.B.75.2.1 | The Ethanol Utilization/Transport (Eut) Protein Family | 0.91 | 0.99 | 1 | 0.8 | 0.96 | 1 | 0.00021 | 2.2e-05 | 0 | 2.5e-05 | 0 | 9.3e-05 | 1.9e-05 | 0 | 5.9e-05 | -0.4 | 4 / 38 (11%) | 2 / 19 (11%) | 2 / 19 (11%) | 0.105 | 0.105 |
| 3.A.1.15.5 | The ATP-binding Cassette (ABC) Superfamily | 0.57 | 0.9 | 1 | 0.17 | 0.85 | 1 | 0.00061 | 8e-05 | 0 | 7.3e-05 | 0 | 0.00028 | 8.8e-05 | 0 | 0.00038 | 0.27 | 5 / 38 (13%) | 3 / 19 (16%) | 2 / 19 (11%) | 0.158 | 0.105 |
| 8.A.3.2.3 | The Cytoplasmic Membrane-Periplasmic Auxiliary-1 (MPA1) Protein with Cytoplasmic (C) Domain (MPA1-C or MPA1+C) Family | 0.97 | 0.99 | 1 | 0.66 | 0.91 | 1 | 0.00019 | 6.9e-05 | 0 | 5.7e-05 | 0 | 9.2e-05 | 8.1e-05 | 0 | 0.00017 | 0.51 | 14 / 38 (37%) | 8 / 19 (42%) | 6 / 19 (32%) | 0.421 | 0.316 |
| 3.A.1.2.17 | The ATP-binding Cassette (ABC) Superfamily | 0.55 | 0.89 | 1 | 0.8 | 0.96 | 1 | 0.00018 | 2.8e-05 | 0 | 1.3e-05 | 0 | 3.6e-05 | 4.3e-05 | 0 | 0.00015 | 1.7 | 6 / 38 (16%) | 3 / 19 (16%) | 3 / 19 (16%) | 0.158 | 0.158 |
| 3.A.1.2.3 | The ATP-binding Cassette (ABC) Superfamily | 0.11 | 0.79 | 1 | 0.21 | 0.85 | 1 | 0.00065 | 0.00014 | 0 | 9.1e-05 | 0 | 0.00037 | 0.00018 | 0 | 0.00073 | 0.98 | 8 / 38 (21%) | 3 / 19 (16%) | 5 / 19 (26%) | 0.158 | 0.263 |
| 2.A.3.2.8 | The Amino Acid-Polyamine-Organocation (APC) Family | 0.18 | 0.79 | 1 | 0.12 | 0.85 | 1 | 0.00045 | 4.7e-05 | 0 | 5.1e-05 | 0 | 0.00019 | 4.3e-05 | 0 | 0.00019 | -0.25 | 4 / 38 (11%) | 3 / 19 (16%) | 1 / 19 (5.3%) | 0.158 | 0.0526 |
| 4.D.2.4.3 | The Glycosyl Transferase 2 (GT2) Family | 0.96 | 0.99 | 1 | 0.98 | 1 | 1 | 0.00024 | 3.2e-05 | 0 | 3.7e-05 | 0 | 0.00012 | 2.6e-05 | 0 | 8.3e-05 | -0.51 | 5 / 38 (13%) | 2 / 19 (11%) | 3 / 19 (16%) | 0.105 | 0.158 |
| 5.A.3.2.1 | The Prokaryotic Molybdopterin-containing Oxidoreductase (PMO) Family | 0.91 | 0.98 | 1 | 0.87 | 0.98 | 1 | 0.00037 | 3.9e-05 | 0 | 4.5e-05 | 0 | 0.00017 | 3.3e-05 | 0 | 1e-04 | -0.45 | 4 / 38 (11%) | 2 / 19 (11%) | 2 / 19 (11%) | 0.105 | 0.105 |
| 1.B.14.6.13 | The Outer Membrane Receptor (OMR) Family | 0.21 | 0.79 | 1 | 0.39 | 0.87 | 1 | 9.3e-05 | 7.4e-06 | 0 | 1.6e-06 | 0 | 7.1e-06 | 1.3e-05 | 0 | 4.1e-05 | 3 | 3 / 38 (7.9%) | 1 / 19 (5.3%) | 2 / 19 (11%) | 0.0526 | 0.105 |
| 2.A.42.1.2 | The Hydroxy/Aromatic Amino Acid Permease (HAAAP) Family | 0.52 | 0.88 | 1 | 0.95 | 0.99 | 1 | 7e-04 | 7.4e-05 | 0 | 6e-05 | 0 | 0.00025 | 8.7e-05 | 0 | 0.00035 | 0.54 | 4 / 38 (11%) | 2 / 19 (11%) | 2 / 19 (11%) | 0.105 | 0.105 |
| 2.A.8.1.5 | The Gluconate:H+ Symporter (GntP) Family | 0.25 | 0.81 | 1 | 0.21 | 0.85 | 1 | 0.00049 | 3.9e-05 | 0 | 4.1e-05 | 0 | 0.00017 | 3.7e-05 | 0 | 0.00016 | -0.15 | 3 / 38 (7.9%) | 2 / 19 (11%) | 1 / 19 (5.3%) | 0.105 | 0.0526 |
| 2.A.17.1.4 | The Proton-dependent Oligopeptide Transporter (POT/PTR) Family | 0.15 | 0.79 | 1 | 0.061 | 0.85 | 1 | 0.00032 | 5.9e-05 | 0 | 1e-04 | 0 | 4e-04 | 1.5e-05 | 0 | 5.4e-05 | -2.7 | 7 / 38 (18%) | 4 / 19 (21%) | 3 / 19 (16%) | 0.211 | 0.158 |
| 2.A.115.2.9 | The Novobiocin Exporter (NbcE) Family | 0.3 | 0.83 | 1 | 0.14 | 0.85 | 1 | 0.00031 | 5.6e-05 | 0 | 7.7e-05 | 0 | 0.00022 | 3.5e-05 | 0 | 0.00011 | -1.1 | 7 / 38 (18%) | 4 / 19 (21%) | 3 / 19 (16%) | 0.211 | 0.158 |
| 1.B.23.1.16 | The Cyanobacterial Porin (CBP) Family | 0.61 | 0.91 | 1 | 0.94 | 0.99 | 1 | 0.00047 | 8.6e-05 | 0 | 5.4e-05 | 0 | 0.00015 | 0.00012 | 0 | 0.00033 | 1.2 | 7 / 38 (18%) | 4 / 19 (21%) | 3 / 19 (16%) | 0.211 | 0.158 |
| 2.A.7.3.57 | The Drug/Metabolite Transporter (DMT) Superfamily | 0.22 | 0.79 | 1 | 0.28 | 0.85 | 1 | 0.00029 | 6.1e-05 | 0 | 9.7e-05 | 0 | 3e-04 | 2.4e-05 | 0 | 5.7e-05 | -2 | 8 / 38 (21%) | 5 / 19 (26%) | 3 / 19 (16%) | 0.263 | 0.158 |
| 4.A.2.1.1 | The PTS Fructose-Mannitol (Fru) Family | 0.15 | 0.79 | 1 | 0.39 | 0.87 | 1 | 0.0013 | 0.00011 | 0 | 7.5e-05 | 0 | 0.00033 | 0.00014 | 0 | 0.00057 | 0.9 | 3 / 38 (7.9%) | 1 / 19 (5.3%) | 2 / 19 (11%) | 0.0526 | 0.105 |
| 2.A.1.6.4 | The Major Facilitator Superfamily (MFS) | 0.43 | 0.86 | 1 | 0.66 | 0.91 | 1 | 0.00036 | 6.6e-05 | 0 | 5.9e-05 | 0 | 0.00018 | 7.4e-05 | 0 | 0.00025 | 0.33 | 7 / 38 (18%) | 3 / 19 (16%) | 4 / 19 (21%) | 0.158 | 0.211 |
| 9.B.27.2.2 | The DedA or YdjX-Z (DedA) Family | 0.18 | 0.79 | 1 | 0.058 | 0.85 | 1 | 0.00021 | 1.7e-05 | 0 | 2.1e-05 | 0 | 7.8e-05 | 1.2e-05 | 0 | 5.4e-05 | -0.81 | 3 / 38 (7.9%) | 2 / 19 (11%) | 1 / 19 (5.3%) | 0.105 | 0.0526 |
| 1.B.10.1.1 | The Nucleoside-specific Channel-forming Outer Membrane Porin (Tsx) Family | 0.67 | 0.92 | 1 | 0.67 | 0.92 | 1 | 0.00018 | 2.8e-05 | 0 | 3.6e-05 | 0 | 0.00013 | 2e-05 | 0 | 5.9e-05 | -0.85 | 6 / 38 (16%) | 3 / 19 (16%) | 3 / 19 (16%) | 0.158 | 0.158 |
| 1.B.3.1.3 | The Sugar Porin (SP) Family | 0.052 | 0.79 | 1 | 0.13 | 0.85 | 1 | 0.00077 | 1e-04 | 0 | 8.6e-05 | 0 | 0.00037 | 0.00012 | 0 | 0.00046 | 0.48 | 5 / 38 (13%) | 1 / 19 (5.3%) | 4 / 19 (21%) | 0.0526 | 0.211 |
| 2.A.1.12.1 | The Major Facilitator Superfamily (MFS) | 0.34 | 0.84 | 1 | 0.41 | 0.87 | 1 | 0.00065 | 5.1e-05 | 0 | 4.6e-05 | 0 | 2e-04 | 5.6e-05 | 0 | 0.00019 | 0.28 | 3 / 38 (7.9%) | 1 / 19 (5.3%) | 2 / 19 (11%) | 0.0526 | 0.105 |
| 1.E.19.1.2 | The Clostridium difficile TcdE Holin (TcdE Holin) Family | 0.15 | 0.79 | 1 | 0.48 | 0.87 | 1 | 0.00016 | 1.3e-05 | 0 | 7.5e-06 | 0 | 3.3e-05 | 1.8e-05 | 0 | 7.2e-05 | 1.3 | 3 / 38 (7.9%) | 1 / 19 (5.3%) | 2 / 19 (11%) | 0.0526 | 0.105 |
| 1.B.14.7.1 | The Outer Membrane Receptor (OMR) Family | 0.82 | 0.96 | 1 | 0.85 | 0.97 | 1 | 0.00074 | 0.00016 | 0 | 0.00017 | 0 | 0.00067 | 0.00014 | 0 | 0.00054 | -0.28 | 8 / 38 (21%) | 4 / 19 (21%) | 4 / 19 (21%) | 0.211 | 0.211 |
| 4.A.5.1.3 | The PTS Galactitol (Gat) Family | 0.15 | 0.79 | 1 | 0.34 | 0.87 | 1 | 0.0015 | 0.00012 | 0 | 8.6e-05 | 0 | 0.00037 | 0.00016 | 0 | 0.00065 | 0.9 | 3 / 38 (7.9%) | 1 / 19 (5.3%) | 2 / 19 (11%) | 0.0526 | 0.105 |
| 9.B.14.1.17 | The Putative Heme Handling Protein (HHP) Family | 0.47 | 0.86 | 1 | 0.92 | 0.99 | 1 | 0.00056 | 0.00026 | 0 | 0.00016 | 3.3e-05 | 0.00044 | 0.00037 | 0 | 0.00078 | 1.2 | 18 / 38 (47%) | 10 / 19 (53%) | 8 / 19 (42%) | 0.526 | 0.421 |
| 4.C.1.1.6 | The Fatty Acid Transporter (FAT) Family | 0.7 | 0.92 | 1 | 0.67 | 0.92 | 1 | 0.00029 | 4.5e-05 | 0 | 4.9e-05 | 0 | 0.00019 | 4.2e-05 | 0 | 0.00014 | -0.22 | 6 / 38 (16%) | 2 / 19 (11%) | 4 / 19 (21%) | 0.105 | 0.211 |
| 3.A.1.121.6 | The ATP-binding Cassette (ABC) Superfamily | 0.86 | 0.97 | 1 | 0.83 | 0.97 | 1 | 0.00021 | 8.7e-05 | 0 | 8.8e-05 | 0 | 0.00018 | 8.5e-05 | 0 | 0.00014 | -0.05 | 16 / 38 (42%) | 8 / 19 (42%) | 8 / 19 (42%) | 0.421 | 0.421 |
| 2.A.7.3.26 | The Drug/Metabolite Transporter (DMT) Superfamily | 0.75 | 0.93 | 1 | 0.97 | 1 | 1 | 0.00024 | 3.1e-05 | 0 | 4.4e-05 | 0 | 0.00019 | 1.8e-05 | 0 | 5.6e-05 | -1.3 | 5 / 38 (13%) | 2 / 19 (11%) | 3 / 19 (16%) | 0.105 | 0.158 |
| 2.A.1.10.3 | The Major Facilitator Superfamily (MFS) | 0.14 | 0.79 | 1 | 0.11 | 0.85 | 1 | 2e-04 | 3.6e-05 | 0 | 3e-05 | 0 | 0.00012 | 4.2e-05 | 0 | 0.00012 | 0.49 | 7 / 38 (18%) | 2 / 19 (11%) | 5 / 19 (26%) | 0.105 | 0.263 |
| 2.A.86.1.2 | The Autoinducer-2 Exporter (AI-2E) Family (Formerly the PerM Family. TC #9.B.22) | 0.38 | 0.84 | 1 | 0.5 | 0.87 | 1 | 0.00059 | 4.6e-05 | 0 | 4.6e-05 | 0 | 2e-04 | 4.6e-05 | 0 | 0.00019 | 0 | 3 / 38 (7.9%) | 1 / 19 (5.3%) | 2 / 19 (11%) | 0.0526 | 0.105 |
| 1.B.25.1.13 | The Outer Membrane Porin (Opr) Family | 0.47 | 0.86 | 1 | 0.1 | 0.85 | 1 | 0.00031 | 3.3e-05 | 0 | 2.9e-05 | 0 | 9.5e-05 | 3.7e-05 | 0 | 0.00016 | 0.35 | 4 / 38 (11%) | 3 / 19 (16%) | 1 / 19 (5.3%) | 0.158 | 0.0526 |
| 1.B.14.9.5 | The Outer Membrane Receptor (OMR) Family | 0.13 | 0.79 | 1 | 0.27 | 0.85 | 1 | 0.00032 | 5.1e-05 | 0 | 3.7e-05 | 0 | 0.00016 | 6.5e-05 | 0 | 0.00024 | 0.81 | 6 / 38 (16%) | 2 / 19 (11%) | 4 / 19 (21%) | 0.105 | 0.211 |
| 9.B.223.1.4 | The 4 TMS DUF2979 or YoaS (YoaS) Family | 0.64 | 0.92 | 1 | 0.8 | 0.96 | 1 | 0.00024 | 8e-05 | 0 | 6.4e-05 | 0 | 0.00016 | 9.7e-05 | 0 | 0.00019 | 0.6 | 13 / 38 (34%) | 7 / 19 (37%) | 6 / 19 (32%) | 0.368 | 0.316 |
| 2.A.1.4.1 | The Major Facilitator Superfamily (MFS) | 0.48 | 0.86 | 1 | 0.98 | 1 | 1 | 5e-04 | 5.3e-05 | 0 | 2.7e-05 | 0 | 9.5e-05 | 7.9e-05 | 0 | 0.00032 | 1.5 | 4 / 38 (11%) | 2 / 19 (11%) | 2 / 19 (11%) | 0.105 | 0.105 |
| 2.A.1.3.37 | The Major Facilitator Superfamily (MFS) | 0.45 | 0.86 | 1 | 0.61 | 0.9 | 1 | 0.00022 | 1.7e-05 | 0 | 7.5e-06 | 0 | 3.3e-05 | 2.7e-05 | 0 | 9.1e-05 | 1.8 | 3 / 38 (7.9%) | 1 / 19 (5.3%) | 2 / 19 (11%) | 0.0526 | 0.105 |
| 2.A.21.2.1 | The Solute:Sodium Symporter (SSS) Family | 0.17 | 0.79 | 1 | 0.34 | 0.87 | 1 | 0.00024 | 4.3e-05 | 0 | 2.8e-05 | 0 | 0.00011 | 5.9e-05 | 0 | 0.00019 | 1.1 | 7 / 38 (18%) | 3 / 19 (16%) | 4 / 19 (21%) | 0.158 | 0.211 |
| 3.D.2.1.1 | The Proton-translocating Transhydrogenase (PTH) Family | 0.1 | 0.79 | 1 | 0.099 | 0.85 | 1 | 0.00033 | 6.9e-05 | 0 | 8.9e-05 | 0 | 0.00028 | 4.8e-05 | 0 | 0.00019 | -0.89 | 8 / 38 (21%) | 5 / 19 (26%) | 3 / 19 (16%) | 0.263 | 0.158 |
| 2.A.1.26.1 | The Major Facilitator Superfamily (MFS) | 0.51 | 0.88 | 1 | 0.62 | 0.9 | 1 | 0.00022 | 2.9e-05 | 0 | 2.5e-05 | 0 | 9.3e-05 | 3.3e-05 | 0 | 9.5e-05 | 0.4 | 5 / 38 (13%) | 2 / 19 (11%) | 3 / 19 (16%) | 0.105 | 0.158 |
| 9.B.125.1.1 | The AmpE/CobD (AmpE/CobD) Family | 0.062 | 0.79 | 1 | 0.083 | 0.85 | 1 | 0.00045 | 6e-05 | 0 | 2.1e-05 | 0 | 9.3e-05 | 9.8e-05 | 0 | 0.00038 | 2.2 | 5 / 38 (13%) | 1 / 19 (5.3%) | 4 / 19 (21%) | 0.0526 | 0.211 |
| 9.B.126.1.2 | The Putative Lipid IV Exporter (YhjD) Family | 0.96 | 0.99 | 1 | 0.83 | 0.97 | 1 | 0.00068 | 0.00052 | 0.00034 | 0.00046 | 0.00034 | 5e-04 | 0.00057 | 0.00029 | 0.00077 | 0.31 | 29 / 38 (76%) | 14 / 19 (74%) | 15 / 19 (79%) | 0.737 | 0.789 |
| 1.B.44.2.9 | The Probable Protein Translocating Porphyromonas gingivalis Porin (PorT) Family | 0.2 | 0.79 | 1 | 0.37 | 0.87 | 1 | 9.8e-05 | 1.3e-05 | 0 | 7.9e-06 | 0 | 2.9e-05 | 1.8e-05 | 0 | 4.3e-05 | 1.2 | 5 / 38 (13%) | 2 / 19 (11%) | 3 / 19 (16%) | 0.105 | 0.158 |
| 3.A.1.12.15 | The ATP-binding Cassette (ABC) Superfamily | 0.96 | 0.99 | 1 | 0.68 | 0.92 | 1 | 3e-04 | 6.3e-05 | 0 | 5.4e-05 | 0 | 0.00017 | 7.3e-05 | 0 | 0.00027 | 0.43 | 8 / 38 (21%) | 4 / 19 (21%) | 4 / 19 (21%) | 0.211 | 0.211 |
| 2.A.3.2.1 | The Amino Acid-Polyamine-Organocation (APC) Family | 0.29 | 0.83 | 1 | 0.29 | 0.85 | 1 | 0.00036 | 3.8e-05 | 0 | 3.9e-05 | 0 | 0.00017 | 3.7e-05 | 0 | 0.00014 | -0.076 | 4 / 38 (11%) | 1 / 19 (5.3%) | 3 / 19 (16%) | 0.0526 | 0.158 |
