>
The charts below show the taxonomic composition of the analysed samples using different quantitative visualization techniques. Only the top most abundant species are shown.
Click here to open full-sized image in new window.
Click here to open full-sized image in new window.
Click here to open full-sized image in new window.
Click here to open full-sized image in new window.
Click here to open full-sized image in new window.
Click here to open full-sized image in new window.
Click here to open full-sized image in new window.
Click here to open full-sized image in new window.
Click here to open full-sized image in new window.
Click here to open full-sized image in new window.
Click here to open full-sized image in new window.
Click here to open full-sized image in new window.
Click here to open full-sized image in new window.
Click here to open interactive barchart in new window.
This page provides an overview of the microbial alpha diversity of the analysed samples. Alpha diversity is measured by the Shannon index and species richnes. Richness simply quantifies the total number of species present in each sample. Shannon index additionally accounts for relative abundance and evenness of the species present and quantifies the entropy of microbial communties. Barcharts and boxplots present the mean diversity in each study group.
| Index | rarefiedTo | P Welch's t-test | Mean Pos | Mean Abundance | Median Abundance | Mean Post_Treatment_Fibre_Intakehigh | Median Post_Treatment_Fibre_Intakehigh | SD Post_Treatment_Fibre_Intakehigh | Mean Post_Treatment_Fibre_Intakelow | Median Post_Treatment_Fibre_Intakelow | SD Post_Treatment_Fibre_Intakelow | Fold Change Log2(Post_Treatment_Fibre_Intakelow/Post_Treatment_Fibre_Intakehigh) | Positive samples | Positive Post_Treatment_Fibre_Intakehigh | Positive Post_Treatment_Fibre_Intakelow | Positive_Post_Treatment_Fibre_Intakehigh_percent | Positive_Post_Treatment_Fibre_Intakelow_percent |
|---|---|---|---|---|---|---|---|---|---|---|---|---|---|---|---|---|---|
| Shannon | 702268 | 0.44 | 3 | 3 | 3 | 3 | 3 | 0.2 | 2.9 | 2.8 | 0.51 | -0.049 | 18 / 18 (100%) | 11 / 11 (100%) | 7 / 7 (100%) | 1 | 1 |
| Richness | 702268 | 0.85 | 41 | 41 | 36 | 41 | 41 | 10 | 43 | 34 | 25 | 0.069 | 18 / 18 (100%) | 11 / 11 (100%) | 7 / 7 (100%) | 1 | 1 |
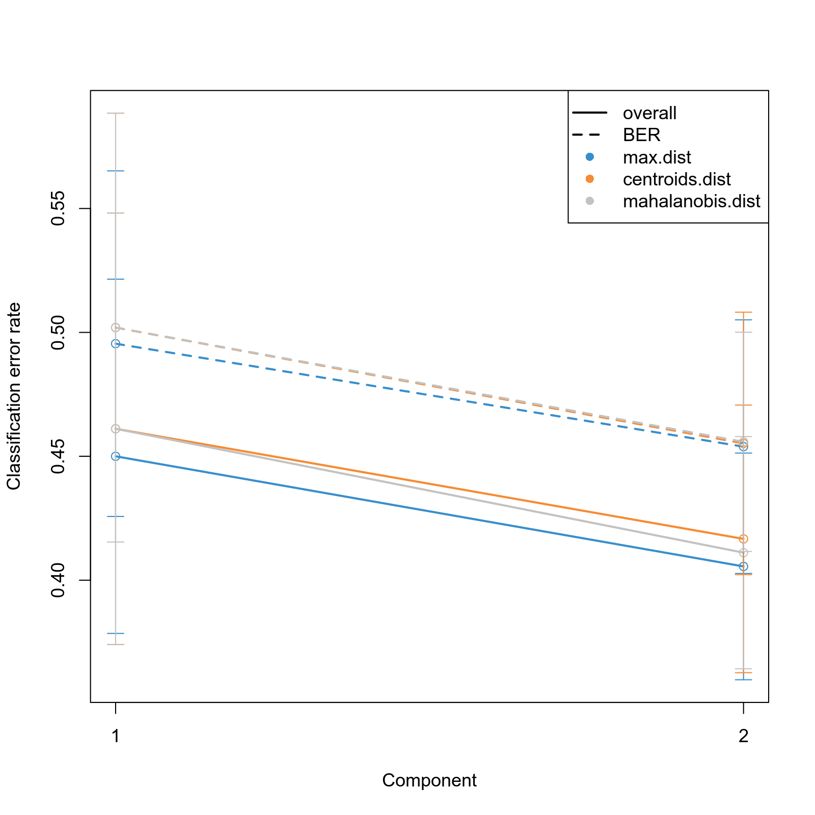
Taxonomic profiles were analyzed using supervised and unsupervised multivariate methods. Profiles were ordinated using the unsupervised methods Principal Coordinates Analysis (PCoA), Non-Metric Multidimensional Scaling (NMDS) and Principal Component Analysis (PCA). PCoA and NMDS are related to PCA, but take dissimlarity matrices as input. PCoA and NMDS both attempt to represent the pairwise dissimlarities between samples in low dimensional space as close as possible. NMDS is a rank-based approach and therefore less effected by outliers.
The supervised methods Adonis and Redundancy analysis (RDA) were used to assess if variance in microbial community composition can be attributed to the study condition. NMDS, PCoA and Adonis were run on Bray-Curtis dissimilarities. A short introduction of the used methods can be found at the GUide to STatistical Analysis in Microbial Ecology (GUSTA ME). Sparse Partial Least Square Discriminant Analysis (sPLS-DA) from the MixMc package was additionaly used to extract features associated with the study condition.
Differentially abundant species were identified by ANOVA or LMER (linear mixed effect regression) of clr transformed relative abudances, Fisher's exact test and/or ALDEx2 (on species read counts). Fisher's exact test is used to test for differences in the detection rate, i.e. number of samples in which each species has been detected.
LMER is used for repeated measures data, using random effects to control for correlation between samples from the same subject. Fixed effects are included for treatment groups, time, and treatment over time, where appropriate. The LMER P values correspond to a nested model test of the significance of including the corresponding fixed effect.