| 3.A.3.7.1 | The P-type ATPase (P-ATPase) Superfamily | 0.8 | 0.95 | 1 | 0.6 | 0.9 | 1 | 0.00036 | 6.6e-05 | 0 | 6.5e-05 | 0 | 0.00022 | 6.6e-05 | 0 | 0.00027 | 0.022 | 7 / 38 (18%) | 3 / 19 (16%) | 4 / 19 (21%) | 0.158 | 0.211 |
| 2.A.1.36.3 | The Major Facilitator Superfamily (MFS) | 0.65 | 0.92 | 1 | 0.58 | 0.89 | 1 | 0.00046 | 4.9e-05 | 0 | 4.1e-05 | 0 | 0.00017 | 5.7e-05 | 0 | 0.00024 | 0.48 | 4 / 38 (11%) | 2 / 19 (11%) | 2 / 19 (11%) | 0.105 | 0.105 |
| 9.B.29.2.7 | The small 4-5 TMS Putative Permease (4-5PP) Family | 0.67 | 0.92 | 1 | 0.17 | 0.85 | 1 | 0.001 | 7.9e-05 | 0 | 7e-05 | 0 | 0.00028 | 8.7e-05 | 0 | 0.00038 | 0.31 | 3 / 38 (7.9%) | 2 / 19 (11%) | 1 / 19 (5.3%) | 0.105 | 0.0526 |
| 3.A.1.5.10 | The ATP-binding Cassette (ABC) Superfamily | 0.86 | 0.97 | 1 | 0.98 | 1 | 1 | 0.00028 | 9.7e-05 | 0 | 8.8e-05 | 0 | 0.00022 | 0.00011 | 0 | 0.00021 | 0.32 | 13 / 38 (34%) | 7 / 19 (37%) | 6 / 19 (32%) | 0.368 | 0.316 |
| 2.A.1.42.1 | The Major Facilitator Superfamily (MFS) | 0.72 | 0.92 | 1 | 0.45 | 0.87 | 1 | 0.00025 | 4e-05 | 0 | 4e-05 | 0 | 0.00014 | 4e-05 | 0 | 0.00016 | 0 | 6 / 38 (16%) | 3 / 19 (16%) | 3 / 19 (16%) | 0.158 | 0.158 |
| 3.A.1.4.10 | The ATP-binding Cassette (ABC) Superfamily | 0.29 | 0.83 | 1 | 0.31 | 0.87 | 1 | 0.00012 | 2.3e-05 | 0 | 3.6e-05 | 0 | 8e-05 | 9.8e-06 | 0 | 3.2e-05 | -1.9 | 7 / 38 (18%) | 4 / 19 (21%) | 3 / 19 (16%) | 0.211 | 0.158 |
| 1.B.14.1.2 | The Outer Membrane Receptor (OMR) Family | 0.13 | 0.79 | 1 | 0.26 | 0.85 | 1 | 0.00068 | 0.00011 | 0 | 8e-05 | 0 | 0.00033 | 0.00013 | 0 | 0.00049 | 0.7 | 6 / 38 (16%) | 2 / 19 (11%) | 4 / 19 (21%) | 0.105 | 0.211 |
| 9.B.114.1.1 | The Vancomycin-sensitivity protein (SanA) Family | 0.35 | 0.84 | 1 | 0.12 | 0.85 | 1 | 0.00035 | 3.7e-05 | 0 | 3.7e-05 | 0 | 1e-04 | 3.7e-05 | 0 | 0.00016 | 0 | 4 / 38 (11%) | 3 / 19 (16%) | 1 / 19 (5.3%) | 0.158 | 0.0526 |
| 2.A.47.3.5 | The Divalent Anion:Na+ Symporter (DASS) Family | 0.59 | 0.9 | 1 | 0.46 | 0.87 | 1 | 8.2e-05 | 6.5e-06 | 0 | 8.7e-06 | 0 | 3.1e-05 | 4.3e-06 | 0 | 1.9e-05 | -1 | 3 / 38 (7.9%) | 2 / 19 (11%) | 1 / 19 (5.3%) | 0.105 | 0.0526 |
| 2.A.6.2.2 | The Resistance-Nodulation-Cell Division (RND) Superfamily | 0.46 | 0.86 | 1 | 0.45 | 0.87 | 1 | 5e-04 | 0.00011 | 0 | 0.00011 | 0 | 0.00043 | 1e-04 | 0 | 4e-04 | -0.14 | 8 / 38 (21%) | 3 / 19 (16%) | 5 / 19 (26%) | 0.158 | 0.263 |
| 2.A.6.2.12 | The Resistance-Nodulation-Cell Division (RND) Superfamily | 0.27 | 0.82 | 1 | 0.54 | 0.89 | 1 | 0.00071 | 0.00017 | 0 | 0.00014 | 0 | 5e-04 | 2e-04 | 0 | 0.00063 | 0.51 | 9 / 38 (24%) | 4 / 19 (21%) | 5 / 19 (26%) | 0.211 | 0.263 |
| 8.A.21.2.2 | The Stomatin/Podocin/Band 7/Nephrosis.2/SPFH (Stomatin) Family | 0.16 | 0.79 | 1 | 0.65 | 0.91 | 1 | 0.00036 | 2.8e-05 | 0 | 2.5e-05 | 0 | 0.00011 | 3.2e-05 | 0 | 0.00013 | 0.36 | 3 / 38 (7.9%) | 1 / 19 (5.3%) | 2 / 19 (11%) | 0.0526 | 0.105 |
| 2.A.3.1.6 | The Amino Acid-Polyamine-Organocation (APC) Family | 0.79 | 0.95 | 1 | 0.58 | 0.89 | 1 | 0.00038 | 6e-05 | 0 | 4.3e-05 | 0 | 0.00016 | 7.7e-05 | 0 | 0.00032 | 0.84 | 6 / 38 (16%) | 3 / 19 (16%) | 3 / 19 (16%) | 0.158 | 0.158 |
| 2.A.9.3.1 | The Membrane Protein Insertase (YidC/Alb3/Oxa1) Family | 0.84 | 0.97 | 1 | 0.52 | 0.89 | 1 | 0.00053 | 8.3e-05 | 0 | 5.8e-05 | 0 | 0.00019 | 0.00011 | 0 | 0.00046 | 0.92 | 6 / 38 (16%) | 3 / 19 (16%) | 3 / 19 (16%) | 0.158 | 0.158 |
| 1.C.39.13.1 | The Membrane Attack Complex/Perforin (MACPF) Family | 0.61 | 0.91 | 1 | 0.75 | 0.94 | 1 | 0.00018 | 1.4e-05 | 0 | 1e-05 | 0 | 4.6e-05 | 1.8e-05 | 0 | 5.9e-05 | 0.85 | 3 / 38 (7.9%) | 1 / 19 (5.3%) | 2 / 19 (11%) | 0.0526 | 0.105 |
| 3.A.1.1.48 | The ATP-binding Cassette (ABC) Superfamily | 0.65 | 0.92 | 1 | 0.74 | 0.94 | 1 | 0.002 | 0.0012 | 9.1e-05 | 0.0012 | 3.3e-05 | 0.0019 | 0.0011 | 9.5e-05 | 0.0024 | -0.13 | 22 / 38 (58%) | 10 / 19 (53%) | 12 / 19 (63%) | 0.526 | 0.632 |
| 2.A.3.2.2 | The Amino Acid-Polyamine-Organocation (APC) Family | 0.53 | 0.88 | 1 | 0.39 | 0.87 | 1 | 0.00076 | 8e-05 | 0 | 8.9e-05 | 0 | 0.00039 | 7.1e-05 | 0 | 3e-04 | -0.33 | 4 / 38 (11%) | 1 / 19 (5.3%) | 3 / 19 (16%) | 0.0526 | 0.158 |
| 2.A.6.1.4 | The Resistance-Nodulation-Cell Division (RND) Superfamily | 0.096 | 0.79 | 1 | 0.052 | 0.85 | 1 | 0.00032 | 5e-05 | 0 | 6.2e-05 | 0 | 2e-04 | 3.8e-05 | 0 | 0.00016 | -0.71 | 6 / 38 (16%) | 4 / 19 (21%) | 2 / 19 (11%) | 0.211 | 0.105 |
| 3.A.11.1.2 | The Bacterial Competence-related DNA Transformation Transporter (DNA-T) Family | 0.4 | 0.84 | 1 | 0.56 | 0.89 | 1 | 0.00014 | 1.1e-05 | 0 | 4e-06 | 0 | 1.7e-05 | 1.8e-05 | 0 | 6.1e-05 | 2.2 | 3 / 38 (7.9%) | 1 / 19 (5.3%) | 2 / 19 (11%) | 0.0526 | 0.105 |
| 2.A.15.2.1 | The Betaine/Carnitine/Choline Transporter (BCCT) Family | 0.85 | 0.97 | 1 | 0.57 | 0.89 | 1 | 0.00052 | 8.1e-05 | 0 | 7.9e-05 | 0 | 0.00031 | 8.4e-05 | 0 | 0.00035 | 0.089 | 6 / 38 (16%) | 3 / 19 (16%) | 3 / 19 (16%) | 0.158 | 0.158 |
| 2.A.66.1.4 | The Multidrug/Oligosaccharidyl-lipid/Polysaccharide (MOP) Flippase Superfamily | 0.15 | 0.79 | 1 | 0.056 | 0.85 | 1 | 0.00051 | 4e-05 | 0 | 6.2e-05 | 0 | 0.00025 | 1.9e-05 | 0 | 8.1e-05 | -1.7 | 3 / 38 (7.9%) | 2 / 19 (11%) | 1 / 19 (5.3%) | 0.105 | 0.0526 |
| 9.B.22.2.1 | The Leukotoxin Secretion Morphogenesis Protein C (MorC) Family | 0.7 | 0.92 | 1 | 0.41 | 0.87 | 1 | 5e-04 | 5.3e-05 | 0 | 5.5e-05 | 0 | 0.00023 | 5e-05 | 0 | 0.00022 | -0.14 | 4 / 38 (11%) | 2 / 19 (11%) | 2 / 19 (11%) | 0.105 | 0.105 |
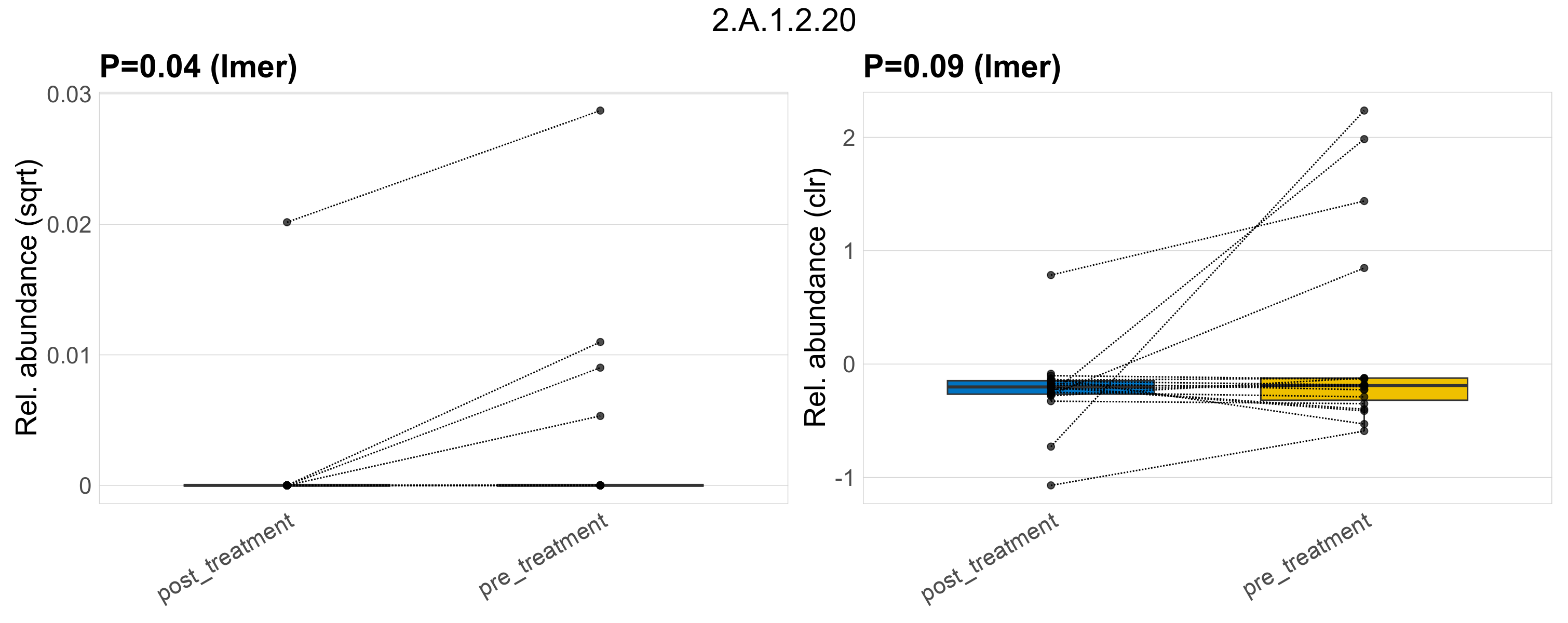
| 2.A.1.2.20 | The Major Facilitator Superfamily (MFS) | 0.04 | 0.79 | 1 | 0.09 | 0.85 | 1 | 0.00029 | 3.8e-05 | 0 | 2.1e-05 | 0 | 9.3e-05 | 5.6e-05 | 0 | 0.00019 | 1.4 | 5 / 38 (13%) | 1 / 19 (5.3%) | 4 / 19 (21%) | 0.0526 | 0.211 |
| 2.A.39.3.8 | The Nucleobase:Cation Symporter-1 (NCS1) Family | 0.16 | 0.79 | 1 | 0.15 | 0.85 | 1 | 0.00037 | 4.9e-05 | 0 | 5e-05 | 0 | 0.00022 | 4.8e-05 | 0 | 0.00016 | -0.059 | 5 / 38 (13%) | 1 / 19 (5.3%) | 4 / 19 (21%) | 0.0526 | 0.211 |
| 1.B.18.3.1 | The Outer Membrane Auxiliary (OMA) Protein Family | 0.12 | 0.79 | 1 | 0.044 | 0.85 | 1 | 0.00028 | 5.2e-05 | 0 | 5e-05 | 0 | 0.00022 | 5.3e-05 | 0 | 0.00014 | 0.084 | 7 / 38 (18%) | 1 / 19 (5.3%) | 6 / 19 (32%) | 0.0526 | 0.316 |
| 1.A.8.3.1 | The Major Intrinsic Protein (MIP) Family | 0.37 | 0.84 | 1 | 0.18 | 0.85 | 1 | 0.00013 | 1.7e-05 | 0 | 2.1e-05 | 0 | 5.4e-05 | 1.4e-05 | 0 | 5.4e-05 | -0.58 | 5 / 38 (13%) | 3 / 19 (16%) | 2 / 19 (11%) | 0.158 | 0.105 |
| 2.A.1.15.12 | The Major Facilitator Superfamily (MFS) | 0.17 | 0.79 | 1 | 0.42 | 0.87 | 1 | 0.00057 | 4.5e-05 | 0 | 3.6e-05 | 0 | 0.00016 | 5.4e-05 | 0 | 0.00022 | 0.58 | 3 / 38 (7.9%) | 1 / 19 (5.3%) | 2 / 19 (11%) | 0.0526 | 0.105 |
| 2.A.81.1.5 | The Aspartate:Alanine Exchanger (AAEx) Family | 0.59 | 0.9 | 1 | 0.49 | 0.87 | 1 | 0.00071 | 9.3e-05 | 0 | 1e-04 | 0 | 4e-04 | 8.1e-05 | 0 | 3e-04 | -0.3 | 5 / 38 (13%) | 3 / 19 (16%) | 2 / 19 (11%) | 0.158 | 0.105 |
| 2.A.66.2.7 | The Multidrug/Oligosaccharidyl-lipid/Polysaccharide (MOP) Flippase Superfamily | 0.25 | 0.81 | 1 | 0.5 | 0.87 | 1 | 0.00035 | 6.5e-05 | 0 | 4.3e-05 | 0 | 0.00016 | 8.7e-05 | 0 | 0.00032 | 1 | 7 / 38 (18%) | 3 / 19 (16%) | 4 / 19 (21%) | 0.158 | 0.211 |
| 4.A.6.1.1 | The PTS Mannose-Fructose-Sorbose (Man) Family | 0.43 | 0.86 | 1 | 0.7 | 0.92 | 1 | 0.00028 | 6.7e-05 | 0 | 5.1e-05 | 0 | 0.00017 | 8.2e-05 | 0 | 0.00027 | 0.69 | 9 / 38 (24%) | 4 / 19 (21%) | 5 / 19 (26%) | 0.211 | 0.263 |
| 2.A.61.1.1 | The C4-dicarboxylate Uptake C (DcuC) Family | 0.31 | 0.83 | 1 | 0.45 | 0.87 | 1 | 0.00044 | 3.4e-05 | 0 | 3.2e-05 | 0 | 0.00014 | 3.7e-05 | 0 | 0.00014 | 0.21 | 3 / 38 (7.9%) | 1 / 19 (5.3%) | 2 / 19 (11%) | 0.0526 | 0.105 |
| 1.B.54.1.9 | The Intimin/Invasin (Int/Inv) or Autotransporter-3 (AT-3) Family | 0.96 | 0.99 | 1 | 0.21 | 0.85 | 1 | 0.00037 | 3.9e-05 | 0 | 2.3e-05 | 0 | 7.8e-05 | 5.6e-05 | 0 | 0.00024 | 1.3 | 4 / 38 (11%) | 3 / 19 (16%) | 1 / 19 (5.3%) | 0.158 | 0.0526 |
| 2.A.7.7.2 | The Drug/Metabolite Transporter (DMT) Superfamily | 0.57 | 0.9 | 1 | 0.68 | 0.92 | 1 | 0.00023 | 3.6e-05 | 0 | 3.5e-05 | 0 | 0.00013 | 3.8e-05 | 0 | 0.00013 | 0.12 | 6 / 38 (16%) | 2 / 19 (11%) | 4 / 19 (21%) | 0.105 | 0.211 |
| 3.A.1.5.21 | The ATP-binding Cassette (ABC) Superfamily | 0.49 | 0.86 | 1 | 0.71 | 0.93 | 1 | 0.00076 | 0.00014 | 0 | 0.00013 | 0 | 0.00054 | 0.00015 | 0 | 0.00062 | 0.21 | 7 / 38 (18%) | 3 / 19 (16%) | 4 / 19 (21%) | 0.158 | 0.211 |
| 4.A.2.1.9 | The PTS Fructose-Mannitol (Fru) Family | 0.04 | 0.79 | 1 | 0.068 | 0.85 | 1 | 6e-04 | 7.9e-05 | 0 | 5.7e-05 | 0 | 0.00025 | 1e-04 | 0 | 4e-04 | 0.81 | 5 / 38 (13%) | 1 / 19 (5.3%) | 4 / 19 (21%) | 0.0526 | 0.211 |
| 2.A.40.4.2 | The Nucleobase/Ascorbate Transporter (NAT) or Nucleobase:Cation Symporter-2 (NCS2) Family | 0.19 | 0.79 | 1 | 0.057 | 0.85 | 1 | 0.00039 | 4.1e-05 | 0 | 4.2e-05 | 0 | 0.00017 | 3.9e-05 | 0 | 0.00016 | -0.11 | 4 / 38 (11%) | 2 / 19 (11%) | 2 / 19 (11%) | 0.105 | 0.105 |
| 3.A.1.8.1 | The ATP-binding Cassette (ABC) Superfamily | 0.45 | 0.86 | 1 | 0.18 | 0.85 | 1 | 0.00084 | 0.00011 | 0 | 0.00011 | 0 | 0.00045 | 0.00011 | 0 | 0.00049 | 0 | 5 / 38 (13%) | 3 / 19 (16%) | 2 / 19 (11%) | 0.158 | 0.105 |
| 2.A.40.1.2 | The Nucleobase/Ascorbate Transporter (NAT) or Nucleobase:Cation Symporter-2 (NCS2) Family | 0.37 | 0.84 | 1 | 0.54 | 0.89 | 1 | 0.00013 | 1e-05 | 0 | 3.1e-06 | 0 | 1.3e-05 | 1.7e-05 | 0 | 6.1e-05 | 2.5 | 3 / 38 (7.9%) | 1 / 19 (5.3%) | 2 / 19 (11%) | 0.0526 | 0.105 |
| 2.A.1.7.14 | The Major Facilitator Superfamily (MFS) | 0.51 | 0.88 | 1 | 0.83 | 0.97 | 1 | 0.00046 | 7.3e-05 | 0 | 5.7e-05 | 0 | 0.00022 | 8.8e-05 | 0 | 0.00032 | 0.63 | 6 / 38 (16%) | 3 / 19 (16%) | 3 / 19 (16%) | 0.158 | 0.158 |
| 1.B.3.1.1 | The Sugar Porin (SP) Family | 0.8 | 0.95 | 1 | 0.54 | 0.89 | 1 | 0.00042 | 5.5e-05 | 0 | 5.4e-05 | 0 | 2e-04 | 5.6e-05 | 0 | 0.00022 | 0.052 | 5 / 38 (13%) | 3 / 19 (16%) | 2 / 19 (11%) | 0.158 | 0.105 |
| 3.A.1.14.3 | The ATP-binding Cassette (ABC) Superfamily | 0.89 | 0.98 | 1 | 0.79 | 0.96 | 1 | 0.00071 | 0.00013 | 0 | 9.8e-05 | 0 | 0.00027 | 0.00016 | 0 | 0.00067 | 0.71 | 7 / 38 (18%) | 3 / 19 (16%) | 4 / 19 (21%) | 0.158 | 0.211 |
| 9.B.20.1.4 | The Putative Mg2+ Transporter-C (MgtC) Family | 0.092 | 0.79 | 1 | 0.18 | 0.85 | 1 | 0.00031 | 3.3e-05 | 0 | 2.1e-05 | 0 | 9.3e-05 | 4.4e-05 | 0 | 0.00014 | 1.1 | 4 / 38 (11%) | 1 / 19 (5.3%) | 3 / 19 (16%) | 0.0526 | 0.158 |
| 2.A.2.1.1 | The Glycoside-Pentoside-Hexuronide (GPH):Cation Symporter Family | 0.22 | 0.79 | 1 | 0.31 | 0.87 | 1 | 7.2e-05 | 5.7e-06 | 0 | 1.6e-06 | 0 | 6.8e-06 | 9.8e-06 | 0 | 3.1e-05 | 2.6 | 3 / 38 (7.9%) | 1 / 19 (5.3%) | 2 / 19 (11%) | 0.0526 | 0.105 |
| 2.A.66.1.48 | The Multidrug/Oligosaccharidyl-lipid/Polysaccharide (MOP) Flippase Superfamily | 0.16 | 0.79 | 1 | 0.48 | 0.87 | 1 | 0.00066 | 5.2e-05 | 0 | 4.6e-05 | 0 | 2e-04 | 5.7e-05 | 0 | 0.00024 | 0.31 | 3 / 38 (7.9%) | 1 / 19 (5.3%) | 2 / 19 (11%) | 0.0526 | 0.105 |
| 4.A.1.2.3 | The PTS Glucose-Glucoside (Glc) Family | 0.97 | 0.99 | 1 | 0.41 | 0.87 | 1 | 0.00038 | 5e-05 | 0 | 3.6e-05 | 0 | 0.00013 | 6.3e-05 | 0 | 0.00027 | 0.81 | 5 / 38 (13%) | 3 / 19 (16%) | 2 / 19 (11%) | 0.158 | 0.105 |
| 2.A.3.6.4 | The Amino Acid-Polyamine-Organocation (APC) Family | 0.4 | 0.84 | 1 | 0.64 | 0.91 | 1 | 0.00019 | 2.5e-05 | 0 | 1.7e-05 | 0 | 6.3e-05 | 3.2e-05 | 0 | 0.00011 | 0.91 | 5 / 38 (13%) | 2 / 19 (11%) | 3 / 19 (16%) | 0.105 | 0.158 |
| 2.A.1.14.2 | The Major Facilitator Superfamily (MFS) | 0.075 | 0.79 | 1 | 0.094 | 0.85 | 1 | 0.00038 | 6.9e-05 | 0 | 4.4e-05 | 0 | 0.00017 | 9.4e-05 | 0 | 0.00035 | 1.1 | 7 / 38 (18%) | 2 / 19 (11%) | 5 / 19 (26%) | 0.105 | 0.263 |
| 9.B.126.2.7 | The Putative Lipid IV Exporter (YhjD) Family | 0.87 | 0.97 | 1 | 0.9 | 0.99 | 1 | 0.00011 | 1.4e-05 | 0 | 1.9e-05 | 0 | 6.7e-05 | 9.2e-06 | 0 | 2.4e-05 | -1 | 5 / 38 (13%) | 2 / 19 (11%) | 3 / 19 (16%) | 0.105 | 0.158 |
| 2.A.124.1.1 | The Lysine Exporter (LysO) Family | 0.29 | 0.83 | 1 | 0.57 | 0.89 | 1 | 0.00056 | 4.4e-05 | 0 | 4.3e-05 | 0 | 0.00019 | 4.5e-05 | 0 | 0.00019 | 0.066 | 3 / 38 (7.9%) | 1 / 19 (5.3%) | 2 / 19 (11%) | 0.0526 | 0.105 |
| 8.A.50.1.1 | The AcrZ RND auxillary subunit (AcrZ) Family | 0.16 | 0.79 | 1 | 0.018 | 0.85 | 1 | 0.00012 | 9.2e-06 | 0 | 1.2e-05 | 0 | 4.7e-05 | 6.2e-06 | 0 | 2.7e-05 | -0.95 | 3 / 38 (7.9%) | 2 / 19 (11%) | 1 / 19 (5.3%) | 0.105 | 0.0526 |
| 5.A.3.3.2 | The Prokaryotic Molybdopterin-containing Oxidoreductase (PMO) Family | 0.037 | 0.79 | 1 | 0.069 | 0.85 | 1 | 8e-04 | 0.00011 | 0 | 7.5e-05 | 0 | 0.00033 | 0.00014 | 0 | 0.00051 | 0.9 | 5 / 38 (13%) | 1 / 19 (5.3%) | 4 / 19 (21%) | 0.0526 | 0.211 |
| 2.A.103.1.2 | The Bacterial Murein Precursor Exporter (MPE) Family | 0.46 | 0.86 | 1 | 0.36 | 0.87 | 1 | 0.00021 | 2.2e-05 | 0 | 3e-05 | 0 | 0.00012 | 1.4e-05 | 0 | 5.4e-05 | -1.1 | 4 / 38 (11%) | 2 / 19 (11%) | 2 / 19 (11%) | 0.105 | 0.105 |
| 2.C.1.4.2 | The TonB-ExbB-ExbD/TolA-TolQ-TolR Outer Membrane Receptor Energizers and Stabilizers (TonB/TolA) Family | 0.22 | 0.79 | 1 | 0.33 | 0.87 | 1 | 0.00064 | 0.00015 | 0 | 0.00027 | 0 | 8e-04 | 3.4e-05 | 0 | 8.6e-05 | -3 | 9 / 38 (24%) | 5 / 19 (26%) | 4 / 19 (21%) | 0.263 | 0.211 |
| 2.A.66.1.23 | The Multidrug/Oligosaccharidyl-lipid/Polysaccharide (MOP) Flippase Superfamily | 0.67 | 0.92 | 1 | 0.84 | 0.97 | 1 | 0.00048 | 5.1e-05 | 0 | 4.2e-05 | 0 | 0.00017 | 5.9e-05 | 0 | 0.00024 | 0.49 | 4 / 38 (11%) | 2 / 19 (11%) | 2 / 19 (11%) | 0.105 | 0.105 |
| 1.B.14.6.1 | The Outer Membrane Receptor (OMR) Family | 0.49 | 0.86 | 1 | 0.3 | 0.87 | 1 | 0.00011 | 2.2e-05 | 0 | 2.3e-05 | 0 | 4.4e-05 | 2.2e-05 | 0 | 7.5e-05 | -0.064 | 8 / 38 (21%) | 5 / 19 (26%) | 3 / 19 (16%) | 0.263 | 0.158 |
| 4.D.1.1.13 | The Putative Vectorial Glycosyl Polymerization (VGP) Family | 0.15 | 0.79 | 1 | 0.047 | 0.85 | 1 | 0.00026 | 2e-05 | 0 | 2.8e-05 | 0 | 0.00011 | 1.2e-05 | 0 | 5.4e-05 | -1.2 | 3 / 38 (7.9%) | 2 / 19 (11%) | 1 / 19 (5.3%) | 0.105 | 0.0526 |
| 9.B.104.1.1 | The Rhomboid Protease (Rhomboid) Family | 0.69 | 0.92 | 1 | 0.47 | 0.87 | 1 | 0.00021 | 1.7e-05 | 0 | 8.7e-06 | 0 | 3.1e-05 | 2.5e-05 | 0 | 0.00011 | 1.5 | 3 / 38 (7.9%) | 2 / 19 (11%) | 1 / 19 (5.3%) | 0.105 | 0.0526 |
| 3.A.1.3.2 | The ATP-binding Cassette (ABC) Superfamily | 0.17 | 0.79 | 1 | 0.12 | 0.85 | 1 | 0.00021 | 3.8e-05 | 0 | 3.7e-05 | 0 | 0.00016 | 4e-05 | 0 | 0.00011 | 0.11 | 7 / 38 (18%) | 2 / 19 (11%) | 5 / 19 (26%) | 0.105 | 0.263 |
| 2.A.7.5.3 | The Drug/Metabolite Transporter (DMT) Superfamily | 0.65 | 0.92 | 1 | 0.75 | 0.94 | 1 | 0.00013 | 1e-05 | 0 | 8.5e-06 | 0 | 3.7e-05 | 1.2e-05 | 0 | 3.7e-05 | 0.5 | 3 / 38 (7.9%) | 1 / 19 (5.3%) | 2 / 19 (11%) | 0.0526 | 0.105 |
| 1.A.23.1.3 | The Small Conductance Mechanosensitive Ion Channel (MscS) Family | 0.87 | 0.97 | 1 | 0.98 | 1 | 1 | 0.00051 | 0.00011 | 0 | 0.00011 | 0 | 0.00042 | 0.00011 | 0 | 4e-04 | 0 | 8 / 38 (21%) | 4 / 19 (21%) | 4 / 19 (21%) | 0.211 | 0.211 |
| 9.B.22.1.2 | The Leukotoxin Secretion Morphogenesis Protein C (MorC) Family | 0.16 | 0.79 | 1 | 0.2 | 0.85 | 1 | 0.00044 | 6.9e-05 | 0 | 4e-05 | 0 | 0.00016 | 9.8e-05 | 0 | 0.00023 | 1.3 | 6 / 38 (16%) | 2 / 19 (11%) | 4 / 19 (21%) | 0.105 | 0.211 |
| 2.A.3.2.5 | The Amino Acid-Polyamine-Organocation (APC) Family | 0.089 | 0.79 | 1 | 0.15 | 0.85 | 1 | 0.00075 | 7.9e-05 | 0 | 6.4e-05 | 0 | 0.00028 | 9.5e-05 | 0 | 0.00038 | 0.57 | 4 / 38 (11%) | 1 / 19 (5.3%) | 3 / 19 (16%) | 0.0526 | 0.158 |
| 1.B.71.1.5 | The Proteobacterial/Verrucomicrobial Porin (PVP) Family | 0.7 | 0.92 | 1 | 0.53 | 0.89 | 1 | 0.00034 | 6.3e-05 | 0 | 6.4e-05 | 0 | 0.00014 | 6.2e-05 | 0 | 0.00018 | -0.046 | 7 / 38 (18%) | 4 / 19 (21%) | 3 / 19 (16%) | 0.211 | 0.158 |
| 3.A.1.19.1 | The ATP-binding Cassette (ABC) Superfamily | 0.78 | 0.95 | 1 | 0.26 | 0.85 | 1 | 0.00036 | 2.8e-05 | 0 | 1.9e-05 | 0 | 7.8e-05 | 3.7e-05 | 0 | 0.00016 | 0.96 | 3 / 38 (7.9%) | 2 / 19 (11%) | 1 / 19 (5.3%) | 0.105 | 0.0526 |
| 2.A.1.2.14 | The Major Facilitator Superfamily (MFS) | 0.49 | 0.86 | 1 | 0.74 | 0.94 | 1 | 0.00041 | 4.3e-05 | 0 | 3e-05 | 0 | 0.00012 | 5.7e-05 | 0 | 0.00024 | 0.93 | 4 / 38 (11%) | 2 / 19 (11%) | 2 / 19 (11%) | 0.105 | 0.105 |
| 9.B.42.1.3 | The ExeAB (ExeAB) Secretin Assembly/Export Complex | 0.52 | 0.88 | 1 | 0.82 | 0.97 | 1 | 4e-04 | 5.3e-05 | 0 | 4.2e-05 | 0 | 0.00016 | 6.4e-05 | 0 | 0.00024 | 0.61 | 5 / 38 (13%) | 2 / 19 (11%) | 3 / 19 (16%) | 0.105 | 0.158 |
| 3.A.3.5.5 | The P-type ATPase (P-ATPase) Superfamily | 0.43 | 0.86 | 1 | 0.85 | 0.97 | 1 | 0.00042 | 4.5e-05 | 0 | 2.7e-05 | 0 | 0.00011 | 6.3e-05 | 0 | 0.00027 | 1.2 | 4 / 38 (11%) | 2 / 19 (11%) | 2 / 19 (11%) | 0.105 | 0.105 |
| 2.A.37.1.2 | The Monovalent Cation:Proton Antiporter-2 (CPA2) Family | 0.19 | 0.79 | 1 | 0.34 | 0.87 | 1 | 0.00032 | 6.7e-05 | 0 | 3.2e-05 | 0 | 0.00011 | 1e-04 | 0 | 0.00035 | 1.6 | 8 / 38 (21%) | 3 / 19 (16%) | 5 / 19 (26%) | 0.158 | 0.263 |
| 3.A.1.152.9 | The ATP-binding Cassette (ABC) Superfamily | 0.11 | 0.79 | 1 | 0.11 | 0.85 | 1 | 0.00047 | 0.00011 | 0 | 0.00012 | 0 | 0.00042 | 9.6e-05 | 0 | 0.00038 | -0.32 | 9 / 38 (24%) | 5 / 19 (26%) | 4 / 19 (21%) | 0.263 | 0.211 |
| 2.A.76.1.1 | The Resistance to Homoserine/Threonine (RhtB) Family | 0.27 | 0.83 | 1 | 0.18 | 0.85 | 1 | 0.00023 | 3.7e-05 | 0 | 4.8e-05 | 0 | 0.00012 | 2.6e-05 | 0 | 8.5e-05 | -0.88 | 6 / 38 (16%) | 4 / 19 (21%) | 2 / 19 (11%) | 0.211 | 0.105 |
| 2.A.1.2.7 | The Major Facilitator Superfamily (MFS) | 0.16 | 0.79 | 1 | 0.057 | 0.85 | 1 | 0.00032 | 2.5e-05 | 0 | 3.2e-05 | 0 | 0.00012 | 1.9e-05 | 0 | 8.1e-05 | -0.75 | 3 / 38 (7.9%) | 2 / 19 (11%) | 1 / 19 (5.3%) | 0.105 | 0.0526 |
| 2.A.66.4.3 | The Multidrug/Oligosaccharidyl-lipid/Polysaccharide (MOP) Flippase Superfamily | 0.15 | 0.79 | 1 | 0.36 | 0.87 | 1 | 5e-04 | 4e-05 | 0 | 2.9e-05 | 0 | 0.00012 | 5.1e-05 | 0 | 0.00022 | 0.81 | 3 / 38 (7.9%) | 1 / 19 (5.3%) | 2 / 19 (11%) | 0.0526 | 0.105 |
| 2.A.1.10.2 | The Major Facilitator Superfamily (MFS) | 0.73 | 0.92 | 1 | 0.6 | 0.9 | 1 | 0.00045 | 4.7e-05 | 0 | 3.1e-05 | 0 | 0.00011 | 6.3e-05 | 0 | 0.00027 | 1 | 4 / 38 (11%) | 2 / 19 (11%) | 2 / 19 (11%) | 0.105 | 0.105 |
| 2.A.95.1.7 | The 6 TMS Neutral Amino Acid Transporter (NAAT) Family | 0.33 | 0.84 | 1 | 0.23 | 0.85 | 1 | 0.00027 | 2.1e-05 | 0 | 2.3e-05 | 0 | 8e-05 | 1.9e-05 | 0 | 8.1e-05 | -0.28 | 3 / 38 (7.9%) | 2 / 19 (11%) | 1 / 19 (5.3%) | 0.105 | 0.0526 |
| 4.A.1.1.1 | The PTS Glucose-Glucoside (Glc) Family | 0.95 | 0.99 | 1 | 0.5 | 0.87 | 1 | 0.00062 | 8.2e-05 | 0 | 6.7e-05 | 0 | 0.00024 | 9.7e-05 | 0 | 4e-04 | 0.53 | 5 / 38 (13%) | 3 / 19 (16%) | 2 / 19 (11%) | 0.158 | 0.105 |
| 2.A.1.5.1 | The Major Facilitator Superfamily (MFS) | 0.3 | 0.83 | 1 | 0.056 | 0.85 | 1 | 0.00033 | 2.6e-05 | 0 | 2.7e-05 | 0 | 0.00011 | 2.5e-05 | 0 | 0.00011 | -0.11 | 3 / 38 (7.9%) | 2 / 19 (11%) | 1 / 19 (5.3%) | 0.105 | 0.0526 |
| 2.A.1.21.6 | The Major Facilitator Superfamily (MFS) | 0.58 | 0.9 | 1 | 0.8 | 0.96 | 1 | 0.00013 | 1.4e-05 | 0 | 7e-06 | 0 | 2.5e-05 | 2e-05 | 0 | 6.2e-05 | 1.5 | 4 / 38 (11%) | 2 / 19 (11%) | 2 / 19 (11%) | 0.105 | 0.105 |
| 3.A.1.3.3 | The ATP-binding Cassette (ABC) Superfamily | 0.34 | 0.84 | 1 | 0.55 | 0.89 | 1 | 0.00071 | 9.3e-05 | 0 | 8.5e-05 | 0 | 0.00036 | 1e-04 | 0 | 0.00038 | 0.23 | 5 / 38 (13%) | 2 / 19 (11%) | 3 / 19 (16%) | 0.105 | 0.158 |
| 3.A.1.9.1 | The ATP-binding Cassette (ABC) Superfamily | 0.84 | 0.97 | 1 | 0.97 | 1 | 1 | 0.00046 | 7.3e-05 | 0 | 8.6e-05 | 0 | 0.00034 | 5.9e-05 | 0 | 0.00019 | -0.54 | 6 / 38 (16%) | 3 / 19 (16%) | 3 / 19 (16%) | 0.158 | 0.158 |
| 9.B.146.1.6 | The Putative Undecaprenyl-phosphate N-Acetylglucosaminyl Transferase (MurG) Family | 0.64 | 0.92 | 1 | 0.95 | 0.99 | 1 | 0.00059 | 6.2e-05 | 0 | 5.9e-05 | 0 | 0.00025 | 6.6e-05 | 0 | 0.00027 | 0.16 | 4 / 38 (11%) | 2 / 19 (11%) | 2 / 19 (11%) | 0.105 | 0.105 |
| 2.A.25.1.10 | The Alanine or Glycine:Cation Symporter (AGCS) Family | 0.4 | 0.84 | 1 | 0.21 | 0.85 | 1 | 3e-04 | 4e-05 | 0 | 4.1e-05 | 0 | 0.00014 | 3.8e-05 | 0 | 0.00016 | -0.11 | 5 / 38 (13%) | 3 / 19 (16%) | 2 / 19 (11%) | 0.158 | 0.105 |
| 1.B.17.1.1 | The Outer Membrane Factor (OMF) Family | 0.16 | 0.79 | 1 | 0.18 | 0.85 | 1 | 0.00055 | 5.8e-05 | 0 | 5e-05 | 0 | 0.00022 | 6.6e-05 | 0 | 0.00022 | 0.4 | 4 / 38 (11%) | 1 / 19 (5.3%) | 3 / 19 (16%) | 0.0526 | 0.158 |
| 2.A.1.3.2 | The Major Facilitator Superfamily (MFS) | 0.15 | 0.79 | 1 | 0.43 | 0.87 | 1 | 0.00048 | 6.3e-05 | 0 | 5.1e-05 | 0 | 0.00022 | 7.4e-05 | 0 | 3e-04 | 0.54 | 5 / 38 (13%) | 2 / 19 (11%) | 3 / 19 (16%) | 0.105 | 0.158 |
| 8.A.5.1.6 | The Voltage-gated K+ Channel β-subunit (Kvβ) Family | 0.4 | 0.84 | 1 | 0.3 | 0.86 | 1 | 0.00013 | 1.4e-05 | 0 | 2e-05 | 0 | 6.6e-05 | 7.7e-06 | 0 | 2.7e-05 | -1.4 | 4 / 38 (11%) | 2 / 19 (11%) | 2 / 19 (11%) | 0.105 | 0.105 |