ALDEx2 uses subsampling (Bayesian sampling) to estimate the underlying technical variation. For each subsample instance, center log-ratio transformed data is statistically compared across study groups and computed P values are corrected for multiple testing using the Benjamini–Hochberg procedure. The expected P value (mean P value) is reported, which are those that would likely have been observed if the same samples had been run multiple times. The expected values are reported for both the distribution of P values and for the distribution of Benjamini–Hochberg corrected values.
| Taxon | GTDB taxonomy | P Welch's t-test (sqrt) | FDR Welch's t-test (sqrt) | Pbonf Welch's t-test (sqrt) | Cohen's d Welch's t-test (sqrt) | P Welch's t-test (clr) | FDR Welch's t-test (clr) | Pbonf Welch's t-test (clr) | Cohen's d Welch's t-test (clr) | P Fisher's exact test | FDR Fisher's exact test | Pbonf Fisher's exact test | P Welch's t-test (ALDEx2) | FDR Welch's t-test (ALDEx2) | P Wilcoxon rank test (ALDEx2) | FDR Wilcoxon rank test (ALDEx2) | Mean Pos | Mean Abundance | Median Abundance | Mean Post_Treatment_Fibre_Intakehigh | Median Post_Treatment_Fibre_Intakehigh | SD Post_Treatment_Fibre_Intakehigh | Mean Post_Treatment_Fibre_Intakelow | Median Post_Treatment_Fibre_Intakelow | SD Post_Treatment_Fibre_Intakelow | Fold Change Log2(Post_Treatment_Fibre_Intakelow/Post_Treatment_Fibre_Intakehigh) | Positive samples | Positive Post_Treatment_Fibre_Intakehigh | Positive Post_Treatment_Fibre_Intakelow | Positive_Post_Treatment_Fibre_Intakehigh_percent | Positive_Post_Treatment_Fibre_Intakelow_percent |
|---|---|---|---|---|---|---|---|---|---|---|---|---|---|---|---|---|---|---|---|---|---|---|---|---|---|---|---|---|---|---|---|
| s__Acetatifactor sp900066565 | d__Bacteria; p__Firmicutes_A; c__Clostridia; o__Lachnospirales; f__Lachnospiraceae; g__Acetatifactor | 0.091 | 0.72 | 1 | -1.2 | 0.086 | 0.45 | 1 | -1.3 | 0.043 | 0.44 | 1 | 0.086 | 0.55 | 0.15 | 0.59 | 0.98 | 0.16 | 0 | 0 | 0 | 0 | 0.42 | 0 | 0.64 | Inf | 3 / 18 (17%) | 0 / 11 (0%) | 3 / 7 (43%) | 0 | 0.429 |
| s__Agathobacter faecis | d__Bacteria; p__Firmicutes_A; c__Clostridia; o__Lachnospirales; f__Lachnospiraceae; g__Agathobacter | 0.072 | 0.72 | 1 | 0.9 | 0.021 | 0.45 | 1 | 1.2 | 0.05 | 0.44 | 1 | 0.027 | 0.5 | 0.08 | 0.57 | 2.4 | 1.2 | 0.26 | 1.6 | 0.67 | 2 | 0.51 | 0 | 1.4 | -1.6 | 9 / 18 (50%) | 8 / 11 (73%) | 1 / 7 (14%) | 0.727 | 0.143 |
| s__Agathobacter rectale | d__Bacteria; p__Firmicutes_A; c__Clostridia; o__Lachnospirales; f__Lachnospiraceae; g__Agathobacter | 0.16 | 0.75 | 1 | 0.86 | 0.077 | 0.45 | 1 | 1.3 | 0.043 | 0.44 | 1 | 0.088 | 0.55 | 0.27 | 0.71 | 10 | 8.4 | 6.2 | 9.9 | 8.7 | 6.8 | 6.2 | 3.8 | 8 | -0.68 | 15 / 18 (83%) | 11 / 11 (100%) | 4 / 7 (57%) | 1 | 0.571 |
| s__Agathobaculum butyriciproducens | d__Bacteria; p__Firmicutes_A; c__Clostridia; o__Oscillospirales; f__Butyricicoccaceae; g__Agathobaculum | 0.041 | 0.72 | 1 | 0.94 | 0.051 | 0.45 | 1 | 0.92 | 0.15 | 0.89 | 1 | 0.1 | 0.56 | 0.17 | 0.64 | 0.64 | 0.25 | 0 | 0.38 | 0.36 | 0.44 | 0.051 | 0 | 0.13 | -2.9 | 7 / 18 (39%) | 6 / 11 (55%) | 1 / 7 (14%) | 0.545 | 0.143 |
| s__Akkermansia muciniphila | d__Bacteria; p__Verrucomicrobiota; c__Verrucomicrobiae; o__Verrucomicrobiales; f__Akkermansiaceae; g__Akkermansia | 0.75 | 0.98 | 1 | -0.17 | 0.98 | 1 | 1 | 0.01 | 1 | 1 | 1 | 0.79 | 0.93 | 0.68 | 0.89 | 1.2 | 0.21 | 0 | 0.13 | 0 | 0.37 | 0.33 | 0 | 0.88 | 1.3 | 3 / 18 (17%) | 2 / 11 (18%) | 1 / 7 (14%) | 0.182 | 0.143 |
| s__Alistipes putredinis | d__Bacteria; p__Bacteroidota; c__Bacteroidia; o__Bacteroidales; f__Rikenellaceae; g__Alistipes | 0.89 | 1 | 1 | -0.06 | 0.45 | 0.82 | 1 | -0.39 | 0.53 | 1 | 1 | 0.36 | 0.72 | 0.35 | 0.72 | 2.2 | 0.37 | 0 | 0.46 | 0 | 1.5 | 0.23 | 0 | 0.51 | -1 | 3 / 18 (17%) | 1 / 11 (9.1%) | 2 / 7 (29%) | 0.0909 | 0.286 |