| 3.A.1.105.16 | The ATP-binding Cassette (ABC) Superfamily | 0.97 | 0.99 | 1 | 0.43 | 0.87 | 1 | 0.00052 | 5.5e-05 | 0 | 4.7e-05 | 0 | 0.00019 | 6.3e-05 | 0 | 0.00027 | 0.42 | 4 / 38 (11%) | 2 / 19 (11%) | 2 / 19 (11%) | 0.105 | 0.105 |
| 3.A.1.2.25 | The ATP-binding Cassette (ABC) Superfamily | 0.25 | 0.81 | 1 | 0.3 | 0.86 | 1 | 0.00068 | 0.00016 | 0 | 0.00015 | 0 | 0.00062 | 0.00017 | 0 | 0.00064 | 0.18 | 9 / 38 (24%) | 3 / 19 (16%) | 6 / 19 (32%) | 0.158 | 0.316 |
| 9.B.34.1.4 | The Kinase/Phosphatase/Cyclic-GMP Synthase/Cyclic di-GMP Hydrolase (KPSH) Family | 0.39 | 0.84 | 1 | 0.97 | 1 | 1 | 0.00051 | 5.4e-05 | 0 | 2.7e-05 | 0 | 0.00011 | 8.1e-05 | 0 | 0.00035 | 1.6 | 4 / 38 (11%) | 2 / 19 (11%) | 2 / 19 (11%) | 0.105 | 0.105 |
| 9.B.169.4.2 | The Integral Membrane Protein (8 -10 TMSs) YeiB or DUF418 (YeiB) Family | 0.17 | 0.79 | 1 | 0.11 | 0.85 | 1 | 1e-04 | 1.1e-05 | 0 | 1.6e-05 | 0 | 5.7e-05 | 5.3e-06 | 0 | 2e-05 | -1.6 | 4 / 38 (11%) | 2 / 19 (11%) | 2 / 19 (11%) | 0.105 | 0.105 |
| 9.B.97.1.1 | The Acyltransferase-3/Putative Acetyl-CoA Transporter (ATAT) Family | 0.75 | 0.93 | 1 | 0.097 | 0.85 | 1 | 0.00057 | 4.5e-05 | 0 | 4.1e-05 | 0 | 0.00017 | 5e-05 | 0 | 0.00022 | 0.29 | 3 / 38 (7.9%) | 2 / 19 (11%) | 1 / 19 (5.3%) | 0.105 | 0.0526 |
| 2.A.7.3.19 | The Drug/Metabolite Transporter (DMT) Superfamily | 0.74 | 0.93 | 1 | 0.37 | 0.87 | 1 | 0.0011 | 8.8e-05 | 0 | 4.7e-05 | 0 | 0.00016 | 0.00013 | 0 | 0.00057 | 1.5 | 3 / 38 (7.9%) | 2 / 19 (11%) | 1 / 19 (5.3%) | 0.105 | 0.0526 |
| 9.B.14.3.6 | The Putative Heme Handling Protein (HHP) Family | 0.2 | 0.79 | 1 | 0.32 | 0.87 | 1 | 0.00023 | 3.6e-05 | 0 | 2.4e-05 | 0 | 8.1e-05 | 4.9e-05 | 0 | 0.00016 | 1 | 6 / 38 (16%) | 2 / 19 (11%) | 4 / 19 (21%) | 0.105 | 0.211 |
| 3.D.1.1.1 | The H+ or Na+-translocating NADH Dehydrogenase (NDH) Family | 0.41 | 0.85 | 1 | 0.69 | 0.92 | 1 | 0.0011 | 0.00032 | 0 | 0.00026 | 0 | 0.00097 | 0.00038 | 0 | 0.0014 | 0.55 | 11 / 38 (29%) | 5 / 19 (26%) | 6 / 19 (32%) | 0.263 | 0.316 |
| 8.A.46.2.2 | The Glycan-binding Protein (SusD) Family | 0.74 | 0.93 | 1 | 0.55 | 0.89 | 1 | 0.00013 | 1.7e-05 | 0 | 1.7e-05 | 0 | 4.6e-05 | 1.7e-05 | 0 | 6.1e-05 | 0 | 5 / 38 (13%) | 3 / 19 (16%) | 2 / 19 (11%) | 0.158 | 0.105 |
| 1.C.113.1.10 | The Hly III (Hly III) Family | 0.53 | 0.89 | 1 | 0.95 | 0.99 | 1 | 2e-04 | 2.1e-05 | 0 | 1.6e-05 | 0 | 6.2e-05 | 2.7e-05 | 0 | 0.00011 | 0.75 | 4 / 38 (11%) | 2 / 19 (11%) | 2 / 19 (11%) | 0.105 | 0.105 |
| 2.A.1.2.19 | The Major Facilitator Superfamily (MFS) | 0.69 | 0.92 | 1 | 0.92 | 0.99 | 1 | 0.00017 | 3.1e-05 | 0 | 2.4e-05 | 0 | 6.8e-05 | 3.8e-05 | 0 | 0.00013 | 0.66 | 7 / 38 (18%) | 3 / 19 (16%) | 4 / 19 (21%) | 0.158 | 0.211 |
| 1.B.48.1.1 | The Curli Fiber Subunit Porin. CgsA. CsgG (CsgG) Family | 0.38 | 0.84 | 1 | 0.33 | 0.87 | 1 | 0.00042 | 4.4e-05 | 0 | 5.6e-05 | 0 | 2e-04 | 3.2e-05 | 0 | 0.00013 | -0.81 | 4 / 38 (11%) | 2 / 19 (11%) | 2 / 19 (11%) | 0.105 | 0.105 |
| 2.A.1.21.1 | The Major Facilitator Superfamily (MFS) | 0.55 | 0.89 | 1 | 0.85 | 0.97 | 1 | 8e-04 | 0.00023 | 0 | 0.00032 | 0 | 0.0011 | 0.00015 | 0 | 0.00034 | -1.1 | 11 / 38 (29%) | 5 / 19 (26%) | 6 / 19 (32%) | 0.263 | 0.316 |
| 3.A.1.106.13 | The ATP-binding Cassette (ABC) Superfamily | 0.25 | 0.81 | 1 | 0.46 | 0.87 | 1 | 0.00054 | 8.5e-05 | 0 | 7.1e-05 | 0 | 0.00029 | 1e-04 | 0 | 4e-04 | 0.49 | 6 / 38 (16%) | 2 / 19 (11%) | 4 / 19 (21%) | 0.105 | 0.211 |
| 2.A.86.2.1 | The Autoinducer-2 Exporter (AI-2E) Family (Formerly the PerM Family. TC #9.B.22) | 0.94 | 0.99 | 1 | 0.23 | 0.85 | 1 | 0.00043 | 3.4e-05 | 0 | 2.5e-05 | 0 | 9.3e-05 | 4.3e-05 | 0 | 0.00019 | 0.78 | 3 / 38 (7.9%) | 2 / 19 (11%) | 1 / 19 (5.3%) | 0.105 | 0.0526 |
| 3.A.1.3.29 | The ATP-binding Cassette (ABC) Superfamily | 0.16 | 0.79 | 1 | 0.23 | 0.85 | 1 | 0.00072 | 0.00011 | 0 | 1e-04 | 0 | 0.00043 | 0.00012 | 0 | 0.00048 | 0.26 | 6 / 38 (16%) | 2 / 19 (11%) | 4 / 19 (21%) | 0.105 | 0.211 |
| 2.A.26.1.10 | The Branched Chain Amino Acid:Cation Symporter (LIVCS) Family | 0.043 | 0.79 | 1 | 0.076 | 0.85 | 1 | 0.00036 | 4.7e-05 | 0 | 3.2e-05 | 0 | 0.00014 | 6.2e-05 | 0 | 0.00024 | 0.95 | 5 / 38 (13%) | 1 / 19 (5.3%) | 4 / 19 (21%) | 0.0526 | 0.211 |
| 4.A.1.2.2 | The PTS Glucose-Glucoside (Glc) Family | 0.71 | 0.92 | 1 | 0.85 | 0.97 | 1 | 0.00059 | 7.8e-05 | 0 | 6.7e-05 | 0 | 0.00026 | 8.9e-05 | 0 | 0.00038 | 0.41 | 5 / 38 (13%) | 2 / 19 (11%) | 3 / 19 (16%) | 0.105 | 0.158 |
| 3.A.1.5.32 | The ATP-binding Cassette (ABC) Superfamily | 0.65 | 0.92 | 1 | 0.53 | 0.89 | 1 | 7.7e-05 | 6.1e-06 | 0 | 7.1e-06 | 0 | 2.1e-05 | 5.1e-06 | 0 | 2.2e-05 | -0.48 | 3 / 38 (7.9%) | 2 / 19 (11%) | 1 / 19 (5.3%) | 0.105 | 0.0526 |
| 3.A.7.10.1 | The Type IV (Conjugal DNA-Protein Transfer or VirB) Secretory Pathway (IVSP) Family | 0.8 | 0.95 | 1 | 0.46 | 0.87 | 1 | 0.00019 | 2e-05 | 0 | 1.4e-05 | 0 | 3.6e-05 | 2.5e-05 | 0 | 0.00011 | 0.84 | 4 / 38 (11%) | 3 / 19 (16%) | 1 / 19 (5.3%) | 0.158 | 0.0526 |
| 3.A.1.5.25 | The ATP-binding Cassette (ABC) Superfamily | 0.32 | 0.83 | 1 | 0.53 | 0.89 | 1 | 0.00021 | 5e-05 | 0 | 3e-05 | 0 | 7.2e-05 | 7.1e-05 | 0 | 0.00016 | 1.2 | 9 / 38 (24%) | 4 / 19 (21%) | 5 / 19 (26%) | 0.211 | 0.263 |
| 2.A.1.3.51 | The Major Facilitator Superfamily (MFS) | 0.15 | 0.79 | 1 | 0.047 | 0.85 | 1 | 0.00079 | 1e-04 | 0 | 1e-04 | 0 | 0.00039 | 0.00011 | 0 | 0.00046 | 0.14 | 5 / 38 (13%) | 4 / 19 (21%) | 1 / 19 (5.3%) | 0.211 | 0.0526 |
| 9.B.51.1.1 | The Uncharacterized DUF202/YidH (YidH) Family | 0.36 | 0.84 | 1 | 0.67 | 0.92 | 1 | 0.00021 | 2.2e-05 | 0 | 1.2e-05 | 0 | 4.7e-05 | 3.1e-05 | 0 | 0.00011 | 1.4 | 4 / 38 (11%) | 2 / 19 (11%) | 2 / 19 (11%) | 0.105 | 0.105 |
| 2.A.42.1.3 | The Hydroxy/Aromatic Amino Acid Permease (HAAAP) Family | 0.95 | 0.99 | 1 | 0.79 | 0.96 | 1 | 0.00029 | 4.6e-05 | 0 | 4.3e-05 | 0 | 0.00016 | 4.9e-05 | 0 | 0.00019 | 0.19 | 6 / 38 (16%) | 3 / 19 (16%) | 3 / 19 (16%) | 0.158 | 0.158 |
| 2.A.85.6.1 | The Aromatic Acid Exporter (ArAE) Family | 0.052 | 0.79 | 1 | 0.052 | 0.85 | 1 | 0.00044 | 8.2e-05 | 0 | 3.7e-05 | 0 | 0.00014 | 0.00013 | 0 | 0.00046 | 1.8 | 7 / 38 (18%) | 2 / 19 (11%) | 5 / 19 (26%) | 0.105 | 0.263 |
| 3.A.3.32.7 | The P-type ATPase (P-ATPase) Superfamily | 0.32 | 0.83 | 1 | 0.45 | 0.87 | 1 | 7e-04 | 2e-04 | 0 | 0.00013 | 0 | 0.00037 | 0.00027 | 0 | 0.00066 | 1.1 | 11 / 38 (29%) | 5 / 19 (26%) | 6 / 19 (32%) | 0.263 | 0.316 |
| 2.A.118.1.8 | The Basic Amino Acid Antiporter (ArcD) Family | 0.56 | 0.9 | 1 | 0.34 | 0.87 | 1 | 0.00027 | 4.3e-05 | 0 | 3.1e-05 | 0 | 8.1e-05 | 5.5e-05 | 0 | 0.00022 | 0.83 | 6 / 38 (16%) | 4 / 19 (21%) | 2 / 19 (11%) | 0.211 | 0.105 |
| 3.A.1.17.10 | The ATP-binding Cassette (ABC) Superfamily | 0.39 | 0.84 | 1 | 0.22 | 0.85 | 1 | 0.00042 | 5.5e-05 | 0 | 4.8e-05 | 0 | 0.00019 | 6.2e-05 | 0 | 0.00024 | 0.37 | 5 / 38 (13%) | 3 / 19 (16%) | 2 / 19 (11%) | 0.158 | 0.105 |
| 1.A.14.2.1 | The Calcium Transporter A (CaTA) (formerly the Testis-Enhanced Gene Transfer (TEGT) Family | 0.54 | 0.89 | 1 | 0.32 | 0.87 | 1 | 0.00034 | 3.5e-05 | 0 | 3.9e-05 | 0 | 0.00016 | 3.2e-05 | 0 | 0.00013 | -0.29 | 4 / 38 (11%) | 2 / 19 (11%) | 2 / 19 (11%) | 0.105 | 0.105 |
| 2.C.1.2.1 | The TonB-ExbB-ExbD/TolA-TolQ-TolR Outer Membrane Receptor Energizers and Stabilizers (TonB/TolA) Family | 0.34 | 0.84 | 1 | 0.75 | 0.94 | 1 | 0.00071 | 9.4e-05 | 0 | 8e-05 | 0 | 0.00034 | 0.00011 | 0 | 0.00046 | 0.46 | 5 / 38 (13%) | 2 / 19 (11%) | 3 / 19 (16%) | 0.105 | 0.158 |
| 3.A.1.5.24 | The ATP-binding Cassette (ABC) Superfamily | 0.31 | 0.83 | 1 | 0.58 | 0.89 | 1 | 0.00062 | 8.1e-05 | 0 | 7.6e-05 | 0 | 0.00033 | 8.6e-05 | 0 | 0.00035 | 0.18 | 5 / 38 (13%) | 2 / 19 (11%) | 3 / 19 (16%) | 0.105 | 0.158 |
| 9.B.27.1.2 | The DedA or YdjX-Z (DedA) Family | 0.85 | 0.97 | 1 | 0.34 | 0.87 | 1 | 0.00028 | 2.2e-05 | 0 | 1.4e-05 | 0 | 4.8e-05 | 3.1e-05 | 0 | 0.00014 | 1.1 | 3 / 38 (7.9%) | 2 / 19 (11%) | 1 / 19 (5.3%) | 0.105 | 0.0526 |
| 4.A.2.1.25 | The PTS Fructose-Mannitol (Fru) Family | 0.3 | 0.83 | 1 | 0.47 | 0.87 | 1 | 8.2e-05 | 6.4e-06 | 0 | 1.4e-06 | 0 | 6.2e-06 | 1.1e-05 | 0 | 3.5e-05 | 3 | 3 / 38 (7.9%) | 1 / 19 (5.3%) | 2 / 19 (11%) | 0.0526 | 0.105 |
| 2.A.1.6.2 | The Major Facilitator Superfamily (MFS) | 0.16 | 0.79 | 1 | 0.22 | 0.85 | 1 | 0.00098 | 7.8e-05 | 0 | 2.5e-05 | 0 | 0.00011 | 0.00013 | 0 | 0.00051 | 2.4 | 3 / 38 (7.9%) | 1 / 19 (5.3%) | 2 / 19 (11%) | 0.0526 | 0.105 |
| 1.B.14.3.1 | The Outer Membrane Receptor (OMR) Family | 0.95 | 0.99 | 1 | 0.87 | 0.98 | 1 | 0.00054 | 8.6e-05 | 0 | 8.1e-05 | 0 | 3e-04 | 9e-05 | 0 | 0.00035 | 0.15 | 6 / 38 (16%) | 3 / 19 (16%) | 3 / 19 (16%) | 0.158 | 0.158 |
| 2.A.46.1.9 | The Benzoate:H+ Symporter (BenE) Family | 0.63 | 0.92 | 1 | 0.28 | 0.85 | 1 | 0.00023 | 3.1e-05 | 0 | 2.9e-05 | 0 | 9.5e-05 | 3.2e-05 | 0 | 0.00013 | 0.14 | 5 / 38 (13%) | 3 / 19 (16%) | 2 / 19 (11%) | 0.158 | 0.105 |
| 5.A.3.3.1 | The Prokaryotic Molybdopterin-containing Oxidoreductase (PMO) Family | 0.3 | 0.83 | 1 | 0.44 | 0.87 | 1 | 0.00076 | 0.00012 | 0 | 9.4e-05 | 0 | 0.00036 | 0.00014 | 0 | 0.00047 | 0.57 | 6 / 38 (16%) | 2 / 19 (11%) | 4 / 19 (21%) | 0.105 | 0.211 |
| 2.A.3.1.15 | The Amino Acid-Polyamine-Organocation (APC) Family | 0.15 | 0.79 | 1 | 0.45 | 0.87 | 1 | 0.00063 | 5e-05 | 0 | 4.3e-05 | 0 | 0.00019 | 5.7e-05 | 0 | 0.00024 | 0.41 | 3 / 38 (7.9%) | 1 / 19 (5.3%) | 2 / 19 (11%) | 0.0526 | 0.105 |
| 9.B.127.1.1 | The DUF2919 (PF11143) Family | 0.66 | 0.92 | 1 | 0.99 | 1 | 1 | 0.00014 | 1.8e-05 | 0 | 1.5e-05 | 0 | 4.9e-05 | 2.1e-05 | 0 | 8.1e-05 | 0.49 | 5 / 38 (13%) | 2 / 19 (11%) | 3 / 19 (16%) | 0.105 | 0.158 |
| 3.A.1.113.3 | The ATP-binding Cassette (ABC) Superfamily | 0.17 | 0.79 | 1 | 0.23 | 0.85 | 1 | 0.00039 | 6.1e-05 | 0 | 5.5e-05 | 0 | 0.00023 | 6.7e-05 | 0 | 0.00022 | 0.28 | 6 / 38 (16%) | 2 / 19 (11%) | 4 / 19 (21%) | 0.105 | 0.211 |
| 2.A.1.1.114 | The Major Facilitator Superfamily (MFS) | 0.071 | 0.79 | 1 | 0.16 | 0.85 | 1 | 0.00038 | 4e-05 | 0 | 2.1e-05 | 0 | 9.3e-05 | 5.8e-05 | 0 | 0.00022 | 1.5 | 4 / 38 (11%) | 1 / 19 (5.3%) | 3 / 19 (16%) | 0.0526 | 0.158 |
| 5.B.7.1.1 | The YedZ (YedZ) Family | 0.16 | 0.79 | 1 | 0.44 | 0.87 | 1 | 0.00028 | 2.2e-05 | 0 | 1.8e-05 | 0 | 7.8e-05 | 2.6e-05 | 0 | 0.00011 | 0.53 | 3 / 38 (7.9%) | 1 / 19 (5.3%) | 2 / 19 (11%) | 0.0526 | 0.105 |
| 2.A.2.2.1 | The Glycoside-Pentoside-Hexuronide (GPH):Cation Symporter Family | 0.99 | 1 | 1 | 0.25 | 0.85 | 1 | 0.00031 | 0.00021 | 9.9e-05 | 0.00015 | 0.00011 | 0.00015 | 0.00028 | 9.6e-05 | 0.00058 | 0.9 | 26 / 38 (68%) | 16 / 19 (84%) | 10 / 19 (53%) | 0.842 | 0.526 |