| s__Anaerostipes hadrus | d__Bacteria; p__Firmicutes_A; c__Clostridia; o__Lachnospirales; f__Lachnospiraceae; g__Anaerostipes | 0.47 | 0.86 | 1 | 0.43 | 0.11 | 0.51 | 1 | 1.1 | 0.043 | 0.44 | 1 | 0.11 | 0.55 | 0.27 | 0.71 | 4.6 | 3.9 | 3.4 | 3.8 | 4 | 2.2 | 4 | 1.4 | 5.6 | 0.074 | 15 / 18 (83%) | 11 / 11 (100%) | 4 / 7 (57%) | 1 | 0.571 |
| s__Anaerostipes hadrus_A | d__Bacteria; p__Firmicutes_A; c__Clostridia; o__Lachnospirales; f__Lachnospiraceae; g__Anaerostipes | 1 | 1 | 1 | 0.0014 | 0.66 | 0.92 | 1 | 0.21 | 1 | 1 | 1 | 0.75 | 0.9 | 0.68 | 0.89 | 2.8 | 0.63 | 0 | 0.5 | 0 | 1.1 | 0.82 | 0 | 2.2 | 0.71 | 4 / 18 (22%) | 3 / 11 (27%) | 1 / 7 (14%) | 0.273 | 0.143 |
| s__Bacteroides ovatus | d__Bacteria; p__Bacteroidota; c__Bacteroidia; o__Bacteroidales; f__Bacteroidaceae; g__Bacteroides | 0.13 | 0.74 | 1 | 0.63 | 0.079 | 0.45 | 1 | 0.75 | 0.25 | 0.97 | 1 | 0.2 | 0.62 | 0.51 | 0.81 | 1.4 | 0.24 | 0 | 0.39 | 0 | 1 | 0 | 0 | 0 | -Inf | 3 / 18 (17%) | 3 / 11 (27%) | 0 / 7 (0%) | 0.273 | 0 |
| s__Bacteroides stercoris | d__Bacteria; p__Bacteroidota; c__Bacteroidia; o__Bacteroidales; f__Bacteroidaceae; g__Bacteroides | 0.93 | 1 | 1 | -0.041 | 0.75 | 0.92 | 1 | -0.16 | 1 | 1 | 1 | 0.63 | 0.86 | 0.57 | 0.85 | 1.7 | 0.38 | 0 | 0.4 | 0 | 0.89 | 0.35 | 0 | 0.77 | -0.19 | 4 / 18 (22%) | 2 / 11 (18%) | 2 / 7 (29%) | 0.182 | 0.286 |
| s__Bacteroides uniformis | d__Bacteria; p__Bacteroidota; c__Bacteroidia; o__Bacteroidales; f__Bacteroidaceae; g__Bacteroides | 0.13 | 0.74 | 1 | -1 | 0.037 | 0.45 | 1 | -1.2 | 0.049 | 0.44 | 1 | 0.031 | 0.49 | 0.055 | 0.54 | 5.7 | 2.2 | 0 | 0.33 | 0 | 0.74 | 5.2 | 0.81 | 10 | 4 | 7 / 18 (39%) | 2 / 11 (18%) | 5 / 7 (71%) | 0.182 | 0.714 |
| s__Bacteroides_B vulgatus | d__Bacteria; p__Bacteroidota; c__Bacteroidia; o__Bacteroidales; f__Bacteroidaceae; g__Bacteroides_B | 0.76 | 0.98 | 1 | 0.13 | 0.81 | 0.92 | 1 | -0.11 | 1 | 1 | 1 | 0.54 | 0.82 | 0.39 | 0.76 | 3.3 | 0.73 | 0 | 0.98 | 0 | 2.8 | 0.33 | 0 | 0.79 | -1.6 | 4 / 18 (22%) | 2 / 11 (18%) | 2 / 7 (29%) | 0.182 | 0.286 |
| s__Bifidobacterium adolescentis | d__Bacteria; p__Actinobacteriota; c__Actinobacteria; o__Actinomycetales; f__Bifidobacteriaceae; g__Bifidobacterium | 0.019 | 0.72 | 1 | 1.1 | 0.03 | 0.45 | 1 | 1.2 | 0.049 | 0.44 | 1 | 0.044 | 0.53 | 0.046 | 0.54 | 6 | 3.7 | 1.1 | 5.6 | 2.8 | 6.7 | 0.74 | 0 | 1.5 | -2.9 | 11 / 18 (61%) | 9 / 11 (82%) | 2 / 7 (29%) | 0.818 | 0.286 |
| s__Bifidobacterium bifidum | d__Bacteria; p__Actinobacteriota; c__Actinobacteria; o__Actinomycetales; f__Bifidobacteriaceae; g__Bifidobacterium | 0.7 | 0.98 | 1 | 0.18 | 0.78 | 0.92 | 1 | 0.13 | 1 | 1 | 1 | 0.74 | 0.91 | 0.64 | 0.88 | 0.4 | 0.067 | 0 | 0.082 | 0 | 0.18 | 0.042 | 0 | 0.11 | -0.97 | 3 / 18 (17%) | 2 / 11 (18%) | 1 / 7 (14%) | 0.182 | 0.143 |
| s__Bifidobacterium longum | d__Bacteria; p__Actinobacteriota; c__Actinobacteria; o__Actinomycetales; f__Bifidobacteriaceae; g__Bifidobacterium | 0.4 | 0.86 | 1 | 0.47 | 0.23 | 0.79 | 1 | 0.7 | 0.25 | 0.97 | 1 | 0.27 | 0.7 | 0.74 | 0.93 | 3.3 | 2.6 | 2.6 | 2.8 | 2.8 | 1.9 | 2.2 | 2.3 | 2.5 | -0.35 | 14 / 18 (78%) | 10 / 11 (91%) | 4 / 7 (57%) | 0.909 | 0.571 |
| s__Bifidobacterium pseudocatenulatum | d__Bacteria; p__Actinobacteriota; c__Actinobacteria; o__Actinomycetales; f__Bifidobacteriaceae; g__Bifidobacterium | 0.99 | 1 | 1 | -0.009 | 0.63 | 0.91 | 1 | 0.24 | 0.64 | 1 | 1 | 0.63 | 0.87 | 0.75 | 0.92 | 1.9 | 0.74 | 0 | 0.58 | 0 | 0.8 | 0.99 | 0 | 2 | 0.77 | 7 / 18 (39%) | 5 / 11 (45%) | 2 / 7 (29%) | 0.455 | 0.286 |
| s__Blautia sp000436935 | d__Bacteria; p__Firmicutes_A; c__Clostridia; o__Lachnospirales; f__Lachnospiraceae; g__Blautia | 0.37 | 0.86 | 1 | -0.56 | 0.38 | 0.79 | 1 | -0.5 | 0.53 | 1 | 1 | 0.37 | 0.73 | 0.48 | 0.8 | 2.2 | 0.37 | 0 | 0.1 | 0 | 0.33 | 0.8 | 0 | 1.9 | 3 | 3 / 18 (17%) | 1 / 11 (9.1%) | 2 / 7 (29%) | 0.0909 | 0.286 |
| s__Blautia_A MIC8050 | d__Bacteria; p__Firmicutes_A; c__Clostridia; o__Lachnospirales; f__Lachnospiraceae; g__Blautia_A | 0.92 | 1 | 1 | -0.055 | 0.9 | 0.95 | 1 | 0.062 | 1 | 1 | 1 | 0.71 | 0.89 | 0.55 | 0.84 | 0.88 | 0.15 | 0 | 0.12 | 0 | 0.27 | 0.19 | 0 | 0.51 | 0.66 | 3 / 18 (17%) | 2 / 11 (18%) | 1 / 7 (14%) | 0.182 | 0.143 |
| s__Blautia_A massiliensis | d__Bacteria; p__Firmicutes_A; c__Clostridia; o__Lachnospirales; f__Lachnospiraceae; g__Blautia_A | 0.41 | 0.86 | 1 | 0.38 | 0.69 | 0.92 | 1 | 0.2 | 1 | 1 | 1 | 0.8 | 0.93 | 0.82 | 0.95 | 1.7 | 1.1 | 0.64 | 1.3 | 0.84 | 1.6 | 0.63 | 0.5 | 0.78 | -1 | 11 / 18 (61%) | 7 / 11 (64%) | 4 / 7 (57%) | 0.636 | 0.571 |
| s__Blautia_A obeum | d__Bacteria; p__Firmicutes_A; c__Clostridia; o__Lachnospirales; f__Lachnospiraceae; g__Blautia_A | 0.25 | 0.8 | 1 | 0.54 | 0.33 | 0.79 | 1 | 0.48 | 0.63 | 1 | 1 | 0.48 | 0.8 | 0.45 | 0.81 | 2.3 | 1.3 | 0.46 | 1.6 | 0.58 | 1.9 | 0.69 | 0 | 1.3 | -1.2 | 10 / 18 (56%) | 7 / 11 (64%) | 3 / 7 (43%) | 0.636 | 0.429 |
| s__Blautia_A sp000285855 | d__Bacteria; p__Firmicutes_A; c__Clostridia; o__Lachnospirales; f__Lachnospiraceae; g__Blautia_A | 0.89 | 1 | 1 | 0.069 | 0.83 | 0.92 | 1 | 0.099 | 1 | 1 | 1 | 0.7 | 0.89 | 0.59 | 0.85 | 0.34 | 0.056 | 0 | 0.058 | 0 | 0.13 | 0.053 | 0 | 0.14 | -0.13 | 3 / 18 (17%) | 2 / 11 (18%) | 1 / 7 (14%) | 0.182 | 0.143 |
| s__Blautia_A sp000436615 | d__Bacteria; p__Firmicutes_A; c__Clostridia; o__Lachnospirales; f__Lachnospiraceae; g__Blautia_A | 0.29 | 0.8 | 1 | -0.65 | 0.28 | 0.79 | 1 | -0.62 | 0.53 | 1 | 1 | 0.24 | 0.65 | 0.24 | 0.65 | 0.91 | 0.15 | 0 | 0.048 | 0 | 0.16 | 0.32 | 0 | 0.54 | 2.7 | 3 / 18 (17%) | 1 / 11 (9.1%) | 2 / 7 (29%) | 0.0909 | 0.286 |
| s__Blautia_A sp900066165 | d__Bacteria; p__Firmicutes_A; c__Clostridia; o__Lachnospirales; f__Lachnospiraceae; g__Blautia_A | 0.99 | 1 | 1 | 0.0037 | 0.83 | 0.92 | 1 | 0.1 | 1 | 1 | 1 | 0.87 | 0.95 | 0.85 | 0.96 | 1.8 | 1.1 | 0.64 | 1 | 0.7 | 1.1 | 1.2 | 0.49 | 1.4 | 0.26 | 11 / 18 (61%) | 7 / 11 (64%) | 4 / 7 (57%) | 0.636 | 0.571 |
| s__Blautia_A wexlerae | d__Bacteria; p__Firmicutes_A; c__Clostridia; o__Lachnospirales; f__Lachnospiraceae; g__Blautia_A | 0.057 | 0.72 | 1 | -1.1 | 0.13 | 0.54 | 1 | -0.78 | NA | NA | NA | 0.1 | 0.55 | 0.052 | 0.55 | 9.9 | 9.9 | 7.7 | 6.6 | 4 | 5.4 | 15 | 13 | 10 | 1.2 | 18 / 18 (100%) | 11 / 11 (100%) | 7 / 7 (100%) | 1 | 1 |
| s__CAG-103 sp000432375 | d__Bacteria; p__Firmicutes_A; c__Clostridia; o__Oscillospirales; f__Oscillospiraceae; g__CAG-103 | 0.51 | 0.87 | 1 | -0.34 | 0.43 | 0.82 | 1 | -0.44 | 0.53 | 1 | 1 | 0.42 | 0.76 | 0.5 | 0.81 | 0.84 | 0.14 | 0 | 0.11 | 0 | 0.38 | 0.18 | 0 | 0.32 | 0.71 | 3 / 18 (17%) | 1 / 11 (9.1%) | 2 / 7 (29%) | 0.0909 | 0.286 |
| s__CAG-177 sp003514385 | d__Bacteria; p__Firmicutes_A; c__Clostridia; o__Oscillospirales; f__Acutalibacteraceae; g__CAG-177 | 0.083 | 0.72 | 1 | 0.74 | 0.094 | 0.45 | 1 | 0.71 | 0.25 | 0.97 | 1 | 0.26 | 0.66 | 0.63 | 0.86 | 1 | 0.17 | 0 | 0.28 | 0 | 0.49 | 0 | 0 | 0 | -Inf | 3 / 18 (17%) | 3 / 11 (27%) | 0 / 7 (0%) | 0.273 | 0 |
| s__CAG-217 sp000436335 | d__Bacteria; p__Firmicutes_A; c__Clostridia; o__Oscillospirales; f__Acutalibacteraceae; g__CAG-217 | 0.26 | 0.8 | 1 | -0.65 | 0.31 | 0.79 | 1 | -0.57 | 0.33 | 1 | 1 | 0.3 | 0.69 | 0.33 | 0.72 | 1.3 | 0.36 | 0 | 0.16 | 0 | 0.36 | 0.67 | 0 | 1 | 2.1 | 5 / 18 (28%) | 2 / 11 (18%) | 3 / 7 (43%) | 0.182 | 0.429 |
| s__CAG-274 sp000432155 | d__Bacteria; p__Firmicutes_A; c__Clostridia; o__Lachnospirales; f__CAG-274; g__CAG-274 | 0.84 | 1 | 1 | -0.11 | 0.95 | 0.98 | 1 | 0.029 | 1 | 1 | 1 | 0.77 | 0.92 | 0.66 | 0.88 | 0.73 | 0.12 | 0 | 0.088 | 0 | 0.24 | 0.17 | 0 | 0.46 | 0.95 | 3 / 18 (17%) | 2 / 11 (18%) | 1 / 7 (14%) | 0.182 | 0.143 |
| s__CAG-41 sp900066215 | d__Bacteria; p__Firmicutes_A; c__Clostridia; o__Monoglobales; f__UBA1381; g__CAG-41 | 0.73 | 0.98 | 1 | 0.2 | 0.35 | 0.79 | 1 | 0.5 | 0.33 | 1 | 1 | 0.39 | 0.75 | 0.69 | 0.91 | 0.81 | 0.5 | 0.42 | 0.44 | 0.48 | 0.35 | 0.58 | 0 | 1.1 | 0.4 | 11 / 18 (61%) | 8 / 11 (73%) | 3 / 7 (43%) | 0.727 | 0.429 |