| 1.B.22.1.3 | The Outer Bacterial Membrane Secretin (Secretin) Family | 0.09 | 0.79 | 1 | 0.17 | 0.85 | 1 | 0.00062 | 0.00015 | 0 | 0.00012 | 0 | 0.00048 | 0.00017 | 0 | 0.00067 | 0.5 | 9 / 38 (24%) | 3 / 19 (16%) | 6 / 19 (32%) | 0.158 | 0.316 |
| 3.A.1.11.1 | The ATP-binding Cassette (ABC) Superfamily | 0.67 | 0.92 | 1 | 0.85 | 0.97 | 1 | 0.00074 | 7.8e-05 | 0 | 7.4e-05 | 0 | 0.00031 | 8.1e-05 | 0 | 0.00026 | 0.13 | 4 / 38 (11%) | 2 / 19 (11%) | 2 / 19 (11%) | 0.105 | 0.105 |
| 3.A.1.31.1 | The ATP-binding Cassette (ABC) Superfamily | 0.57 | 0.9 | 1 | 0.74 | 0.94 | 1 | 0.0017 | 0.0013 | 0.00087 | 0.0013 | 9e-04 | 0.0013 | 0.0014 | 0.00077 | 0.0019 | 0.11 | 29 / 38 (76%) | 14 / 19 (74%) | 15 / 19 (79%) | 0.737 | 0.789 |
| 8.A.1.1.1 | The Membrane Fusion Protein (MFP) Family | 0.084 | 0.79 | 1 | 0.14 | 0.85 | 1 | 0.00047 | 5e-05 | 0 | 3.6e-05 | 0 | 0.00016 | 6.4e-05 | 0 | 0.00027 | 0.83 | 4 / 38 (11%) | 1 / 19 (5.3%) | 3 / 19 (16%) | 0.0526 | 0.158 |
| 2.A.113.1.1 | The Nickel/cobalt Transporter (NicO) Family | 0.9 | 0.98 | 1 | 0.88 | 0.98 | 1 | 0.00055 | 5.8e-05 | 0 | 6.7e-05 | 0 | 0.00026 | 5e-05 | 0 | 0.00017 | -0.42 | 4 / 38 (11%) | 2 / 19 (11%) | 2 / 19 (11%) | 0.105 | 0.105 |
| 2.A.40.5.1 | The Nucleobase/Ascorbate Transporter (NAT) or Nucleobase:Cation Symporter-2 (NCS2) Family | 0.39 | 0.84 | 1 | 0.38 | 0.87 | 1 | 4e-04 | 4.2e-05 | 0 | 4.4e-05 | 0 | 0.00019 | 3.9e-05 | 0 | 0.00016 | -0.17 | 4 / 38 (11%) | 2 / 19 (11%) | 2 / 19 (11%) | 0.105 | 0.105 |
| 2.A.49.5.1 | The Chloride Carrier/Channel (ClC) Family | 0.58 | 0.9 | 1 | 0.92 | 0.99 | 1 | 0.00055 | 5.8e-05 | 0 | 4.7e-05 | 0 | 0.00019 | 6.8e-05 | 0 | 0.00025 | 0.53 | 4 / 38 (11%) | 2 / 19 (11%) | 2 / 19 (11%) | 0.105 | 0.105 |
| 1.C.11.1.3 | The Pore-forming RTX Toxin (RTX-toxin) Family | 0.17 | 0.79 | 1 | 0.29 | 0.85 | 1 | 0.00021 | 1.6e-05 | 0 | 6e-06 | 0 | 2.6e-05 | 2.7e-05 | 0 | 0.00011 | 2.2 | 3 / 38 (7.9%) | 1 / 19 (5.3%) | 2 / 19 (11%) | 0.0526 | 0.105 |
| 9.A.8.1.1 | The Ferrous Iron Uptake (FeoB) Family | 0.69 | 0.92 | 1 | 0.54 | 0.89 | 1 | 0.00046 | 9.6e-05 | 0 | 9.6e-05 | 0 | 0.00034 | 9.6e-05 | 0 | 0.00038 | 0 | 8 / 38 (21%) | 4 / 19 (21%) | 4 / 19 (21%) | 0.211 | 0.211 |
| 3.A.1.105.17 | The ATP-binding Cassette (ABC) Superfamily | 0.59 | 0.9 | 1 | 0.52 | 0.89 | 1 | 0.00044 | 8.1e-05 | 0 | 8.6e-05 | 0 | 0.00032 | 7.6e-05 | 0 | 3e-04 | -0.18 | 7 / 38 (18%) | 4 / 19 (21%) | 3 / 19 (16%) | 0.211 | 0.158 |
| 2.A.3.7.2 | The Amino Acid-Polyamine-Organocation (APC) Family | 0.45 | 0.86 | 1 | 0.56 | 0.89 | 1 | 0.00021 | 1.7e-05 | 0 | 6.2e-06 | 0 | 2.7e-05 | 2.7e-05 | 0 | 0.00011 | 2.1 | 3 / 38 (7.9%) | 1 / 19 (5.3%) | 2 / 19 (11%) | 0.0526 | 0.105 |
| 2.A.1.2.21 | The Major Facilitator Superfamily (MFS) | 0.89 | 0.98 | 1 | 0.99 | 1 | 1 | 0.00025 | 1.9e-05 | 0 | 2.5e-05 | 0 | 0.00011 | 1.4e-05 | 0 | 5.4e-05 | -0.84 | 3 / 38 (7.9%) | 1 / 19 (5.3%) | 2 / 19 (11%) | 0.0526 | 0.105 |
| 4.A.2.1.11 | The PTS Fructose-Mannitol (Fru) Family | 0.55 | 0.89 | 1 | 0.9 | 0.99 | 1 | 0.00069 | 0.00013 | 0 | 9.9e-05 | 0 | 0.00037 | 0.00016 | 0 | 0.00062 | 0.69 | 7 / 38 (18%) | 3 / 19 (16%) | 4 / 19 (21%) | 0.158 | 0.211 |
| 4.A.2.1.2 | The PTS Fructose-Mannitol (Fru) Family | 0.88 | 0.98 | 1 | 1 | 1 | 1 | 0.00037 | 5.8e-05 | 0 | 6.1e-05 | 0 | 0.00023 | 5.6e-05 | 0 | 0.00019 | -0.12 | 6 / 38 (16%) | 3 / 19 (16%) | 3 / 19 (16%) | 0.158 | 0.158 |
| 2.A.17.1.3 | The Proton-dependent Oligopeptide Transporter (POT/PTR) Family | 0.11 | 0.79 | 1 | 0.19 | 0.85 | 1 | 0.00033 | 5.2e-05 | 0 | 3.7e-05 | 0 | 0.00016 | 6.7e-05 | 0 | 0.00024 | 0.86 | 6 / 38 (16%) | 2 / 19 (11%) | 4 / 19 (21%) | 0.105 | 0.211 |
| 9.B.158.1.2 | The Cut Copper Homeostasis (Cut) Family | 0.91 | 0.98 | 1 | 0.45 | 0.87 | 1 | 0.00028 | 2.2e-05 | 0 | 1.3e-05 | 0 | 3.9e-05 | 3.1e-05 | 0 | 0.00014 | 1.3 | 3 / 38 (7.9%) | 2 / 19 (11%) | 1 / 19 (5.3%) | 0.105 | 0.0526 |
| 1.A.30.1.1 | The H+- or Na+-translocating Bacterial Flagellar Motor/ExbBD Outer Membrane Transport Energizer (Mot/Exb) Superfamily | 0.58 | 0.9 | 1 | 0.63 | 0.9 | 1 | 0.00019 | 3e-05 | 0 | 2.7e-05 | 0 | 8.6e-05 | 3.4e-05 | 0 | 9.5e-05 | 0.33 | 6 / 38 (16%) | 2 / 19 (11%) | 4 / 19 (21%) | 0.105 | 0.211 |
| 2.A.1.36.1 | The Major Facilitator Superfamily (MFS) | 0.48 | 0.86 | 1 | 0.68 | 0.92 | 1 | 0.00053 | 4.2e-05 | 0 | 1.6e-05 | 0 | 6.2e-05 | 6.8e-05 | 0 | 3e-04 | 2.1 | 3 / 38 (7.9%) | 2 / 19 (11%) | 1 / 19 (5.3%) | 0.105 | 0.0526 |
| 2.A.1.60.2 | The Major Facilitator Superfamily (MFS) | 0.28 | 0.83 | 1 | 0.62 | 0.9 | 1 | 6e-04 | 6.3e-05 | 0 | 3.4e-05 | 0 | 0.00014 | 9.3e-05 | 0 | 0.00038 | 1.5 | 4 / 38 (11%) | 2 / 19 (11%) | 2 / 19 (11%) | 0.105 | 0.105 |
| 1.A.106.2.3 | The Calcium Load-activated Calcium Channel (CLAC) Family | 0.31 | 0.83 | 1 | 0.47 | 0.87 | 1 | 9.1e-05 | 1.2e-05 | 0 | 9.1e-06 | 0 | 3.3e-05 | 1.5e-05 | 0 | 3.7e-05 | 0.72 | 5 / 38 (13%) | 2 / 19 (11%) | 3 / 19 (16%) | 0.105 | 0.158 |
| 2.A.115.2.12 | The Novobiocin Exporter (NbcE) Family | 0.34 | 0.84 | 1 | 0.61 | 0.9 | 1 | 0.00049 | 0.00045 | 0.00026 | 0.00053 | 0.00034 | 0.00047 | 0.00036 | 0.00024 | 3e-04 | -0.56 | 35 / 38 (92%) | 17 / 19 (89%) | 18 / 19 (95%) | 0.895 | 0.947 |
| 2.A.23.1.1 | The Dicarboxylate/Amino Acid:Cation (Na+ or H+) Symporter (DAACS) Family | 0.29 | 0.83 | 1 | 0.41 | 0.87 | 1 | 5e-04 | 4e-05 | 0 | 3.6e-05 | 0 | 0.00016 | 4.4e-05 | 0 | 0.00016 | 0.29 | 3 / 38 (7.9%) | 1 / 19 (5.3%) | 2 / 19 (11%) | 0.0526 | 0.105 |
| 3.A.1.5.38 | The ATP-binding Cassette (ABC) Superfamily | 0.47 | 0.86 | 1 | 0.53 | 0.89 | 1 | 0.00015 | 1.2e-05 | 0 | 7.8e-06 | 0 | 3.4e-05 | 1.6e-05 | 0 | 5.6e-05 | 1 | 3 / 38 (7.9%) | 1 / 19 (5.3%) | 2 / 19 (11%) | 0.0526 | 0.105 |
| 2.A.7.3.12 | The Drug/Metabolite Transporter (DMT) Superfamily | 0.26 | 0.82 | 1 | 0.22 | 0.85 | 1 | 0.00027 | 4.3e-05 | 0 | 6e-05 | 0 | 0.00019 | 2.7e-05 | 0 | 0.00011 | -1.2 | 6 / 38 (16%) | 3 / 19 (16%) | 3 / 19 (16%) | 0.158 | 0.158 |
| 1.B.1.1.21 | The General Bacterial Porin (GBP) Family | 0.3 | 0.83 | 1 | 0.056 | 0.85 | 1 | 0.00033 | 2.6e-05 | 0 | 2.7e-05 | 0 | 0.00011 | 2.5e-05 | 0 | 0.00011 | -0.11 | 3 / 38 (7.9%) | 2 / 19 (11%) | 1 / 19 (5.3%) | 0.105 | 0.0526 |
| 4.A.4.1.1 | The PTS Glucitol (Gut) Family | 0.096 | 0.79 | 1 | 0.19 | 0.85 | 1 | 0.00039 | 7.1e-05 | 0 | 4.6e-05 | 0 | 0.00019 | 9.7e-05 | 0 | 0.00035 | 1.1 | 7 / 38 (18%) | 2 / 19 (11%) | 5 / 19 (26%) | 0.105 | 0.263 |
| 2.A.6.2.7 | The Resistance-Nodulation-Cell Division (RND) Superfamily | 0.041 | 0.79 | 1 | 0.11 | 0.85 | 1 | 0.00082 | 0.00011 | 0 | 7.1e-05 | 0 | 0.00031 | 0.00015 | 0 | 0.00057 | 1.1 | 5 / 38 (13%) | 1 / 19 (5.3%) | 4 / 19 (21%) | 0.0526 | 0.211 |
| 1.B.39.1.6 | The Bacterial Porin. OmpW (OmpW) Family | 0.86 | 0.97 | 1 | 0.76 | 0.95 | 1 | 0.00012 | 1.3e-05 | 0 | 1.6e-05 | 0 | 6.2e-05 | 1e-05 | 0 | 3.2e-05 | -0.68 | 4 / 38 (11%) | 2 / 19 (11%) | 2 / 19 (11%) | 0.105 | 0.105 |
| 9.B.27.2.1 | The DedA or YdjX-Z (DedA) Family | 0.15 | 0.79 | 1 | 0.14 | 0.85 | 1 | 0.00025 | 2e-05 | 0 | 2.8e-05 | 0 | 0.00011 | 1.2e-05 | 0 | 5.4e-05 | -1.2 | 3 / 38 (7.9%) | 2 / 19 (11%) | 1 / 19 (5.3%) | 0.105 | 0.0526 |
| 9.B.126.2.1 | The Putative Lipid IV Exporter (YhjD) Family | 0.84 | 0.97 | 1 | 0.53 | 0.89 | 1 | 0.00044 | 5.8e-05 | 0 | 5.4e-05 | 0 | 2e-04 | 6.2e-05 | 0 | 0.00024 | 0.2 | 5 / 38 (13%) | 3 / 19 (16%) | 2 / 19 (11%) | 0.158 | 0.105 |
| 4.A.5.1.1 | The PTS Galactitol (Gat) Family | 0.66 | 0.92 | 1 | 0.69 | 0.92 | 1 | 5e-04 | 7.9e-05 | 0 | 8.8e-05 | 0 | 0.00033 | 7e-05 | 0 | 0.00027 | -0.33 | 6 / 38 (16%) | 3 / 19 (16%) | 3 / 19 (16%) | 0.158 | 0.158 |
| 2.A.5.5.1 | The Zinc (Zn2+)-Iron (Fe2+) Permease (ZIP) Family | 0.18 | 0.79 | 1 | 0.13 | 0.85 | 1 | 0.00034 | 2.7e-05 | 0 | 3.5e-05 | 0 | 0.00013 | 1.9e-05 | 0 | 8.1e-05 | -0.88 | 3 / 38 (7.9%) | 2 / 19 (11%) | 1 / 19 (5.3%) | 0.105 | 0.0526 |
| 2.A.95.1.5 | The 6 TMS Neutral Amino Acid Transporter (NAAT) Family | 0.15 | 0.79 | 1 | 0.38 | 0.87 | 1 | 0.00019 | 1.5e-05 | 0 | 1.1e-05 | 0 | 4.7e-05 | 2e-05 | 0 | 8.1e-05 | 0.86 | 3 / 38 (7.9%) | 1 / 19 (5.3%) | 2 / 19 (11%) | 0.0526 | 0.105 |
| 5.A.2.1.2 | The Disulfide Bond Oxidoreductase B (DsbB) Family | 0.19 | 0.79 | 1 | 0.33 | 0.87 | 1 | 0.00059 | 9.2e-05 | 0 | 4.2e-05 | 0 | 0.00016 | 0.00014 | 0 | 0.00057 | 1.7 | 6 / 38 (16%) | 2 / 19 (11%) | 4 / 19 (21%) | 0.105 | 0.211 |
| 2.A.1.2.22 | The Major Facilitator Superfamily (MFS) | 0.22 | 0.79 | 1 | 0.46 | 0.87 | 1 | 0.00051 | 6.8e-05 | 0 | 3.7e-05 | 0 | 0.00016 | 9.8e-05 | 0 | 4e-04 | 1.4 | 5 / 38 (13%) | 2 / 19 (11%) | 3 / 19 (16%) | 0.105 | 0.158 |
| 3.A.1.2.23 | The ATP-binding Cassette (ABC) Superfamily | 0.31 | 0.83 | 1 | 0.64 | 0.91 | 1 | 0.0037 | 0.003 | 0.0019 | 0.0029 | 0.0026 | 0.0027 | 0.0032 | 0.0015 | 0.0051 | 0.14 | 31 / 38 (82%) | 15 / 19 (79%) | 16 / 19 (84%) | 0.789 | 0.842 |
| 9.B.318.1.1 | The YjgJ or DUF898 (DUF898) Family | 0.4 | 0.84 | 1 | 0.56 | 0.89 | 1 | 0.00018 | 1.4e-05 | 0 | 4.7e-06 | 0 | 2e-05 | 2.3e-05 | 0 | 8.4e-05 | 2.3 | 3 / 38 (7.9%) | 1 / 19 (5.3%) | 2 / 19 (11%) | 0.0526 | 0.105 |
| 2.A.1.64.1 | The Major Facilitator Superfamily (MFS) | 0.44 | 0.86 | 1 | 0.58 | 0.89 | 1 | 0.00021 | 7.3e-05 | 0 | 4.6e-05 | 0 | 0.00011 | 1e-04 | 0 | 0.00027 | 1.1 | 13 / 38 (34%) | 6 / 19 (32%) | 7 / 19 (37%) | 0.316 | 0.368 |
| 2.A.1.14.7 | The Major Facilitator Superfamily (MFS) | 0.38 | 0.84 | 1 | 0.28 | 0.85 | 1 | 0.00044 | 4.6e-05 | 0 | 5.5e-05 | 0 | 0.00022 | 3.8e-05 | 0 | 0.00016 | -0.53 | 4 / 38 (11%) | 2 / 19 (11%) | 2 / 19 (11%) | 0.105 | 0.105 |
| 2.A.1.7.5 | The Major Facilitator Superfamily (MFS) | 0.17 | 0.79 | 1 | 0.32 | 0.87 | 1 | 0.0013 | 1e-04 | 0 | 6.1e-05 | 0 | 0.00026 | 0.00015 | 0 | 0.00062 | 1.3 | 3 / 38 (7.9%) | 1 / 19 (5.3%) | 2 / 19 (11%) | 0.0526 | 0.105 |
| 9.B.32.1.1 | The DUF3302 or Pfam11742 (YibI) Family | 0.23 | 0.81 | 1 | 0.24 | 0.85 | 1 | 0.00024 | 2.5e-05 | 0 | 1.8e-05 | 0 | 7.8e-05 | 3.2e-05 | 0 | 8.7e-05 | 0.83 | 4 / 38 (11%) | 1 / 19 (5.3%) | 3 / 19 (16%) | 0.0526 | 0.158 |
| 2.A.10.1.2 | The 2-Keto-3-Deoxygluconate Transporter (KdgT) Family | 0.28 | 0.83 | 1 | 0.21 | 0.85 | 1 | 2e-04 | 2.6e-05 | 0 | 3.2e-05 | 0 | 0.00011 | 2e-05 | 0 | 8.1e-05 | -0.68 | 5 / 38 (13%) | 3 / 19 (16%) | 2 / 19 (11%) | 0.158 | 0.105 |
| 9.B.50.1.1 | The Outer Membrane Beta-barrel Endoprotease. Omptin (Omptin) Family | 0.78 | 0.95 | 1 | 0.91 | 0.99 | 1 | 0.00048 | 5.1e-05 | 0 | 4.5e-05 | 0 | 0.00017 | 5.7e-05 | 0 | 0.00022 | 0.34 | 4 / 38 (11%) | 2 / 19 (11%) | 2 / 19 (11%) | 0.105 | 0.105 |