| s__CAG-56 sp900066615 | d__Bacteria; p__Firmicutes_A; c__Clostridia; o__Lachnospirales; f__Lachnospiraceae; g__CAG-56 | 0.32 | 0.83 | 1 | 0.57 | 0.084 | 0.45 | 1 | 1 | 0.049 | 0.44 | 1 | 0.084 | 0.55 | 0.31 | 0.73 | 0.88 | 0.54 | 0.38 | 0.56 | 0.48 | 0.44 | 0.5 | 0 | 0.91 | -0.16 | 11 / 18 (61%) | 9 / 11 (82%) | 2 / 7 (29%) | 0.818 | 0.286 |
| s__Clostridium MIC8163 | d__Bacteria; p__Firmicutes_A; c__Clostridia; o__Clostridiales; f__Clostridiaceae; g__Clostridium | 0.24 | 0.8 | 1 | 0.5 | 0.34 | 0.79 | 1 | 0.41 | 1 | 1 | 1 | 0.64 | 0.85 | 0.67 | 0.89 | 0.28 | 0.063 | 0 | 0.095 | 0 | 0.18 | 0.012 | 0 | 0.032 | -3 | 4 / 18 (22%) | 3 / 11 (27%) | 1 / 7 (14%) | 0.273 | 0.143 |
| s__Coprococcus eutactus_A | d__Bacteria; p__Firmicutes_A; c__Clostridia; o__Lachnospirales; f__Lachnospiraceae; g__Coprococcus | 0.97 | 1 | 1 | -0.018 | 0.76 | 0.92 | 1 | -0.15 | 1 | 1 | 1 | 0.51 | 0.8 | 0.41 | 0.77 | 2.3 | 0.52 | 0 | 0.54 | 0 | 1.2 | 0.49 | 0 | 1.2 | -0.14 | 4 / 18 (22%) | 2 / 11 (18%) | 2 / 7 (29%) | 0.182 | 0.286 |
| s__Coprococcus sp900066115 | d__Bacteria; p__Firmicutes_A; c__Clostridia; o__Lachnospirales; f__Lachnospiraceae; g__Coprococcus | 0.44 | 0.86 | 1 | -0.42 | 0.38 | 0.79 | 1 | -0.49 | 0.53 | 1 | 1 | 0.32 | 0.71 | 0.32 | 0.71 | 2.2 | 0.36 | 0 | 0.25 | 0 | 0.84 | 0.54 | 0 | 0.96 | 1.1 | 3 / 18 (17%) | 1 / 11 (9.1%) | 2 / 7 (29%) | 0.0909 | 0.286 |
| s__Coprococcus_A catus | d__Bacteria; p__Firmicutes_A; c__Clostridia; o__Lachnospirales; f__Lachnospiraceae; g__Coprococcus_A | 0.86 | 1 | 1 | -0.083 | 0.68 | 0.92 | 1 | -0.2 | 1 | 1 | 1 | 0.49 | 0.79 | 0.4 | 0.76 | 0.39 | 0.086 | 0 | 0.091 | 0 | 0.22 | 0.078 | 0 | 0.14 | -0.22 | 4 / 18 (22%) | 2 / 11 (18%) | 2 / 7 (29%) | 0.182 | 0.286 |
| s__Coprococcus_B comes | d__Bacteria; p__Firmicutes_A; c__Clostridia; o__Lachnospirales; f__Lachnospiraceae; g__Coprococcus_B | 0.82 | 1 | 1 | 0.12 | 0.61 | 0.91 | 1 | 0.26 | 0.63 | 1 | 1 | 0.66 | 0.88 | 0.89 | 0.97 | 0.68 | 0.46 | 0.5 | 0.45 | 0.48 | 0.36 | 0.47 | 0.56 | 0.55 | 0.063 | 12 / 18 (67%) | 8 / 11 (73%) | 4 / 7 (57%) | 0.727 | 0.571 |
| s__Dialister invisus | d__Bacteria; p__Firmicutes_C; c__Negativicutes; o__Veillonellales; f__Dialisteraceae; g__Dialister | 0.29 | 0.8 | 1 | -0.58 | 0.22 | 0.79 | 1 | -0.72 | 0.25 | 0.97 | 1 | 0.23 | 0.64 | 0.37 | 0.75 | 1.6 | 0.36 | 0 | 0.22 | 0 | 0.74 | 0.57 | 0 | 1 | 1.4 | 4 / 18 (22%) | 1 / 11 (9.1%) | 3 / 7 (43%) | 0.0909 | 0.429 |
| s__Dialister sp900343095 | d__Bacteria; p__Firmicutes_C; c__Negativicutes; o__Veillonellales; f__Dialisteraceae; g__Dialister | 0.097 | 0.72 | 1 | 0.7 | 0.088 | 0.45 | 1 | 0.72 | 0.25 | 0.97 | 1 | 0.32 | 0.69 | 0.64 | 0.88 | 0.93 | 0.16 | 0 | 0.25 | 0 | 0.52 | 0 | 0 | 0 | -Inf | 3 / 18 (17%) | 3 / 11 (27%) | 0 / 7 (0%) | 0.273 | 0 |
| s__Dorea formicigenerans | d__Bacteria; p__Firmicutes_A; c__Clostridia; o__Lachnospirales; f__Lachnospiraceae; g__Dorea | 0.36 | 0.86 | 1 | -0.5 | 0.53 | 0.84 | 1 | -0.33 | 1 | 1 | 1 | 0.52 | 0.82 | 0.4 | 0.78 | 0.61 | 0.31 | 0.11 | 0.21 | 0 | 0.31 | 0.46 | 0.41 | 0.47 | 1.1 | 9 / 18 (50%) | 5 / 11 (45%) | 4 / 7 (57%) | 0.455 | 0.571 |
| s__Dorea longicatena | d__Bacteria; p__Firmicutes_A; c__Clostridia; o__Lachnospirales; f__Lachnospiraceae; g__Dorea | 0.036 | 0.72 | 1 | 1 | 0.039 | 0.45 | 1 | 1 | 0.066 | 0.52 | 1 | 0.082 | 0.54 | 0.24 | 0.68 | 0.95 | 0.42 | 0 | 0.61 | 0.5 | 0.67 | 0.12 | 0 | 0.33 | -2.3 | 8 / 18 (44%) | 7 / 11 (64%) | 1 / 7 (14%) | 0.636 | 0.143 |
| s__Dorea longicatena_B | d__Bacteria; p__Firmicutes_A; c__Clostridia; o__Lachnospirales; f__Lachnospiraceae; g__Dorea | 0.23 | 0.8 | 1 | -0.71 | 0.47 | 0.82 | 1 | -0.38 | 1 | 1 | 1 | 0.49 | 0.8 | 0.32 | 0.74 | 0.89 | 0.45 | 0.14 | 0.21 | 0 | 0.27 | 0.82 | 0.73 | 0.97 | 2 | 9 / 18 (50%) | 5 / 11 (45%) | 4 / 7 (57%) | 0.455 | 0.571 |
| s__ER4 sp900317525 | d__Bacteria; p__Firmicutes_A; c__Clostridia; o__Oscillospirales; f__Oscillospiraceae; g__ER4 | 0.47 | 0.86 | 1 | -0.39 | 0.34 | 0.79 | 1 | -0.52 | 0.53 | 1 | 1 | 0.25 | 0.65 | 0.24 | 0.67 | 0.36 | 0.06 | 0 | 0.044 | 0 | 0.14 | 0.086 | 0 | 0.16 | 0.97 | 3 / 18 (17%) | 1 / 11 (9.1%) | 2 / 7 (29%) | 0.0909 | 0.286 |
| s__Erysipelatoclostridium sp000752095 | d__Bacteria; p__Firmicutes; c__Bacilli; o__Erysipelotrichales; f__Erysipelatoclostridiaceae; g__Erysipelatoclostridium | 0.89 | 1 | 1 | -0.076 | 0.87 | 0.95 | 1 | 0.081 | 1 | 1 | 1 | 0.84 | 0.95 | 0.77 | 0.93 | 0.92 | 0.56 | 0.35 | 0.48 | 0.46 | 0.49 | 0.69 | 0.25 | 1 | 0.52 | 11 / 18 (61%) | 7 / 11 (64%) | 4 / 7 (57%) | 0.636 | 0.571 |
| s__Eubacterium_E hallii | d__Bacteria; p__Firmicutes_A; c__Clostridia; o__Lachnospirales; f__Lachnospiraceae; g__Eubacterium_E | 0.56 | 0.93 | 1 | 0.28 | 0.94 | 0.98 | 1 | 0.039 | 1 | 1 | 1 | 0.78 | 0.92 | 0.56 | 0.86 | 2 | 1.7 | 1.7 | 1.9 | 2.1 | 1.3 | 1.4 | 1.5 | 1 | -0.44 | 15 / 18 (83%) | 9 / 11 (82%) | 6 / 7 (86%) | 0.818 | 0.857 |
| s__Eubacterium_E hallii_A | d__Bacteria; p__Firmicutes_A; c__Clostridia; o__Lachnospirales; f__Lachnospiraceae; g__Eubacterium_E | 0.25 | 0.8 | 1 | -0.68 | 0.28 | 0.79 | 1 | -0.6 | 0.33 | 1 | 1 | 0.29 | 0.69 | 0.26 | 0.69 | 0.77 | 0.21 | 0 | 0.098 | 0 | 0.22 | 0.39 | 0 | 0.57 | 2 | 5 / 18 (28%) | 2 / 11 (18%) | 3 / 7 (43%) | 0.182 | 0.429 |
| s__Faecalibacterium MIC9210 | d__Bacteria; p__Firmicutes_A; c__Clostridia; o__Oscillospirales; f__Ruminococcaceae; g__Faecalibacterium | 0.49 | 0.86 | 1 | -0.44 | 0.89 | 0.95 | 1 | -0.077 | 1 | 1 | 1 | 0.79 | 0.93 | 0.71 | 0.91 | 3.1 | 0.51 | 0 | 0.064 | 0 | 0.15 | 1.2 | 0 | 3.2 | 4.2 | 3 / 18 (17%) | 2 / 11 (18%) | 1 / 7 (14%) | 0.182 | 0.143 |
| s__Faecalibacterium prausnitzii_C | d__Bacteria; p__Firmicutes_A; c__Clostridia; o__Oscillospirales; f__Ruminococcaceae; g__Faecalibacterium | 0.14 | 0.74 | 1 | 0.74 | 0.061 | 0.45 | 1 | 0.97 | 0.14 | 0.89 | 1 | 0.12 | 0.56 | 0.19 | 0.66 | 4.9 | 2.7 | 0.55 | 3.5 | 1.4 | 4.1 | 1.5 | 0 | 3.8 | -1.2 | 10 / 18 (56%) | 8 / 11 (73%) | 2 / 7 (29%) | 0.727 | 0.286 |
| s__Faecalibacterium prausnitzii_D | d__Bacteria; p__Firmicutes_A; c__Clostridia; o__Oscillospirales; f__Ruminococcaceae; g__Faecalibacterium | 0.26 | 0.8 | 1 | -0.57 | 0.17 | 0.67 | 1 | -0.69 | 0.33 | 1 | 1 | 0.13 | 0.57 | 0.16 | 0.64 | 1.9 | 0.94 | 0.22 | 0.75 | 0 | 1.5 | 1.2 | 1.1 | 1.3 | 0.68 | 9 / 18 (50%) | 4 / 11 (36%) | 5 / 7 (71%) | 0.364 | 0.714 |
| s__Faecalibacterium prausnitzii_G | d__Bacteria; p__Firmicutes_A; c__Clostridia; o__Oscillospirales; f__Ruminococcaceae; g__Faecalibacterium | 0.3 | 0.8 | 1 | -0.54 | 0.28 | 0.79 | 1 | -0.54 | 0.37 | 1 | 1 | 0.23 | 0.65 | 0.13 | 0.61 | 1.4 | 0.79 | 0.45 | 0.58 | 0 | 0.8 | 1.1 | 0.83 | 1.3 | 0.92 | 10 / 18 (56%) | 5 / 11 (45%) | 5 / 7 (71%) | 0.455 | 0.714 |
| s__Faecalibacterium prausnitzii_I | d__Bacteria; p__Firmicutes_A; c__Clostridia; o__Oscillospirales; f__Ruminococcaceae; g__Faecalibacterium | 0.099 | 0.72 | 1 | 0.69 | 0.09 | 0.45 | 1 | 0.72 | 0.25 | 0.97 | 1 | 0.26 | 0.66 | 0.54 | 0.82 | 0.52 | 0.087 | 0 | 0.14 | 0 | 0.29 | 0 | 0 | 0 | -Inf | 3 / 18 (17%) | 3 / 11 (27%) | 0 / 7 (0%) | 0.273 | 0 |
| s__Faecalibacterium prausnitzii_J | d__Bacteria; p__Firmicutes_A; c__Clostridia; o__Oscillospirales; f__Ruminococcaceae; g__Faecalibacterium | 0.57 | 0.94 | 1 | -0.28 | 0.42 | 0.82 | 1 | -0.44 | 0.53 | 1 | 1 | 0.35 | 0.72 | 0.35 | 0.74 | 0.85 | 0.14 | 0 | 0.13 | 0 | 0.44 | 0.16 | 0 | 0.27 | 0.3 | 3 / 18 (17%) | 1 / 11 (9.1%) | 2 / 7 (29%) | 0.0909 | 0.286 |
| s__Faecalibacterium prausnitzii_K | d__Bacteria; p__Firmicutes_A; c__Clostridia; o__Oscillospirales; f__Ruminococcaceae; g__Faecalibacterium | 0.032 | 0.72 | 1 | 0.95 | 0.0069 | 0.45 | 0.5 | 1.3 | 0.038 | 0.44 | 1 | 0.02 | 0.43 | 0.1 | 0.57 | 2.2 | 0.74 | 0 | 1.2 | 0.29 | 2.6 | 0 | 0 | 0 | -Inf | 6 / 18 (33%) | 6 / 11 (55%) | 0 / 7 (0%) | 0.545 | 0 |
| s__Faecalicatena faecis | d__Bacteria; p__Firmicutes_A; c__Clostridia; o__Lachnospirales; f__Lachnospiraceae; g__Faecalicatena | 0.19 | 0.8 | 1 | -0.78 | 0.23 | 0.79 | 1 | -0.64 | 0.33 | 1 | 1 | 0.19 | 0.62 | 0.16 | 0.63 | 0.96 | 0.37 | 0 | 0.16 | 0 | 0.3 | 0.7 | 0.21 | 0.97 | 2.1 | 7 / 18 (39%) | 3 / 11 (27%) | 4 / 7 (57%) | 0.273 | 0.571 |