| 4.C.1.1.4 | The Fatty Acid Transporter (FAT) Family | 0.36 | 0.84 | 1 | 0.37 | 0.87 | 1 | 0.00043 | 5.6e-05 | 0 | 6.5e-05 | 0 | 0.00022 | 4.7e-05 | 0 | 0.00019 | -0.47 | 5 / 38 (13%) | 3 / 19 (16%) | 2 / 19 (11%) | 0.158 | 0.105 |
| 2.A.5.5.5 | The Zinc (Zn2+)-Iron (Fe2+) Permease (ZIP) Family | 0.5 | 0.86 | 1 | 0.29 | 0.85 | 1 | 0.00023 | 7.9e-05 | 0 | 8.3e-05 | 0 | 0.00015 | 7.5e-05 | 0 | 0.00015 | -0.15 | 13 / 38 (34%) | 8 / 19 (42%) | 5 / 19 (26%) | 0.421 | 0.263 |
| 3.A.1.1.1 | The ATP-binding Cassette (ABC) Superfamily | 0.68 | 0.92 | 1 | 0.95 | 0.99 | 1 | 0.00074 | 0.00018 | 0 | 0.00015 | 0 | 0.00051 | 0.00021 | 0 | 0.00081 | 0.49 | 9 / 38 (24%) | 4 / 19 (21%) | 5 / 19 (26%) | 0.211 | 0.263 |
| 9.B.121.1.3 | The AsmA (AsmA) Family | 0.2 | 0.79 | 1 | 0.28 | 0.85 | 1 | 0.00043 | 8e-05 | 0 | 6.5e-05 | 0 | 0.00026 | 9.4e-05 | 0 | 3e-04 | 0.53 | 7 / 38 (18%) | 2 / 19 (11%) | 5 / 19 (26%) | 0.105 | 0.263 |
| 1.A.23.3.2 | The Small Conductance Mechanosensitive Ion Channel (MscS) Family | 0.19 | 0.79 | 1 | 0.41 | 0.87 | 1 | 6e-04 | 4.7e-05 | 0 | 3.2e-05 | 0 | 0.00014 | 6.2e-05 | 0 | 0.00022 | 0.95 | 3 / 38 (7.9%) | 1 / 19 (5.3%) | 2 / 19 (11%) | 0.0526 | 0.105 |
| 1.B.57.4.2 | The Legionella Major-Outer Membrane Protein (LM-OMP) Family | 0.61 | 0.91 | 1 | 0.59 | 0.9 | 1 | 2e-04 | 5.3e-05 | 0 | 4.8e-05 | 0 | 0.00012 | 5.8e-05 | 0 | 0.00012 | 0.27 | 10 / 38 (26%) | 4 / 19 (21%) | 6 / 19 (32%) | 0.211 | 0.316 |
| 2.A.76.1.4 | The Resistance to Homoserine/Threonine (RhtB) Family | 0.59 | 0.9 | 1 | 0.43 | 0.87 | 1 | 0.00016 | 1.7e-05 | 0 | 2e-05 | 0 | 6.6e-05 | 1.4e-05 | 0 | 5.4e-05 | -0.51 | 4 / 38 (11%) | 2 / 19 (11%) | 2 / 19 (11%) | 0.105 | 0.105 |
| 2.A.75.1.2 | The L-Lysine Exporter (LysE) Family | 0.8 | 0.95 | 1 | 0.81 | 0.96 | 1 | 0.00024 | 4.5e-05 | 0 | 5.2e-05 | 0 | 0.00019 | 3.8e-05 | 0 | 0.00013 | -0.45 | 7 / 38 (18%) | 3 / 19 (16%) | 4 / 19 (21%) | 0.158 | 0.211 |
| 1.A.13.2.3 | The Epithelial Chloride Channel (E-ClC) Family | 0.15 | 0.79 | 1 | 0.36 | 0.87 | 1 | 0.00074 | 5.9e-05 | 0 | 4.6e-05 | 0 | 2e-04 | 7.1e-05 | 0 | 3e-04 | 0.63 | 3 / 38 (7.9%) | 1 / 19 (5.3%) | 2 / 19 (11%) | 0.0526 | 0.105 |
| 3.A.1.14.18 | The ATP-binding Cassette (ABC) Superfamily | 0.99 | 1 | 1 | 0.23 | 0.85 | 1 | 0.00072 | 9.5e-05 | 0 | 7.7e-05 | 0 | 0.00028 | 0.00011 | 0 | 0.00046 | 0.51 | 5 / 38 (13%) | 3 / 19 (16%) | 2 / 19 (11%) | 0.158 | 0.105 |
| 3.A.1.15.3 | The ATP-binding Cassette (ABC) Superfamily | 0.68 | 0.92 | 1 | 0.26 | 0.85 | 1 | 0.00014 | 3.6e-05 | 0 | 2.7e-05 | 0 | 4.7e-05 | 4.5e-05 | 0 | 0.00018 | 0.74 | 10 / 38 (26%) | 6 / 19 (32%) | 4 / 19 (21%) | 0.316 | 0.211 |
| 2.A.3.1.23 | The Amino Acid-Polyamine-Organocation (APC) Family | 0.79 | 0.95 | 1 | 0.58 | 0.89 | 1 | 0.00038 | 6e-05 | 0 | 4.3e-05 | 0 | 0.00016 | 7.7e-05 | 0 | 0.00032 | 0.84 | 6 / 38 (16%) | 3 / 19 (16%) | 3 / 19 (16%) | 0.158 | 0.158 |
| 1.A.112.2.5 | The Cyclin M Mg2+ Exporter (CNNM) Family | 0.13 | 0.79 | 1 | 0.18 | 0.85 | 1 | 0.00025 | 4.6e-05 | 0 | 3e-05 | 0 | 0.00011 | 6.3e-05 | 0 | 0.00019 | 1.1 | 7 / 38 (18%) | 2 / 19 (11%) | 5 / 19 (26%) | 0.105 | 0.263 |
| 9.B.97.7.1 | The Acyltransferase-3/Putative Acetyl-CoA Transporter (ATAT) Family | 0.18 | 0.79 | 1 | 0.5 | 0.87 | 1 | 0.00059 | 4.7e-05 | 0 | 4.3e-05 | 0 | 0.00019 | 5.1e-05 | 0 | 0.00022 | 0.25 | 3 / 38 (7.9%) | 1 / 19 (5.3%) | 2 / 19 (11%) | 0.0526 | 0.105 |
| 2.A.114.1.1 | The Putative Peptide Transporter Carbon Starvation CstA (CstA) Family | 0.71 | 0.92 | 1 | 0.4 | 0.87 | 1 | 0.00049 | 1e-04 | 0 | 9.5e-05 | 0 | 0.00034 | 0.00011 | 0 | 0.00046 | 0.21 | 8 / 38 (21%) | 4 / 19 (21%) | 4 / 19 (21%) | 0.211 | 0.211 |
| 2.A.1.1.115 | The Major Facilitator Superfamily (MFS) | 0.45 | 0.86 | 1 | 0.17 | 0.85 | 1 | 0.00024 | 3.1e-05 | 0 | 3e-05 | 0 | 8.3e-05 | 3.3e-05 | 0 | 0.00013 | 0.14 | 5 / 38 (13%) | 3 / 19 (16%) | 2 / 19 (11%) | 0.158 | 0.105 |
| 2.A.1.10.1 | The Major Facilitator Superfamily (MFS) | 0.081 | 0.79 | 1 | 0.2 | 0.85 | 1 | 0.00054 | 5.7e-05 | 0 | 4.3e-05 | 0 | 0.00019 | 7.1e-05 | 0 | 0.00027 | 0.72 | 4 / 38 (11%) | 1 / 19 (5.3%) | 3 / 19 (16%) | 0.0526 | 0.158 |
| 2.A.41.1.1 | The Concentrative Nucleoside Transporter (CNT) Family | 0.16 | 0.79 | 1 | 0.14 | 0.85 | 1 | 0.00026 | 3.4e-05 | 0 | 5.4e-05 | 0 | 2e-04 | 1.4e-05 | 0 | 5.4e-05 | -1.9 | 5 / 38 (13%) | 3 / 19 (16%) | 2 / 19 (11%) | 0.158 | 0.105 |
| 3.A.1.14.2 | The ATP-binding Cassette (ABC) Superfamily | 0.9 | 0.98 | 1 | 0.82 | 0.97 | 1 | 0.00086 | 9e-05 | 0 | 9.6e-05 | 0 | 4e-04 | 8.5e-05 | 0 | 0.00035 | -0.18 | 4 / 38 (11%) | 2 / 19 (11%) | 2 / 19 (11%) | 0.105 | 0.105 |
| 1.A.1.13.1 | The Voltage-gated Ion Channel (VIC) Superfamily | 0.22 | 0.79 | 1 | 0.16 | 0.85 | 1 | 3e-04 | 4e-05 | 0 | 4.7e-05 | 0 | 0.00017 | 3.3e-05 | 0 | 0.00013 | -0.51 | 5 / 38 (13%) | 3 / 19 (16%) | 2 / 19 (11%) | 0.158 | 0.105 |
| 2.A.33.1.1 | The NhaA Na+:H+ Antiporter (NhaA) Family | 0.95 | 0.99 | 1 | 0.58 | 0.89 | 1 | 0.00061 | 6.5e-05 | 0 | 5.9e-05 | 0 | 0.00023 | 7e-05 | 0 | 3e-04 | 0.25 | 4 / 38 (11%) | 2 / 19 (11%) | 2 / 19 (11%) | 0.105 | 0.105 |
| 3.A.1.5.41 | The ATP-binding Cassette (ABC) Superfamily | 0.33 | 0.84 | 1 | 0.62 | 0.9 | 1 | 0.00088 | 0.00026 | 0 | 0.00021 | 0 | 8e-04 | 3e-04 | 0 | 0.0011 | 0.51 | 11 / 38 (29%) | 5 / 19 (26%) | 6 / 19 (32%) | 0.263 | 0.316 |
| 9.A.41.1.2 | The Capsular Polysaccharide Exporter (CPS-E) Family | 0.24 | 0.81 | 1 | 0.7 | 0.92 | 1 | 0.00058 | 7.6e-05 | 0 | 6.9e-05 | 0 | 3e-04 | 8.3e-05 | 0 | 0.00035 | 0.27 | 5 / 38 (13%) | 2 / 19 (11%) | 3 / 19 (16%) | 0.105 | 0.158 |
| 2.A.56.1.2 | The Tripartite ATP-independent Periplasmic Transporter (TRAP-T) Family | 0.63 | 0.92 | 1 | 0.71 | 0.93 | 1 | 0.00033 | 4.3e-05 | 0 | 4.2e-05 | 0 | 0.00017 | 4.4e-05 | 0 | 0.00014 | 0.067 | 5 / 38 (13%) | 2 / 19 (11%) | 3 / 19 (16%) | 0.105 | 0.158 |
| 3.A.6.2.1 | The Type III (Virulence-related) Secretory Pathway (IIISP) Family | 0.18 | 0.79 | 1 | 0.053 | 0.85 | 1 | 0.00022 | 2.3e-05 | 0 | 4.5e-05 | 0 | 0.00017 | 8.4e-07 | 0 | 3.7e-06 | -5.7 | 4 / 38 (11%) | 3 / 19 (16%) | 1 / 19 (5.3%) | 0.158 | 0.0526 |
| 2.A.19.5.1 | The Ca2+:Cation Antiporter (CaCA) Family | 0.34 | 0.84 | 1 | 0.23 | 0.85 | 1 | 0.00054 | 5.7e-05 | 0 | 6.1e-05 | 0 | 0.00026 | 5.4e-05 | 0 | 0.00019 | -0.18 | 4 / 38 (11%) | 1 / 19 (5.3%) | 3 / 19 (16%) | 0.0526 | 0.158 |
| 4.A.7.1.1 | The PTS L-Ascorbate (L-Asc) Family | 0.17 | 0.79 | 1 | 0.28 | 0.85 | 1 | 0.00022 | 2.9e-05 | 0 | 6.7e-06 | 0 | 2e-05 | 5.2e-05 | 0 | 0.00015 | 3 | 5 / 38 (13%) | 2 / 19 (11%) | 3 / 19 (16%) | 0.105 | 0.158 |
| 9.A.69.1.1 | The Intermembrane Phospholipid Translocase (IMPL-T) Family | 0.46 | 0.86 | 1 | 0.22 | 0.85 | 1 | 0.0011 | 0.00014 | 0 | 0.00014 | 0 | 0.00054 | 0.00014 | 0 | 0.00062 | 0 | 5 / 38 (13%) | 3 / 19 (16%) | 2 / 19 (11%) | 0.158 | 0.105 |
| 2.A.21.7.2 | The Solute:Sodium Symporter (SSS) Family | 0.49 | 0.86 | 1 | 0.86 | 0.97 | 1 | 0.00039 | 6.1e-05 | 0 | 4.3e-05 | 0 | 0.00016 | 8e-05 | 0 | 3e-04 | 0.9 | 6 / 38 (16%) | 3 / 19 (16%) | 3 / 19 (16%) | 0.158 | 0.158 |
| 2.A.85.1.1 | The Aromatic Acid Exporter (ArAE) Family | 0.4 | 0.84 | 1 | 0.33 | 0.87 | 1 | 0.00065 | 6.8e-05 | 0 | 8e-05 | 0 | 0.00034 | 5.7e-05 | 0 | 0.00024 | -0.49 | 4 / 38 (11%) | 2 / 19 (11%) | 2 / 19 (11%) | 0.105 | 0.105 |
| 2.A.36.6.11 | The Monovalent Cation:Proton Antiporter-1 (CPA1) Family | 0.69 | 0.92 | 1 | 0.92 | 0.99 | 1 | 0.00032 | 5.1e-05 | 0 | 7.6e-05 | 0 | 0.00031 | 2.5e-05 | 0 | 8.2e-05 | -1.6 | 6 / 38 (16%) | 2 / 19 (11%) | 4 / 19 (21%) | 0.105 | 0.211 |
| 8.A.1.6.3 | The Membrane Fusion Protein (MFP) Family | 0.87 | 0.97 | 1 | 0.97 | 1 | 1 | 0.00042 | 4.4e-05 | 0 | 4.4e-05 | 0 | 0.00017 | 4.4e-05 | 0 | 0.00014 | 0 | 4 / 38 (11%) | 2 / 19 (11%) | 2 / 19 (11%) | 0.105 | 0.105 |
| 3.A.1.2.22 | The ATP-binding Cassette (ABC) Superfamily | 0.41 | 0.85 | 1 | 0.81 | 0.96 | 1 | 0.0034 | 0.0029 | 0.0021 | 0.0027 | 0.0024 | 0.0025 | 0.003 | 0.0021 | 0.0039 | 0.15 | 32 / 38 (84%) | 16 / 19 (84%) | 16 / 19 (84%) | 0.842 | 0.842 |
| 1.C.126.1.2 | The HlyC HlyC) Family of Haemolysins | 0.16 | 0.79 | 1 | 0.64 | 0.91 | 1 | 0.00021 | 1.7e-05 | 0 | 1.4e-05 | 0 | 6.2e-05 | 1.9e-05 | 0 | 8.1e-05 | 0.44 | 3 / 38 (7.9%) | 1 / 19 (5.3%) | 2 / 19 (11%) | 0.0526 | 0.105 |
| 2.A.15.1.4 | The Betaine/Carnitine/Choline Transporter (BCCT) Family | 0.22 | 0.79 | 1 | 0.42 | 0.87 | 1 | 0.00049 | 1e-04 | 0 | 7.2e-05 | 0 | 0.00028 | 0.00014 | 0 | 0.00054 | 0.96 | 8 / 38 (21%) | 3 / 19 (16%) | 5 / 19 (26%) | 0.158 | 0.263 |
| 2.A.7.3.2 | The Drug/Metabolite Transporter (DMT) Superfamily | 0.43 | 0.86 | 1 | 0.076 | 0.85 | 1 | 2e-04 | 2.1e-05 | 0 | 2.1e-05 | 0 | 7.8e-05 | 2e-05 | 0 | 8.1e-05 | -0.07 | 4 / 38 (11%) | 2 / 19 (11%) | 2 / 19 (11%) | 0.105 | 0.105 |
| 8.A.4.1.1 | The Cytoplasmic Membrane-Periplasmic Auxiliary-2 (MPA2) Family | 0.62 | 0.92 | 1 | 0.27 | 0.85 | 1 | 0.00041 | 5.4e-05 | 0 | 5e-05 | 0 | 0.00019 | 5.7e-05 | 0 | 0.00024 | 0.19 | 5 / 38 (13%) | 3 / 19 (16%) | 2 / 19 (11%) | 0.158 | 0.105 |
| 2.A.1.2.55 | The Major Facilitator Superfamily (MFS) | 0.026 | 0.79 | 1 | 0.049 | 0.85 | 1 | 0.00025 | 3.9e-05 | 0 | 2.5e-05 | 0 | 0.00011 | 5.4e-05 | 0 | 0.00016 | 1.1 | 6 / 38 (16%) | 1 / 19 (5.3%) | 5 / 19 (26%) | 0.0526 | 0.263 |
| 3.A.1.5.11 | The ATP-binding Cassette (ABC) Superfamily | 0.37 | 0.84 | 1 | 0.71 | 0.93 | 1 | 0.00067 | 8.8e-05 | 0 | 6.3e-05 | 0 | 0.00025 | 0.00011 | 0 | 0.00043 | 0.8 | 5 / 38 (13%) | 2 / 19 (11%) | 3 / 19 (16%) | 0.105 | 0.158 |
| 4.D.1.1.3 | The Putative Vectorial Glycosyl Polymerization (VGP) Family | 0.093 | 0.79 | 1 | 0.15 | 0.85 | 1 | 0.00047 | 4.9e-05 | 0 | 2.5e-05 | 0 | 0.00011 | 7.4e-05 | 0 | 3e-04 | 1.6 | 4 / 38 (11%) | 1 / 19 (5.3%) | 3 / 19 (16%) | 0.0526 | 0.158 |
| 9.B.169.1.2 | The Integral Membrane Protein (8 -10 TMSs) YeiB or DUF418 (YeiB) Family | 0.092 | 0.79 | 1 | 0.097 | 0.85 | 1 | 0.00035 | 5.5e-05 | 0 | 2.7e-05 | 0 | 0.00011 | 8.4e-05 | 0 | 0.00032 | 1.6 | 6 / 38 (16%) | 2 / 19 (11%) | 4 / 19 (21%) | 0.105 | 0.211 |
| 3.A.1.19.4 | The ATP-binding Cassette (ABC) Superfamily | 0.089 | 0.79 | 1 | 0.18 | 0.85 | 1 | 0.00058 | 9.2e-05 | 0 | 8.4e-05 | 0 | 0.00036 | 1e-04 | 0 | 4e-04 | 0.25 | 6 / 38 (16%) | 2 / 19 (11%) | 4 / 19 (21%) | 0.105 | 0.211 |
| 9.B.223.1.9 | The 4 TMS DUF2979 or YoaS (YoaS) Family | 0.58 | 0.9 | 1 | 0.46 | 0.87 | 1 | 0.00023 | 1.8e-05 | 0 | 2.6e-05 | 0 | 1e-04 | 1e-05 | 0 | 4.6e-05 | -1.4 | 3 / 38 (7.9%) | 2 / 19 (11%) | 1 / 19 (5.3%) | 0.105 | 0.0526 |