| s__Faecalicatena lactaris | d__Bacteria; p__Firmicutes_A; c__Clostridia; o__Lachnospirales; f__Lachnospiraceae; g__Faecalicatena | 0.28 | 0.8 | 1 | -0.68 | 0.36 | 0.79 | 1 | -0.54 | 0.53 | 1 | 1 | 0.39 | 0.74 | 0.49 | 0.8 | 0.85 | 0.14 | 0 | 0.036 | 0 | 0.12 | 0.31 | 0 | 0.55 | 3.1 | 3 / 18 (17%) | 1 / 11 (9.1%) | 2 / 7 (29%) | 0.0909 | 0.286 |
| s__Fusicatenibacter saccharivorans | d__Bacteria; p__Firmicutes_A; c__Clostridia; o__Lachnospirales; f__Lachnospiraceae; g__Fusicatenibacter | 0.99 | 1 | 1 | 0.0072 | 0.77 | 0.92 | 1 | 0.16 | 1 | 1 | 1 | 0.87 | 0.95 | 0.92 | 0.98 | 4.9 | 4.3 | 3.2 | 4.1 | 3 | 3.2 | 4.7 | 3.8 | 5 | 0.2 | 16 / 18 (89%) | 10 / 11 (91%) | 6 / 7 (86%) | 0.909 | 0.857 |
| s__GCA-900066135 MIC6659 | d__Bacteria; p__Firmicutes_A; c__Clostridia; o__Lachnospirales; f__Lachnospiraceae; g__GCA-900066135 | 0.84 | 1 | 1 | 0.1 | 0.76 | 0.92 | 1 | 0.15 | 1 | 1 | 1 | 0.81 | 0.93 | 0.75 | 0.92 | 0.28 | 0.095 | 0 | 0.097 | 0 | 0.15 | 0.092 | 0 | 0.18 | -0.076 | 6 / 18 (33%) | 4 / 11 (36%) | 2 / 7 (29%) | 0.364 | 0.286 |
| s__Gemmiger formicilis | d__Bacteria; p__Firmicutes_A; c__Clostridia; o__Oscillospirales; f__Ruminococcaceae; g__Gemmiger | 0.72 | 0.98 | 1 | -0.21 | 0.53 | 0.84 | 1 | 0.33 | 0.37 | 1 | 1 | 0.54 | 0.83 | 0.73 | 0.91 | 2.5 | 1.1 | 0 | 0.58 | 0.33 | 0.79 | 1.9 | 0 | 3.8 | 1.7 | 8 / 18 (44%) | 6 / 11 (55%) | 2 / 7 (29%) | 0.545 | 0.286 |
| s__Gemmiger sp003476825 | d__Bacteria; p__Firmicutes_A; c__Clostridia; o__Oscillospirales; f__Ruminococcaceae; g__Gemmiger | 0.68 | 0.98 | 1 | 0.21 | 0.63 | 0.91 | 1 | 0.25 | 1 | 1 | 1 | 0.76 | 0.92 | 0.74 | 0.92 | 1.8 | 1.4 | 1 | 1.5 | 1.1 | 1.4 | 1.3 | 0.73 | 1.5 | -0.21 | 14 / 18 (78%) | 9 / 11 (82%) | 5 / 7 (71%) | 0.818 | 0.714 |
| s__Intestinibacter bartlettii | d__Bacteria; p__Firmicutes_A; c__Clostridia; o__Peptostreptococcales; f__Peptostreptococcaceae; g__Intestinibacter | 0.75 | 0.98 | 1 | 0.15 | 0.81 | 0.92 | 1 | 0.12 | 1 | 1 | 1 | 0.78 | 0.92 | 0.66 | 0.88 | 0.31 | 0.052 | 0 | 0.061 | 0 | 0.14 | 0.037 | 0 | 0.097 | -0.72 | 3 / 18 (17%) | 2 / 11 (18%) | 1 / 7 (14%) | 0.182 | 0.143 |
| s__KLE1615 sp900066985 | d__Bacteria; p__Firmicutes_A; c__Clostridia; o__Lachnospirales; f__Lachnospiraceae; g__KLE1615 | 0.18 | 0.8 | 1 | 0.66 | 0.09 | 0.45 | 1 | 0.82 | 0.15 | 0.89 | 1 | 0.15 | 0.59 | 0.33 | 0.73 | 1.3 | 0.52 | 0 | 0.67 | 0.22 | 0.81 | 0.28 | 0 | 0.73 | -1.3 | 7 / 18 (39%) | 6 / 11 (55%) | 1 / 7 (14%) | 0.545 | 0.143 |
| s__Lachnospira sp003451515 | d__Bacteria; p__Firmicutes_A; c__Clostridia; o__Lachnospirales; f__Lachnospiraceae; g__Lachnospira | 0.37 | 0.86 | 1 | 0.39 | 0.46 | 0.82 | 1 | 0.34 | 1 | 1 | 1 | 0.66 | 0.87 | 0.67 | 0.89 | 0.87 | 0.19 | 0 | 0.28 | 0 | 0.61 | 0.066 | 0 | 0.18 | -2.1 | 4 / 18 (22%) | 3 / 11 (27%) | 1 / 7 (14%) | 0.273 | 0.143 |
| s__Parabacteroides merdae | d__Bacteria; p__Bacteroidota; c__Bacteroidia; o__Bacteroidales; f__Tannerellaceae; g__Parabacteroides | 0.68 | 0.98 | 1 | -0.19 | 0.39 | 0.79 | 1 | -0.45 | 0.53 | 1 | 1 | 0.25 | 0.65 | 0.25 | 0.67 | 0.25 | 0.042 | 0 | 0.045 | 0 | 0.15 | 0.037 | 0 | 0.062 | -0.28 | 3 / 18 (17%) | 1 / 11 (9.1%) | 2 / 7 (29%) | 0.0909 | 0.286 |
| s__Phascolarctobacterium faecium | d__Bacteria; p__Firmicutes_C; c__Negativicutes; o__Acidaminococcales; f__Acidaminococcaceae; g__Phascolarctobacterium | 0.76 | 0.98 | 1 | 0.13 | 0.79 | 0.92 | 1 | -0.12 | 1 | 1 | 1 | 0.48 | 0.79 | 0.41 | 0.77 | 0.71 | 0.16 | 0 | 0.22 | 0 | 0.64 | 0.06 | 0 | 0.1 | -1.9 | 4 / 18 (22%) | 2 / 11 (18%) | 2 / 7 (29%) | 0.182 | 0.286 |
| s__Romboutsia timonensis | d__Bacteria; p__Firmicutes_A; c__Clostridia; o__Peptostreptococcales; f__Peptostreptococcaceae; g__Romboutsia | 0.43 | 0.86 | 1 | 0.36 | 0.59 | 0.91 | 1 | 0.24 | 1 | 1 | 1 | 0.75 | 0.91 | 0.72 | 0.91 | 0.64 | 0.21 | 0 | 0.28 | 0 | 0.42 | 0.11 | 0 | 0.21 | -1.3 | 6 / 18 (33%) | 4 / 11 (36%) | 2 / 7 (29%) | 0.364 | 0.286 |