| 1.B.11.3.9 | The Outer Membrane Fimbrial Usher Porin (FUP) Family | 0.82 | 0.96 | 1 | 0.25 | 0.85 | 1 | 0.00097 | 0.00013 | 0 | 8e-05 | 0 | 0.00029 | 0.00018 | 0 | 0.00076 | 1.2 | 5 / 38 (13%) | 3 / 19 (16%) | 2 / 19 (11%) | 0.158 | 0.105 |
| 9.A.69.1.2 | The Intermembrane Phospholipid Translocase (IMPL-T) Family | 0.096 | 0.79 | 1 | 0.13 | 0.85 | 1 | 0.00054 | 0.00011 | 0 | 6.8e-05 | 0 | 0.00025 | 0.00016 | 0 | 0.00059 | 1.2 | 8 / 38 (21%) | 3 / 19 (16%) | 5 / 19 (26%) | 0.158 | 0.263 |
| 2.A.108.2.3 | The Iron/Lead Transporter (ILT) Family | 0.099 | 0.79 | 1 | 0.17 | 0.85 | 1 | 0.00032 | 5.1e-05 | 0 | 2.7e-05 | 0 | 0.00011 | 7.5e-05 | 0 | 0.00027 | 1.5 | 6 / 38 (16%) | 2 / 19 (11%) | 4 / 19 (21%) | 0.105 | 0.211 |
| 2.A.7.3.61 | The Drug/Metabolite Transporter (DMT) Superfamily | 0.75 | 0.93 | 1 | 0.77 | 0.95 | 1 | 0.00038 | 6e-05 | 0 | 4.3e-05 | 0 | 0.00014 | 7.6e-05 | 0 | 3e-04 | 0.82 | 6 / 38 (16%) | 3 / 19 (16%) | 3 / 19 (16%) | 0.158 | 0.158 |
| 3.A.1.12.1 | The ATP-binding Cassette (ABC) Superfamily | 0.88 | 0.97 | 1 | 0.7 | 0.92 | 1 | 0.00059 | 0.00012 | 0 | 0.00011 | 0 | 0.00043 | 0.00014 | 0 | 0.00057 | 0.35 | 8 / 38 (21%) | 4 / 19 (21%) | 4 / 19 (21%) | 0.211 | 0.211 |
| 3.A.3.32.6 | The P-type ATPase (P-ATPase) Superfamily | 0.74 | 0.93 | 1 | 0.39 | 0.87 | 1 | 0.00039 | 5.1e-05 | 0 | 4.9e-05 | 0 | 0.00012 | 5.4e-05 | 0 | 0.00018 | 0.14 | 5 / 38 (13%) | 3 / 19 (16%) | 2 / 19 (11%) | 0.158 | 0.105 |
| 1.B.57.4.4 | The Legionella Major-Outer Membrane Protein (LM-OMP) Family | 0.39 | 0.84 | 1 | 0.82 | 0.97 | 1 | 0.00012 | 9.3e-06 | 0 | 4.8e-06 | 0 | 1.5e-05 | 1.4e-05 | 0 | 6e-05 | 1.5 | 3 / 38 (7.9%) | 2 / 19 (11%) | 1 / 19 (5.3%) | 0.105 | 0.0526 |
| 2.A.7.3.18 | The Drug/Metabolite Transporter (DMT) Superfamily | 0.99 | 1 | 1 | 0.88 | 0.98 | 1 | 0.00042 | 3.3e-05 | 0 | 3.9e-05 | 0 | 0.00017 | 2.7e-05 | 0 | 0.00011 | -0.53 | 3 / 38 (7.9%) | 1 / 19 (5.3%) | 2 / 19 (11%) | 0.0526 | 0.105 |
| 2.A.3.7.3 | The Amino Acid-Polyamine-Organocation (APC) Family | 0.46 | 0.86 | 1 | 0.4 | 0.87 | 1 | 0.00029 | 4.6e-05 | 0 | 4.7e-05 | 0 | 0.00019 | 4.4e-05 | 0 | 0.00016 | -0.095 | 6 / 38 (16%) | 2 / 19 (11%) | 4 / 19 (21%) | 0.105 | 0.211 |
| 2.A.127.1.2 | The Enterobacterial Cardiolipin Transporter (CLT) Family | 0.68 | 0.92 | 1 | 0.27 | 0.85 | 1 | 0.00056 | 7.4e-05 | 0 | 6.6e-05 | 0 | 0.00025 | 8.2e-05 | 0 | 0.00035 | 0.31 | 5 / 38 (13%) | 3 / 19 (16%) | 2 / 19 (11%) | 0.158 | 0.105 |
| 8.A.5.1.7 | The Voltage-gated K+ Channel β-subunit (Kvβ) Family | 0.63 | 0.92 | 1 | 0.47 | 0.87 | 1 | 0.00034 | 3.5e-05 | 0 | 3.8e-05 | 0 | 0.00014 | 3.2e-05 | 0 | 0.00013 | -0.25 | 4 / 38 (11%) | 2 / 19 (11%) | 2 / 19 (11%) | 0.105 | 0.105 |
| 1.A.77.3.5 | The Mg2+/Ca2+ Uniporter (MCU) Family | 0.19 | 0.79 | 1 | 0.19 | 0.85 | 1 | 0.00011 | 3.4e-05 | 0 | 4.6e-05 | 0 | 7.4e-05 | 2.2e-05 | 0 | 5e-05 | -1.1 | 12 / 38 (32%) | 8 / 19 (42%) | 4 / 19 (21%) | 0.421 | 0.211 |
| 1.B.1.1.3 | The General Bacterial Porin (GBP) Family | 0.19 | 0.79 | 1 | 0.11 | 0.85 | 1 | 0.00032 | 3.4e-05 | 0 | 3.6e-05 | 0 | 0.00013 | 3.1e-05 | 0 | 0.00014 | -0.22 | 4 / 38 (11%) | 3 / 19 (16%) | 1 / 19 (5.3%) | 0.158 | 0.0526 |
| 3.A.1.24.1 | The ATP-binding Cassette (ABC) Superfamily | 0.84 | 0.97 | 1 | 0.54 | 0.89 | 1 | 0.00043 | 6.8e-05 | 0 | 9.4e-05 | 0 | 0.00039 | 4.2e-05 | 0 | 0.00011 | -1.2 | 6 / 38 (16%) | 2 / 19 (11%) | 4 / 19 (21%) | 0.105 | 0.211 |
| 3.A.1.106.1 | The ATP-binding Cassette (ABC) Superfamily | 0.76 | 0.93 | 1 | 0.94 | 0.99 | 1 | 0.00026 | 4.8e-05 | 0 | 4.2e-05 | 0 | 0.00013 | 5.4e-05 | 0 | 0.00019 | 0.36 | 7 / 38 (18%) | 3 / 19 (16%) | 4 / 19 (21%) | 0.158 | 0.211 |
| 1.E.19.1.15 | The Clostridium difficile TcdE Holin (TcdE Holin) Family | 0.12 | 0.79 | 1 | 0.19 | 0.85 | 1 | 0.00015 | 1.2e-05 | 0 | 0 | 0 | 0 | 2.4e-05 | 0 | 8.4e-05 | Inf | 3 / 38 (7.9%) | 0 / 19 (0%) | 3 / 19 (16%) | 0 | 0.158 |
| 2.A.85.1.2 | The Aromatic Acid Exporter (ArAE) Family | 0.47 | 0.86 | 1 | 0.75 | 0.94 | 1 | 0.00052 | 9.5e-05 | 0 | 8e-05 | 0 | 0.00031 | 0.00011 | 0 | 0.00043 | 0.46 | 7 / 38 (18%) | 3 / 19 (16%) | 4 / 19 (21%) | 0.158 | 0.211 |
| 3.A.1.140.1 | The ATP-binding Cassette (ABC) Superfamily | 0.97 | 0.99 | 1 | 0.5 | 0.87 | 1 | 0.00073 | 9.6e-05 | 0 | 7.7e-05 | 0 | 0.00029 | 0.00012 | 0 | 0.00049 | 0.64 | 5 / 38 (13%) | 3 / 19 (16%) | 2 / 19 (11%) | 0.158 | 0.105 |
| 9.B.142.2.9 | The Integral membrane Glycosyltransferase family 39 (GT39) Family | 0.92 | 0.99 | 1 | 0.48 | 0.87 | 1 | 0.00046 | 4.9e-05 | 0 | 4e-05 | 0 | 0.00013 | 5.7e-05 | 0 | 0.00024 | 0.51 | 4 / 38 (11%) | 2 / 19 (11%) | 2 / 19 (11%) | 0.105 | 0.105 |
| 1.C.105.2.8 | The Bacillus thuringiensis Vegetative Insecticidal Protein-3 (Vip3) Family | 0.11 | 0.79 | 1 | 0.19 | 0.85 | 1 | 0.00015 | 2.7e-05 | 0 | 9.3e-06 | 0 | 3.4e-05 | 4.5e-05 | 0 | 9e-05 | 2.3 | 7 / 38 (18%) | 2 / 19 (11%) | 5 / 19 (26%) | 0.105 | 0.263 |
| 3.A.1.106.20 | The ATP-binding Cassette (ABC) Superfamily | 0.76 | 0.93 | 1 | 0.94 | 0.99 | 1 | 0.00026 | 4.8e-05 | 0 | 4.2e-05 | 0 | 0.00013 | 5.4e-05 | 0 | 0.00019 | 0.36 | 7 / 38 (18%) | 3 / 19 (16%) | 4 / 19 (21%) | 0.158 | 0.211 |
| 2.A.40.7.6 | The Nucleobase/Ascorbate Transporter (NAT) or Nucleobase:Cation Symporter-2 (NCS2) Family | 0.24 | 0.81 | 1 | 0.17 | 0.85 | 1 | 0.00053 | 7e-05 | 0 | 7.6e-05 | 0 | 0.00029 | 6.3e-05 | 0 | 0.00027 | -0.27 | 5 / 38 (13%) | 3 / 19 (16%) | 2 / 19 (11%) | 0.158 | 0.105 |
| 1.B.38.4.2 | The Treponema Porin Major Surface Protein (TP-MSP) Family | 0.76 | 0.93 | 1 | 0.63 | 0.9 | 1 | 8e-05 | 1e-05 | 0 | 1.1e-05 | 0 | 3e-05 | 9.9e-06 | 0 | 3.2e-05 | -0.15 | 5 / 38 (13%) | 3 / 19 (16%) | 2 / 19 (11%) | 0.158 | 0.105 |
| 8.A.7.1.1 | The Phosphotransferase System Enzyme I (EI) Family | 0.73 | 0.92 | 1 | 0.41 | 0.87 | 1 | 0.00044 | 4.6e-05 | 0 | 4.8e-05 | 0 | 2e-04 | 4.4e-05 | 0 | 0.00019 | -0.13 | 4 / 38 (11%) | 2 / 19 (11%) | 2 / 19 (11%) | 0.105 | 0.105 |
| 9.B.156.1.1 | The Putative 4. 5. 8. 10 TMS Permease (4.5.8.10P) Family | 0.55 | 0.89 | 1 | 0.62 | 0.9 | 1 | 0.00029 | 3e-05 | 0 | 4.8e-05 | 0 | 2e-04 | 1.3e-05 | 0 | 3.7e-05 | -1.9 | 4 / 38 (11%) | 2 / 19 (11%) | 2 / 19 (11%) | 0.105 | 0.105 |
| 2.A.42.1.1 | The Hydroxy/Aromatic Amino Acid Permease (HAAAP) Family | 0.4 | 0.84 | 1 | 0.16 | 0.85 | 1 | 0.00025 | 3.2e-05 | 0 | 4e-05 | 0 | 0.00014 | 2.5e-05 | 0 | 7.5e-05 | -0.68 | 5 / 38 (13%) | 3 / 19 (16%) | 2 / 19 (11%) | 0.158 | 0.105 |
| 1.B.14.8.7 | The Outer Membrane Receptor (OMR) Family | 0.71 | 0.92 | 1 | 0.24 | 0.85 | 1 | 0.00054 | 7.1e-05 | 0 | 6.1e-05 | 0 | 0.00022 | 8.2e-05 | 0 | 0.00035 | 0.43 | 5 / 38 (13%) | 3 / 19 (16%) | 2 / 19 (11%) | 0.158 | 0.105 |
| 4.A.3.2.4 | The PTS Lactose-N.N'-Diacetylchitobiose-β-glucoside (Lac) Family | 0.88 | 0.97 | 1 | 0.67 | 0.92 | 1 | 8.5e-05 | 6.7e-06 | 0 | 5.8e-06 | 0 | 1.9e-05 | 7.6e-06 | 0 | 3.3e-05 | 0.39 | 3 / 38 (7.9%) | 2 / 19 (11%) | 1 / 19 (5.3%) | 0.105 | 0.0526 |
| 2.A.1.27.1 | The Major Facilitator Superfamily (MFS) | 0.18 | 0.79 | 1 | 0.33 | 0.87 | 1 | 0.00033 | 4.3e-05 | 0 | 2.3e-05 | 0 | 9.3e-05 | 6.3e-05 | 0 | 0.00024 | 1.5 | 5 / 38 (13%) | 2 / 19 (11%) | 3 / 19 (16%) | 0.105 | 0.158 |
| 3.D.1.9.2 | The H+ or Na+-translocating NADH Dehydrogenase (NDH) Family | 0.29 | 0.83 | 1 | 0.5 | 0.87 | 1 | 0.00079 | 0.00017 | 0 | 0.00013 | 0 | 0.00051 | 2e-04 | 0 | 0.00075 | 0.62 | 8 / 38 (21%) | 3 / 19 (16%) | 5 / 19 (26%) | 0.158 | 0.263 |
| 1.A.29.1.4 | The Urea/Amide Channel (UAC) Family | 0.85 | 0.97 | 1 | 0.9 | 0.99 | 1 | 0.00017 | 7.3e-05 | 0 | 6.3e-05 | 0 | 9.3e-05 | 8.3e-05 | 0 | 0.00016 | 0.4 | 16 / 38 (42%) | 8 / 19 (42%) | 8 / 19 (42%) | 0.421 | 0.421 |
| 4.C.1.1.16 | The Fatty Acid Transporter (FAT) Family | 0.85 | 0.97 | 1 | 0.56 | 0.89 | 1 | 0.00047 | 7.5e-05 | 0 | 7.2e-05 | 0 | 0.00028 | 7.8e-05 | 0 | 0.00032 | 0.12 | 6 / 38 (16%) | 3 / 19 (16%) | 3 / 19 (16%) | 0.158 | 0.158 |
| 3.A.1.2.6 | The ATP-binding Cassette (ABC) Superfamily | 0.57 | 0.9 | 1 | 0.47 | 0.87 | 1 | 0.00052 | 8.2e-05 | 0 | 9e-05 | 0 | 0.00037 | 7.4e-05 | 0 | 0.00027 | -0.28 | 6 / 38 (16%) | 2 / 19 (11%) | 4 / 19 (21%) | 0.105 | 0.211 |
| 2.A.1.6.10 | The Major Facilitator Superfamily (MFS) | 0.68 | 0.92 | 1 | 0.78 | 0.96 | 1 | 0.00042 | 4.4e-05 | 0 | 5.7e-05 | 0 | 0.00023 | 3.1e-05 | 0 | 0.00011 | -0.88 | 4 / 38 (11%) | 2 / 19 (11%) | 2 / 19 (11%) | 0.105 | 0.105 |
| 9.A.5.4.2 | The Putative Arginine Transporter (ArgW) Family | 0.15 | 0.79 | 1 | 0.045 | 0.85 | 1 | 0.00028 | 2.2e-05 | 0 | 3.2e-05 | 0 | 0.00012 | 1.2e-05 | 0 | 5.4e-05 | -1.4 | 3 / 38 (7.9%) | 2 / 19 (11%) | 1 / 19 (5.3%) | 0.105 | 0.0526 |
| 2.A.7.6.1 | The Drug/Metabolite Transporter (DMT) Superfamily | 0.59 | 0.9 | 1 | 0.88 | 0.98 | 1 | 0.00037 | 3.9e-05 | 0 | 2.6e-05 | 0 | 9.4e-05 | 5.3e-05 | 0 | 0.00022 | 1 | 4 / 38 (11%) | 2 / 19 (11%) | 2 / 19 (11%) | 0.105 | 0.105 |
| 2.A.42.2.4 | The Hydroxy/Aromatic Amino Acid Permease (HAAAP) Family | 0.14 | 0.79 | 1 | 0.27 | 0.85 | 1 | 0.00026 | 4.2e-05 | 0 | 3e-05 | 0 | 0.00011 | 5.4e-05 | 0 | 0.00019 | 0.85 | 6 / 38 (16%) | 2 / 19 (11%) | 4 / 19 (21%) | 0.105 | 0.211 |
| 9.B.36.1.1 | The Acid Resistance Membrane Protein (HdeD) Family | 0.15 | 0.79 | 1 | 0.6 | 0.9 | 1 | 0.00028 | 2.2e-05 | 0 | 1.8e-05 | 0 | 7.8e-05 | 2.6e-05 | 0 | 0.00011 | 0.53 | 3 / 38 (7.9%) | 1 / 19 (5.3%) | 2 / 19 (11%) | 0.0526 | 0.105 |
| 2.A.20.1.2 | The Inorganic Phosphate Transporter (PiT) Family | 0.96 | 0.99 | 1 | 0.61 | 0.9 | 1 | 0.00048 | 6.4e-05 | 0 | 5.3e-05 | 0 | 0.00016 | 7.5e-05 | 0 | 0.00027 | 0.5 | 5 / 38 (13%) | 3 / 19 (16%) | 2 / 19 (11%) | 0.158 | 0.105 |
| 2.A.3.7.5 | The Amino Acid-Polyamine-Organocation (APC) Family | 0.95 | 0.99 | 1 | 0.37 | 0.87 | 1 | 0.00067 | 0.00011 | 0 | 8.6e-05 | 0 | 0.00031 | 0.00013 | 0 | 0.00054 | 0.6 | 6 / 38 (16%) | 3 / 19 (16%) | 3 / 19 (16%) | 0.158 | 0.158 |
| 2.A.37.1.5 | The Monovalent Cation:Proton Antiporter-2 (CPA2) Family | 0.6 | 0.91 | 1 | 0.13 | 0.85 | 1 | 0.00044 | 3.4e-05 | 0 | 3.2e-05 | 0 | 0.00012 | 3.7e-05 | 0 | 0.00016 | 0.21 | 3 / 38 (7.9%) | 2 / 19 (11%) | 1 / 19 (5.3%) | 0.105 | 0.0526 |
| 9.B.143.2.2 | The 6 TMS DUF1275/Pf06912 (DUF1275) Family | 0.76 | 0.93 | 1 | 0.61 | 0.9 | 1 | 0.00014 | 3.4e-05 | 0 | 3.4e-05 | 0 | 6.1e-05 | 3.3e-05 | 0 | 9e-05 | -0.043 | 9 / 38 (24%) | 5 / 19 (26%) | 4 / 19 (21%) | 0.263 | 0.211 |
| 9.B.221.1.1 | The 5 TMS YgjV (YgjV) Family | 0.3 | 0.83 | 1 | 0.31 | 0.87 | 1 | 0.00036 | 3.8e-05 | 0 | 5.6e-05 | 0 | 0.00022 | 2e-05 | 0 | 8.1e-05 | -1.5 | 4 / 38 (11%) | 2 / 19 (11%) | 2 / 19 (11%) | 0.105 | 0.105 |
| 2.A.1.35.1 | The Major Facilitator Superfamily (MFS) | 0.18 | 0.79 | 1 | 0.23 | 0.85 | 1 | 0.00024 | 2.6e-05 | 0 | 2.1e-05 | 0 | 9.3e-05 | 3e-05 | 0 | 8.6e-05 | 0.51 | 4 / 38 (11%) | 1 / 19 (5.3%) | 3 / 19 (16%) | 0.0526 | 0.158 |
| 3.A.1.101.1 | The ATP-binding Cassette (ABC) Superfamily | 0.16 | 0.79 | 1 | 0.35 | 0.87 | 1 | 0.00048 | 3.8e-05 | 0 | 2.5e-05 | 0 | 0.00011 | 5.1e-05 | 0 | 0.00019 | 1 | 3 / 38 (7.9%) | 1 / 19 (5.3%) | 2 / 19 (11%) | 0.0526 | 0.105 |
| 1.B.42.1.2 | The Outer Membrane Lipopolysaccharide Export Porin (LPS-EP) Family | 0.8 | 0.95 | 1 | 0.85 | 0.97 | 1 | 0.0013 | 0.00041 | 0 | 4e-04 | 0 | 0.0015 | 0.00042 | 0 | 0.0016 | 0.07 | 12 / 38 (32%) | 5 / 19 (26%) | 7 / 19 (37%) | 0.263 | 0.368 |
| 1.A.11.1.1 | The Ammonium Transporter Channel (Amt) Family | 0.54 | 0.89 | 1 | 0.079 | 0.85 | 1 | 0.00045 | 3.5e-05 | 0 | 3.4e-05 | 0 | 0.00014 | 3.7e-05 | 0 | 0.00016 | 0.12 | 3 / 38 (7.9%) | 2 / 19 (11%) | 1 / 19 (5.3%) | 0.105 | 0.0526 |
| 1.E.52.1.1 | The Flp/Fap Pilin Putative Holin (FFPP-Hol) Family | 0.59 | 0.9 | 1 | 0.83 | 0.97 | 1 | 0.00011 | 1.2e-05 | 0 | 5.7e-06 | 0 | 1.8e-05 | 1.8e-05 | 0 | 5.8e-05 | 1.7 | 4 / 38 (11%) | 2 / 19 (11%) | 2 / 19 (11%) | 0.105 | 0.105 |
| 9.B.99.1.2 | The MipA-interacting Protein (MipA) Family | 0.81 | 0.96 | 1 | 0.8 | 0.96 | 1 | 0.00051 | 5.3e-05 | 0 | 4e-05 | 0 | 0.00013 | 6.6e-05 | 0 | 0.00027 | 0.72 | 4 / 38 (11%) | 2 / 19 (11%) | 2 / 19 (11%) | 0.105 | 0.105 |
| 1.B.9.1.1 | The FadL Outer Membrane Protein (FadL) Family | 0.8 | 0.95 | 1 | 0.85 | 0.97 | 1 | 0.00037 | 3.9e-05 | 0 | 4.1e-05 | 0 | 0.00017 | 3.7e-05 | 0 | 0.00012 | -0.15 | 4 / 38 (11%) | 2 / 19 (11%) | 2 / 19 (11%) | 0.105 | 0.105 |
| 2.A.73.1.1 | The Short Chain Fatty Acid Uptake (AtoE) Family | 0.78 | 0.95 | 1 | 0.96 | 1 | 1 | 0.00026 | 4.1e-05 | 0 | 3.7e-05 | 0 | 0.00014 | 4.5e-05 | 0 | 0.00014 | 0.28 | 6 / 38 (16%) | 3 / 19 (16%) | 3 / 19 (16%) | 0.158 | 0.158 |
| 4.D.3.1.6 | The Glycan Glucosyl Transferase (OpgH) Family | 0.39 | 0.84 | 1 | 0.52 | 0.89 | 1 | 0.00059 | 0.00015 | 0 | 0.00014 | 0 | 0.00051 | 0.00017 | 0 | 0.00059 | 0.28 | 10 / 38 (26%) | 4 / 19 (21%) | 6 / 19 (32%) | 0.211 | 0.316 |
| 2.A.96.1.1 | The Acetate Uptake Transporter (AceTr) Family | 0.48 | 0.86 | 1 | 0.52 | 0.89 | 1 | 0.00023 | 1.8e-05 | 0 | 1.8e-05 | 0 | 7.8e-05 | 1.9e-05 | 0 | 5.9e-05 | 0.078 | 3 / 38 (7.9%) | 1 / 19 (5.3%) | 2 / 19 (11%) | 0.0526 | 0.105 |
| 1.B.14.6.5 | The Outer Membrane Receptor (OMR) Family | 0.26 | 0.82 | 1 | 0.2 | 0.85 | 1 | 0.00042 | 3.3e-05 | 0 | 6.5e-05 | 0 | 0.00026 | 1.5e-06 | 0 | 6.5e-06 | -5.4 | 3 / 38 (7.9%) | 2 / 19 (11%) | 1 / 19 (5.3%) | 0.105 | 0.0526 |
| 2.A.86.1.1 | The Autoinducer-2 Exporter (AI-2E) Family (Formerly the PerM Family. TC #9.B.22) | 0.75 | 0.93 | 1 | 0.66 | 0.91 | 1 | 0.00018 | 3.4e-05 | 0 | 3.9e-05 | 0 | 0.00015 | 2.9e-05 | 0 | 8.5e-05 | -0.43 | 7 / 38 (18%) | 3 / 19 (16%) | 4 / 19 (21%) | 0.158 | 0.211 |
| 4.A.3.2.1 | The PTS Lactose-N.N'-Diacetylchitobiose-β-glucoside (Lac) Family | 0.16 | 0.79 | 1 | 0.24 | 0.85 | 1 | 0.00034 | 4.5e-05 | 0 | 2.3e-05 | 0 | 9.3e-05 | 6.7e-05 | 0 | 0.00027 | 1.5 | 5 / 38 (13%) | 2 / 19 (11%) | 3 / 19 (16%) | 0.105 | 0.158 |
| 3.A.1.122.1 | The ATP-binding Cassette (ABC) Superfamily | 0.05 | 0.79 | 1 | 0.062 | 0.85 | 1 | 0.00023 | 4.9e-05 | 0 | 4.3e-05 | 0 | 0.00017 | 5.4e-05 | 0 | 0.00016 | 0.33 | 8 / 38 (21%) | 2 / 19 (11%) | 6 / 19 (32%) | 0.105 | 0.316 |
| 3.A.1.3.4 | The ATP-binding Cassette (ABC) Superfamily | 0.98 | 0.99 | 1 | 0.71 | 0.93 | 1 | 0.00064 | 0.00013 | 0 | 0.00012 | 0 | 0.00045 | 0.00014 | 0 | 0.00054 | 0.22 | 8 / 38 (21%) | 4 / 19 (21%) | 4 / 19 (21%) | 0.211 | 0.211 |
| 3.A.2.3.2 | The H+- or Na+-translocating F-type. V-type and A-type ATPase (F-ATPase) Superfamily | 0.48 | 0.86 | 1 | 0.56 | 0.89 | 1 | 0.00017 | 2.2e-05 | 0 | 2e-05 | 0 | 6.8e-05 | 2.4e-05 | 0 | 6.1e-05 | 0.26 | 5 / 38 (13%) | 2 / 19 (11%) | 3 / 19 (16%) | 0.105 | 0.158 |
| 9.B.15.1.1 | The 4 TMS YbhQ (YbhQ) Family | 0.73 | 0.92 | 1 | 0.67 | 0.92 | 1 | 0.00016 | 1.7e-05 | 0 | 2.1e-05 | 0 | 6.7e-05 | 1.3e-05 | 0 | 3.8e-05 | -0.69 | 4 / 38 (11%) | 2 / 19 (11%) | 2 / 19 (11%) | 0.105 | 0.105 |
| 3.A.1.3.10 | The ATP-binding Cassette (ABC) Superfamily | 0.7 | 0.92 | 1 | 0.54 | 0.89 | 1 | 0.00043 | 5.6e-05 | 0 | 6.3e-05 | 0 | 0.00023 | 5e-05 | 0 | 0.00017 | -0.33 | 5 / 38 (13%) | 3 / 19 (16%) | 2 / 19 (11%) | 0.158 | 0.105 |
| 2.A.38.1.1 | The K+ Transporter (Trk) Family | 0.37 | 0.84 | 1 | 0.47 | 0.87 | 1 | 0.00046 | 0.00014 | 0 | 0.00013 | 0 | 0.00046 | 0.00016 | 0 | 0.00056 | 0.3 | 12 / 38 (32%) | 5 / 19 (26%) | 7 / 19 (37%) | 0.263 | 0.368 |
| 5.A.3.1.2 | The Prokaryotic Molybdopterin-containing Oxidoreductase (PMO) Family | 0.65 | 0.92 | 1 | 0.59 | 0.89 | 1 | 0.00048 | 0.00013 | 0 | 0.00013 | 0 | 0.00048 | 0.00012 | 0 | 0.00046 | -0.12 | 10 / 38 (26%) | 5 / 19 (26%) | 5 / 19 (26%) | 0.263 | 0.263 |
| 2.A.72.1.3 | The K+ Uptake Permease (KUP) Family | 0.5 | 0.86 | 1 | 0.69 | 0.92 | 1 | 9.4e-05 | 1.2e-05 | 0 | 6.8e-06 | 0 | 2.1e-05 | 1.8e-05 | 0 | 5.3e-05 | 1.4 | 5 / 38 (13%) | 2 / 19 (11%) | 3 / 19 (16%) | 0.105 | 0.158 |
| 1.B.1.1.2 | The General Bacterial Porin (GBP) Family | 0.34 | 0.84 | 1 | 0.47 | 0.87 | 1 | 0.00026 | 5.4e-05 | 0 | 4.4e-05 | 0 | 0.00016 | 6.4e-05 | 0 | 0.00019 | 0.54 | 8 / 38 (21%) | 3 / 19 (16%) | 5 / 19 (26%) | 0.158 | 0.263 |
| 2.A.34.1.1 | The NhaB Na+:H+ Antiporter (NhaB) Family | 0.26 | 0.82 | 1 | 0.24 | 0.85 | 1 | 0.00025 | 3.2e-05 | 0 | 3.6e-05 | 0 | 0.00016 | 2.9e-05 | 0 | 0.00011 | -0.31 | 5 / 38 (13%) | 1 / 19 (5.3%) | 4 / 19 (21%) | 0.0526 | 0.211 |
| 2.A.28.2.6 | The Bile Acid:Na+ Symporter (BASS) Family | 0.2 | 0.79 | 1 | 0.16 | 0.85 | 1 | 0.00071 | 5e-04 | 0.00028 | 0.00048 | 0.00044 | 0.00049 | 0.00052 | 2e-04 | 0.00093 | 0.12 | 27 / 38 (71%) | 14 / 19 (74%) | 13 / 19 (68%) | 0.737 | 0.684 |
| 3.A.1.11.9 | The ATP-binding Cassette (ABC) Superfamily | 0.58 | 0.9 | 1 | 0.7 | 0.92 | 1 | 0.00073 | 7.7e-05 | 0 | 9.7e-05 | 0 | 0.00039 | 5.7e-05 | 0 | 0.00022 | -0.77 | 4 / 38 (11%) | 2 / 19 (11%) | 2 / 19 (11%) | 0.105 | 0.105 |
| 2.A.72.1.1 | The K+ Uptake Permease (KUP) Family | 0.87 | 0.97 | 1 | 0.48 | 0.87 | 1 | 0.00034 | 8.1e-05 | 0 | 6.9e-05 | 0 | 2e-04 | 9.4e-05 | 0 | 0.00035 | 0.45 | 9 / 38 (24%) | 5 / 19 (26%) | 4 / 19 (21%) | 0.263 | 0.211 |
| 4.A.7.1.2 | The PTS L-Ascorbate (L-Asc) Family | 0.91 | 0.99 | 1 | 0.28 | 0.85 | 1 | 0.0014 | 0.00011 | 0 | 8.3e-05 | 0 | 0.00031 | 0.00013 | 0 | 0.00057 | 0.65 | 3 / 38 (7.9%) | 2 / 19 (11%) | 1 / 19 (5.3%) | 0.105 | 0.0526 |
| 1.A.104.1.1 | The Proposed Flagellar Biosynthesis Na+ Channel. FlaH (FlaH) Family | 0.18 | 0.79 | 1 | 0.053 | 0.85 | 1 | 0.00022 | 2.3e-05 | 0 | 4.5e-05 | 0 | 0.00017 | 8.4e-07 | 0 | 3.7e-06 | -5.7 | 4 / 38 (11%) | 3 / 19 (16%) | 1 / 19 (5.3%) | 0.158 | 0.0526 |
| 3.A.1.11.2 | The ATP-binding Cassette (ABC) Superfamily | 0.3 | 0.83 | 1 | 0.35 | 0.87 | 1 | 0.00079 | 0.00015 | 0 | 0.00013 | 0 | 0.00053 | 0.00016 | 0 | 0.00062 | 0.3 | 7 / 38 (18%) | 2 / 19 (11%) | 5 / 19 (26%) | 0.105 | 0.263 |
| 2.A.78.1.3 | The Branched Chain Amino Acid Exporter (LIV-E) Family | 0.24 | 0.81 | 1 | 0.39 | 0.87 | 1 | 0.00048 | 3.8e-05 | 0 | 3.2e-05 | 0 | 0.00014 | 4.3e-05 | 0 | 0.00016 | 0.43 | 3 / 38 (7.9%) | 1 / 19 (5.3%) | 2 / 19 (11%) | 0.0526 | 0.105 |
| 2.A.35.1.8 | The NhaC Na+:H+ Antiporter (NhaC) Family | 0.36 | 0.84 | 1 | 0.52 | 0.89 | 1 | 0.00027 | 9.1e-05 | 0 | 0.00013 | 0 | 0.00039 | 4.8e-05 | 0 | 8.1e-05 | -1.4 | 13 / 38 (34%) | 7 / 19 (37%) | 6 / 19 (32%) | 0.368 | 0.316 |
| 3.A.1.5.3 | The ATP-binding Cassette (ABC) Superfamily | 0.98 | 0.99 | 1 | 0.61 | 0.9 | 1 | 0.00056 | 0.00013 | 0 | 0.00014 | 0 | 0.00051 | 0.00012 | 0 | 0.00046 | -0.22 | 9 / 38 (24%) | 3 / 19 (16%) | 6 / 19 (32%) | 0.158 | 0.316 |
| 2.A.85.1.6 | The Aromatic Acid Exporter (ArAE) Family | 0.079 | 0.79 | 1 | 0.3 | 0.86 | 1 | 0.00061 | 6.4e-05 | 0 | 5.7e-05 | 0 | 0.00025 | 7.1e-05 | 0 | 3e-04 | 0.32 | 4 / 38 (11%) | 1 / 19 (5.3%) | 3 / 19 (16%) | 0.0526 | 0.158 |
| 2.A.3.1.2 | The Amino Acid-Polyamine-Organocation (APC) Family | 0.15 | 0.79 | 1 | 0.32 | 0.87 | 1 | 8e-04 | 6.4e-05 | 0 | 4.6e-05 | 0 | 2e-04 | 8.1e-05 | 0 | 0.00032 | 0.82 | 3 / 38 (7.9%) | 1 / 19 (5.3%) | 2 / 19 (11%) | 0.0526 | 0.105 |
| 2.A.3.3.23 | The Amino Acid-Polyamine-Organocation (APC) Family | 0.24 | 0.81 | 1 | 0.34 | 0.87 | 1 | 2e-04 | 1.6e-05 | 0 | 3.9e-06 | 0 | 1.7e-05 | 2.8e-05 | 0 | 9.3e-05 | 2.8 | 3 / 38 (7.9%) | 1 / 19 (5.3%) | 2 / 19 (11%) | 0.0526 | 0.105 |
| 1.B.55.1.1 | The Poly Acetyl Glucosamine Porin (PgaA) Family | 0.74 | 0.93 | 1 | 0.8 | 0.96 | 1 | 0.00049 | 6.5e-05 | 0 | 6.7e-05 | 0 | 0.00026 | 6.3e-05 | 0 | 0.00022 | -0.089 | 5 / 38 (13%) | 2 / 19 (11%) | 3 / 19 (16%) | 0.105 | 0.158 |
| 3.A.5.1.1 | The General Secretory Pathway (Sec) Family | 0.34 | 0.84 | 1 | 0.36 | 0.87 | 1 | 0.0012 | 0.00028 | 0 | 0.00026 | 0 | 0.001 | 3e-04 | 0 | 0.0012 | 0.21 | 9 / 38 (24%) | 3 / 19 (16%) | 6 / 19 (32%) | 0.158 | 0.316 |
| 3.D.6.1.4 | The Putative Ion (H+ or Na+)-translocating NADH:Ferredoxin Oxidoreductase (NFO or RNF) Family | 0.24 | 0.81 | 1 | 0.6 | 0.9 | 1 | 0.00086 | 0.00014 | 0 | 8.9e-05 | 0 | 0.00037 | 0.00018 | 0 | 0.00073 | 1 | 6 / 38 (16%) | 3 / 19 (16%) | 3 / 19 (16%) | 0.158 | 0.158 |
| 4.A.1.2.4 | The PTS Glucose-Glucoside (Glc) Family | 0.044 | 0.79 | 1 | 0.042 | 0.85 | 1 | 0.00054 | 8.5e-05 | 0 | 7.1e-05 | 0 | 0.00031 | 9.9e-05 | 0 | 3e-04 | 0.48 | 6 / 38 (16%) | 1 / 19 (5.3%) | 5 / 19 (26%) | 0.0526 | 0.263 |
Click here to open full-sized image in new window.
Click here to open full-sized image in new window.
P lmer condition effect (sqrt): Differentially abundant functions were identified by linear mixed effect regression without confounders. Random effects: Participant (intercept). Fixed effects: Treatment. Effect tested: Treatment.
P lmer condition effect (clr): Differentially abundant functions were identified by linear mixed effect regression without confounders. Random effects: Participant (intercept). Fixed effects: Treatment. Effect tested: Treatment.
The following plots present the distribution of the top most differentially abundant microbial functions across all applied statistical analysis. Plots are ordered alphabetically.