| s__Ruminiclostridium_C sp000435295 | d__Bacteria; p__Firmicutes_A; c__Clostridia; o__Oscillospirales; f__Oscillospiraceae; g__Ruminiclostridium_C | 0.43 | 0.86 | 1 | -0.44 | 0.41 | 0.82 | 1 | -0.46 | 0.53 | 1 | 1 | 0.36 | 0.72 | 0.38 | 0.76 | 0.18 | 0.03 | 0 | 0.018 | 0 | 0.06 | 0.048 | 0 | 0.1 | 1.4 | 3 / 18 (17%) | 1 / 11 (9.1%) | 2 / 7 (29%) | 0.0909 | 0.286 |
| s__Ruminococcus_A sp003011855 | d__Bacteria; p__Firmicutes_A; c__Clostridia; o__Lachnospirales; f__Lachnospiraceae; g__Ruminococcus_A | 0.6 | 0.94 | 1 | 0.23 | 1 | 1 | 1 | 0.0011 | 1 | 1 | 1 | 0.7 | 0.89 | 0.67 | 0.9 | 0.92 | 0.36 | 0 | 0.47 | 0 | 0.81 | 0.19 | 0 | 0.27 | -1.3 | 7 / 18 (39%) | 4 / 11 (36%) | 3 / 7 (43%) | 0.364 | 0.429 |
| s__Ruminococcus_C sp000433635 | d__Bacteria; p__Firmicutes_A; c__Clostridia; o__Oscillospirales; f__Ruminococcaceae; g__Ruminococcus_C | 0.48 | 0.86 | 1 | -0.38 | 0.38 | 0.79 | 1 | -0.49 | 0.53 | 1 | 1 | 0.34 | 0.72 | 0.39 | 0.75 | 0.84 | 0.14 | 0 | 0.11 | 0 | 0.35 | 0.19 | 0 | 0.36 | 0.79 | 3 / 18 (17%) | 1 / 11 (9.1%) | 2 / 7 (29%) | 0.0909 | 0.286 |
| s__Ruminococcus_D bicirculans | d__Bacteria; p__Firmicutes_A; c__Clostridia; o__Oscillospirales; f__Ruminococcaceae; g__Ruminococcus_D | 0.12 | 0.74 | 1 | 0.69 | 0.25 | 0.79 | 1 | 0.56 | 0.37 | 1 | 1 | 0.37 | 0.74 | 0.5 | 0.82 | 3.6 | 1.6 | 0 | 2.3 | 0.82 | 3.2 | 0.48 | 0 | 0.93 | -2.3 | 8 / 18 (44%) | 6 / 11 (55%) | 2 / 7 (29%) | 0.545 | 0.286 |
| s__Ruminococcus_E bromii_B | d__Bacteria; p__Firmicutes_A; c__Clostridia; o__Oscillospirales; f__Acutalibacteraceae; g__Ruminococcus_E | 0.94 | 1 | 1 | 0.037 | 0.74 | 0.92 | 1 | 0.16 | 1 | 1 | 1 | 0.82 | 0.94 | 0.8 | 0.95 | 4.6 | 2.3 | 0.21 | 2.3 | 0.43 | 3.7 | 2.3 | 0 | 3.5 | 0 | 9 / 18 (50%) | 6 / 11 (55%) | 3 / 7 (43%) | 0.545 | 0.429 |
| s__Streptococcus salivarius | d__Bacteria; p__Firmicutes; c__Bacilli; o__Lactobacillales; f__Streptococcaceae; g__Streptococcus | 0.77 | 0.98 | 1 | -0.14 | 0.52 | 0.84 | 1 | -0.32 | 0.63 | 1 | 1 | 0.43 | 0.77 | 0.36 | 0.75 | 0.7 | 0.31 | 0 | 0.33 | 0 | 0.62 | 0.28 | 0.15 | 0.31 | -0.24 | 8 / 18 (44%) | 4 / 11 (36%) | 4 / 7 (57%) | 0.364 | 0.571 |
| s__Streptococcus thermophilus | d__Bacteria; p__Firmicutes; c__Bacilli; o__Lactobacillales; f__Streptococcaceae; g__Streptococcus | 0.46 | 0.86 | 1 | -0.44 | 0.55 | 0.87 | 1 | -0.32 | 1 | 1 | 1 | 0.45 | 0.77 | 0.38 | 0.75 | 0.68 | 0.15 | 0 | 0.056 | 0 | 0.16 | 0.3 | 0 | 0.73 | 2.4 | 4 / 18 (22%) | 2 / 11 (18%) | 2 / 7 (29%) | 0.182 | 0.286 |
| s__UBA11774 sp003507655 | d__Bacteria; p__Firmicutes_A; c__Clostridia; o__Lachnospirales; f__Lachnospiraceae; g__UBA11774 | 0.6 | 0.94 | 1 | -0.27 | 0.52 | 0.84 | 1 | -0.33 | 0.63 | 1 | 1 | 0.36 | 0.73 | 0.31 | 0.73 | 0.96 | 0.32 | 0 | 0.27 | 0 | 0.6 | 0.4 | 0 | 0.68 | 0.57 | 6 / 18 (33%) | 3 / 11 (27%) | 3 / 7 (43%) | 0.273 | 0.429 |
| s__UBA7160 MIC6745 | d__Bacteria; p__Firmicutes_A; c__Clostridia; o__Lachnospirales; f__Lachnospiraceae; g__UBA7160 | 0.92 | 1 | 1 | -0.054 | 0.67 | 0.92 | 1 | 0.21 | 1 | 1 | 1 | 0.68 | 0.89 | 0.66 | 0.89 | 0.52 | 0.11 | 0 | 0.077 | 0 | 0.15 | 0.17 | 0 | 0.46 | 1.1 | 4 / 18 (22%) | 3 / 11 (27%) | 1 / 7 (14%) | 0.273 | 0.143 |
Click here to open full-sized image in new window.
Click here to open full-sized image in new window.
Click here to open full-sized image in new window.
Click here to open full-sized image in new window.
Click here to open full-sized image in new window.
P Fisher's exact test: differences in detection rate were detected by Fisher's exact test.
P Welch's t-test (sqrt): Differentially abundant species were identified by Welch's t-test.
P Welch's t-test (clr): Differentially abundant species were identified by Welch's t-test.
The following plots present the distribution of the top most differentially abundant species across all applied statistical analysis. Plots are ordered alphabetically.